Foram encontradas 276 questões.
Segundo o nosso ordenamento jurídico é possível a responsabilização civil, pois aqueles que, por ato ilícito, causam dano a outrem, ficam obrigados a repará-lo. Sobre as regras relativas à responsabilidade civil, assinale a afirmativa INCORRETA.
Provas
Questão presente nas seguintes provas
As obrigações são classicamente definidas pela doutrina pátria, como o vínculo jurídico através do qual uma pessoa (sujeito ativo) pode exigir da outra (sujeito passivo) o cumprimento de uma prestação economicamente apreciável. Desta forma, é cediço que a obrigação já nasce com o objetivo de ser extinta pelo pagamento, ou seja, pelo cumprimento da prestação. Dentre as espécies de pagamento elencadas a seguir, assinale aquela que ocorre quando duas pessoas forem, ao mesmo tempo, credora e devedora uma da outra, extinguindo-se ambas as obrigações.
Provas
Questão presente nas seguintes provas
“José tem um imóvel registrado, em seu nome, no Registro de Imóveis. No imóvel temos algumas construções recentes.
João, que era vizinho do terreno, foi iludido por terceiro e, de boa-fé, pensou ter adquirido a propriedade do terreno,
motivo pelo qual começou a construir no mesmo, sem, contudo, efetuar o registro do documento particular por ele
celebrado com este terceiro. Quando voltou de viagem de férias ao exterior, José logo constatou a suposta invasão ao
seu terreno e foi procurar João para saber o porquê dele estar construindo em seu imóvel.”
Considerando os dispositivos legais acerca das construções e plantações existentes no Código Civil pátrio, assinale a afirmativa correta.
Considerando os dispositivos legais acerca das construções e plantações existentes no Código Civil pátrio, assinale a afirmativa correta.
Provas
Questão presente nas seguintes provas
- Código PenalCrimes Contra a Administração PúblicaPraticados por Funcionário PúblicoCorrupção Passiva
- Código PenalCrimes Contra a Administração PúblicaPraticados por ParticularCorrupção ativa
- Teoria Geral do CrimeClassificação dos CrimesQuanto ao Sujeito Ativo
“João e José, auditores fiscais da Receita Federal foram denunciados no dia 04.07.2012 pela prática dos crimes de concussão e corrupção passiva, em concurso material. De acordo com a acusação, teriam comparecido à loja de Manoel, comerciante, no dia 03.08.2010, com o fim de realizarem fiscalização nos livros contábeis do estabelecimento e, mesmo não tendo encontrado qualquer irregularidade, teriam decidido, no local, exigir de Manoel que pagasse R$ 2.000,00 a cada um deles, com o que Manoel haveria concordado. Por esses mesmos fatos, Manoel foi denunciado pela prática do crime de corrupção ativa, também em continuidade delitiva. Após o oferecimento de defesa preliminar, foi a denúncia recebida no dia 06.08.2012. Durante a instrução, os fatos foram comprovados exatamente como descritos na inicial. No dia 10.08.2013, foi proferida sentença condenando os fiscais como incursos nos crimes de concussão e corrupção passiva, em concurso material, bem como Manoel, como incurso no crime de corrupção ativa. Analisando as circunstâncias judiciais do art. 59, do Código Penal, o juiz fixou as penas de João e José em 2 anos e 4 anos, respectivamente, pelos crimes de concussão e corrupção passiva, e a de Manoel em 3 anos, pelo crime de corrupção ativa.”
Considerando a conduta de cada um dos envolvidos, bem como o seu enquadramento típico, apontando ainda os aspectos penais envolvidos na questão, assinale a afirmativa correta.
Considerando a conduta de cada um dos envolvidos, bem como o seu enquadramento típico, apontando ainda os aspectos penais envolvidos na questão, assinale a afirmativa correta.
Provas
Questão presente nas seguintes provas
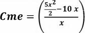
Um empresário monopolista contratou seus serviços profissionais de economista para lhe auxiliar no cálculo de maximização de seus lucros. Após levantamentos junto à empresa, foi constatado que o preço da mercadoria analisada é de R$ 40,00 e seu custo médio (Cme) é estimado em
. De Posse das informações fornecidas, assinale a alternativa que enxota o valor, em reais, do custo total da empresa quando ocorre seu lucro máximo.
. De Posse das informações fornecidas, assinale a alternativa que enxota o valor, em reais, do custo total da empresa quando ocorre seu lucro máximo.Provas
Questão presente nas seguintes provas
Em relação à teoria do consumidor, marque V para as afirmativas verdadeiras e F para as falsas.
( ) A lei de Walras estabelece que, ao maximizar a utilidade, o consumidor escolhe uma demanda por bens que exaure os seus rendimentos.
( ) Bens de luxo apresentam elasticidade de renda maior do que bens necessários.
( ) A identidade de Roy permite recuperar a função demanda de um bem por meio da razão entre as derivadas da função utilidade indireta em relação ao preço desse bem e em relação à renda.
A sequência está correta em
( ) A lei de Walras estabelece que, ao maximizar a utilidade, o consumidor escolhe uma demanda por bens que exaure os seus rendimentos.
( ) Bens de luxo apresentam elasticidade de renda maior do que bens necessários.
( ) A identidade de Roy permite recuperar a função demanda de um bem por meio da razão entre as derivadas da função utilidade indireta em relação ao preço desse bem e em relação à renda.
A sequência está correta em
Provas
Questão presente nas seguintes provas
O Produto Interno Bruto (PIB) e o Produto Nacional Bruto (PNB) são conceitos distintos, usados para medir a produção e a renda de um país. Assim, um aumento do PNB a custo de fatores é reflexo, dentre outros fatores, de um(a)
Provas
Questão presente nas seguintes provas
Um dos entraves para que um país alcance um maior nível de desenvolvimento econômico, segundo numerosos analistas, é o fato de ele ter uma baixa taxa de poupança. Logo, segundo o modelo de Solow, uma elevação da taxa de poupança conduz a um(a)
Provas
Questão presente nas seguintes provas
Suponha que uma empresa tenha que tomar uma decisão de investir em uma nova planta de produção. Para isso, ela avalia o projeto e chega à conclusão de que o valor projetado de mercado, desse novo capital instalado, deve superar o custo de reposição do capital instalado pelo projeto da planta. Com base nesse cenário, a empresa deve investir, pois estaria baseada no(a)
Provas
Questão presente nas seguintes provas
A função demanda por insumos de uma empresa apresenta diversas propriedades importantes. O Lema de Hoteling estabelece que a demanda
Provas
Questão presente nas seguintes provas
Cadernos
Caderno Container