Foram encontradas 259 questões.
Suponha que na estimação de um parâmetro
unidimensional você esteja pensando em usar um certo estimador T; você percebe que esse estimador é não viesado para
e que sua variância coincide com o limite inferior de Cramér-Rao. Nesse caso, avalie as seguintes afirmativas acerca desse estimador T:
I – Nenhum outro estimador de
tem variância menor que a de T.
II – T é um estimador não viesado de variância uniformemente mínima para
.
III – A densidade populacional parametrizada por
pertence à classe exponencial.
A(s) afirmativa(s) correta(s) é/são somente:
Provas
Se X1, X2,..., Xn representa uma amostra aleatória simples de uma distribuição exponencial com média 1/
desconhecida e se a distribuição a priori de
é uma distribuição gama com parâmetros
então a distribuição a posteriori de
dado que Xi = xi, i = 1, 2,..., n é uma distribuição gama com parâmetros:
Provas
- FundamentosTipos de VariáveisCálculo de Medidas Estatísticas
- ProbabilidadesFunção de Distribuição Acumulada
O critério da fatoração pode ser um bom recurso para a determinação de estatísticas suficientes. De um modo geral, esse critério diz que se X1, X2,..., Xn representa uma amostra aleatória simples de uma densidade parametrizada por um vetor de parâmetros
, então um conjunto de estatísticas T1 = t1(X1, X2,..., Xn), (T2 = t2(X1, X2,..., Xn),..., Tk = tk(X1, X2,..., Xn) é conjuntamente suficiente para
se a função de densidade de probabilidade conjunta de X1, X2,..., Xn pode ser fatorada como:
Provas
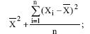
Se X1, X2,..., Xn representa uma amostra aleatória simples de uma variável aleatória X normalmente distribuída com média µ e desvio padrão
desconhecidos, então o estimador de máxima verossimilhança de E[ X2 ] é dado por:
Provas
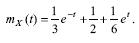
Seja X uma variável aleatória cuja função geratriz de momentos é dada por 
O valor de
é:
Provas
Sorteiam-se ao acaso e sem reposição dois cartões de uma urna contendo cartões numerados de 1 a 5. Sejam as variáveis aleatórias X1 , o primeiro número sorteado e X 2 , o segundo número sorteado, pode-se afirmar que as variáveis aleatórias X1 e X 2 são:
Provas
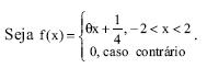
ATENÇÃO: O enunciado a seguir vale para as questões 74 e 75.

que maximiza a variância no modelo descrito pela função de densidade f(x) é:Provas
ATENÇÃO: O enunciado a seguir vale para as questões 74 e 75.

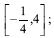
O conjunto de valores de
para o qual f(x) é uma função de densidade de probabilidade é:
Provas
Em uma cidade de população numerosa, uma amostra aleatória simples de tamanho 100 é coletada para avaliar a opinião sobre um projeto municipal. A amostra revelou 60 favoráveis ao projeto e 40 contrários. Se, de fato, os adultos dessa cidade estão igualmente divididos com relação ao projeto (50% são favoráveis e 50% são contrários), a probabilidade de se obter maioria de 60 ou mais a favor, numa amostra aleatória simples de tamanho 100, é, aproximadamente:
Provas
A única família de distribuições paramétricas de probabilidade (não-degenerada) que satisfaz a condição de que a média deve ser maior do que a variância, entre as alternativas a seguir, é a:
Provas
Caderno Container