Foram encontradas 2.300 questões.

Com base nessas informações e designando por \(\theta\), \(a\) e \(\beta\) os ângulos entre a normal à interface e os sentidos dos vetores de onda dos feixes incidente (ki), refletido (kr) e refratado (kt), respectivamente, julgue o item subsequente.
Na situação em que n1 < n2, sempre haverá uma parcela da onda incidente que será transmitida.
Provas

Com base nessas informações e designando por \(\theta\), \(a\) e \(\beta\) os ângulos entre a normal à interface e os sentidos dos vetores de onda dos feixes incidente (ki), refletido (kr) e refratado (kt), respectivamente, julgue o item subsequente.
Se a onda incidente for do tipo TM (transversal magnética), ocorrerá transmissão total para o ângulo de Brewster somente se o índice de refração do meio de incidência (n1) for maior que o índice de refração do meio de transmissão (n2).
Provas

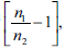
Considere que uma onda eletromagnética plana e linearmente polarizada, que se propaga na direção indicada pelo vetor ki paralelo ao plano xy, conforme ilustrado na figura acima, incida na interface entre dois meios lineares e isotrópicos caracterizados pelos índices de refração n1 e n2.
Com base nessas informações e designando por \(\theta\), \(a\) e \(\beta\) os ângulos entre a normal à interface e os sentidos dos vetores de onda dos feixes incidente (ki), refletido (kr) e refratado (kt), respectivamente, julgue o item subsequente.
Na situação em que n1 > n2, transmissão ocorrerá somente se o ângulo de incidência for inferior ao ângulo crítico, cuja expressão é \(\theta\)crit = sen-1
em que a notação sen-1(x) representa o ângulo cujo seno é igual a x.
Provas

A figura acima mostra um modelo de circuito para pequenos sinais e baixas frequências de um amplificador de tensão constituído de um transistor bipolar de junção na configuração emissor-comum. Nesse circuito, considere os seguintes dados:
\(g_m\) \(\) \(19\) \(x\) \(10^3\) \(S\), \(r_ \pi\) \(\) \(8,0\) \(k\Omega\) e \(r_0\) \(\) \(70\) \(k\Omega\)
Com base nessas informações, julgue o item subsequente.
O ganho de tensão do circuito amplificador
Provas

A figura acima mostra um modelo de circuito para pequenos sinais e baixas frequências de um amplificador de tensão constituído de um transistor bipolar de junção na configuração emissor-comum. Nesse circuito, considere os seguintes dados:
\(g_m\) \(\) \(19\) \(x\) \(10^3\) \(S\), \(r_ \pi\) \(\) \(8,0\) \(k\Omega\) e \(r_0\) \(\) \(70\) \(k\Omega\)
Com base nessas informações, julgue o item subsequente.
A resistência de entrada do circuito amplificador, designada por Rin, na figura, corresponde exatamente a 20 k\(\Omega\).
Provas

A figura acima mostra um modelo de circuito para pequenos sinais e baixas frequências de um amplificador de tensão constituído de um transistor bipolar de junção na configuração emissor-comum. Nesse circuito, considere os seguintes dados:
\(g_m\) \(\) \(19\) \(x\) \(10^3\) \(S\), \(r_ \pi\) \(\) \(8,0\) \(k\Omega\) e \(r_0\) \(\) \(70\) \(k\Omega\)
Com base nessas informações, julgue o item subsequente.
Para que haja máxima absorção de potência pela carga RG conectada à saída do circuito amplificador, é necessário que a resistência da carga seja exatamente de 2,5 k\(\Omega\).
Provas
As medidas de proteção das paredes das escavações são adotadas com a finalidade de que, durante a execução das escavações, não ocorram acidentes que possam ocasionar danos humanos e materiais.
Provas
Em uma planta topográfica, o dorso é caracterizado por uma superfície convexa formada pela união de duas vertentes opostas (pelo cume).
Provas
Para a realização de levantamentos topográficos expeditos, pode-se usar uma bússola, uma trena e um clinômetro.
Provas
Com base nos delitos em espécie, julgue o próximo item.
Constitui crime realizar interceptação de comunicações, sejam elas telefônicas, informáticas, ou telemáticas, ou, ainda, quebrar segredo da justiça sem autorização judicial ou com objetivos não autorizados em lei.
Provas
Caderno Container