Foram encontradas 60 questões.
Quando cuidar das pessoas é cuidar do negócio
Li há dias um artigo no jornal britânico The Guardian sobre burnout que referia que nós não trabalhamos só por dinheiro. O chamado "salário emocional" tem uma enorme importância hoje em dia: as pessoas precisam de sentimento de pertença, sentir que cumprem objetivos e que o seu esforço e empenho são reconhecidos. E hoje, mais do que nunca. Estes últimos quase dois anos de pandemia tiveram um impacto sem precedentes no nosso bem-estar físico e mental, desafiando a nossa capacidade de adaptação e reinvenção.
Embora o contexto da saúde mental na Europa já fosse preocupante antes da covid-19, com mais de 84 milhões de pessoas com problemas de saúde mental e 165 mil mortes anuais devido a doença mental ou suicídio, há cerca de um ano, os resultados de um estudo indicaram que cerca de 25% dos participantes apresenta sintomas moderados a graves de ansiedade, depressão e stress pós-traumático. O estudo, que avaliou dimensões como ansiedade, depressão, stress pós-traumático, burnout e resiliência, demonstrou o impacto das alterações provocadas pela covid-19 na saúde mental e no bem-estar da população, sobretudo naquelas que estavam na primeira linha de combate à pandemia.
Mais recentemente, em outubro de 2021, foram conhecidos dados de um quadro multidimensional realizado em países da União Europeia e no Reino Unido. As conclusões desse relatório refletiram também o impacto da pandemia, que se percebeu ter afetado desproporcional mente a saúde mental das mulheres face aos homens, tanto no trabalho como em casa.
O mesmo índice sublinhou a necessidade urgente de os empregadores estabelecerem sistemas apropriados para responder às necessidades de saúde mental, o que leva a outros dois aspetos que a pandemia agitou, intimamente ligados ao nosso bem-estar: o campo familiar e profissional. O bem-estar e a saúde mental interferem indubitavelmente com a produtividade e a motivação. O equilíbrio entre estes dois territórios tornou-se um dos maiores dilemas gerados pela pandemia. Gerir de forma harmoniosa as prioridades e o tempo, num clima de incerteza, insegurança e mudanças constantes, é um verdadeiro desafio.
Isto levanta uma questão que merece reflexão: o que faz uma empresa hoje em dia ser um exemplo na forma como gere os seus colaboradores e estar entre as melhores para se trabalhar?
Isto leva-nos a outro ponto fundamental na gestão de recursos humanos: a retenção de talento. Nenhuma empresa pode ser considerada um empregador de excelência se não conseguir uma relativa estabilidade dos seus quadros e reter os melhores. E, hoje em dia, só as empresas que têm o equilíbrio entre vida pessoal e profissional no centro das suas preocupações prosperam na retenção de talento. Temos um mercado de trabalho invadido pela geração millennial que, segundo a consultora Gallup, especializada na gestão de recursos humanos, são pessoas que criam pouco envolvimento com as organizações onde trabalham e andam frequentemente à procura da próxima "grande oportunidade".
Por outro lado, em grande parte fruto do contexto pandêmico, verificam-se hoje novas tendências no que respeita a atração e retenção de recursos humanos, que passam, por exemplo, por home office, ou regime híbrido, flexibilização de local e horários de trabalho e envolver os colaboradores no processo de tomada de decisão. Estes aspectos levantam outra questão: será que as pessoas que trabalham em companhias que consideram ter uma cultura flexível sentem o mesmo ou na mesma proporção que a liderança? Um trabalho de pesquisa da consultora Gartner mostra que não: percebeu-se que 75% dos líderes acreditam ter uma cultura de flexibilidade, mas apenas 57% dos colaboradores concordaram; a mesma percentagem de liderança sentiu que considera a opinião dos seus colaboradores na tomada de decisões, enquanto 47% destes últimos concordaram.
Hoje em dia, e talvez mais do que nunca, as pessoas procuram um trabalho que vá ao encontro dos seus valores e do seu estilo de vida. Creio que esta tendência foi simplesmente acelerada pelo panorama pandêmico. Mais do que oferecer uma oportunidade de trabalho, é importante que as empresas proporcionem uma boa experiência, incluam, ouçam e, acima de tudo, cuidem das suas pessoas.
Andrea Zanetti
Adaptado de: Diário de Notícias (Lisboa), 12/2/2022.
O emprego da vírgula marca uma sequência de palavras em relação de enumeração em:
Provas
Quando cuidar das pessoas é cuidar do negócio
Li há dias um artigo no jornal britânico The Guardian sobre burnout que referia que nós não trabalhamos só por dinheiro. O chamado "salário emocional" tem uma enorme importância hoje em dia: as pessoas precisam de sentimento de pertença, sentir que cumprem objetivos e que o seu esforço e empenho são reconhecidos. E hoje, mais do que nunca. Estes últimos quase dois anos de pandemia tiveram um impacto sem precedentes no nosso bem-estar físico e mental, desafiando a nossa capacidade de adaptação e reinvenção.
Embora o contexto da saúde mental na Europa já fosse preocupante antes da covid-19, com mais de 84 milhões de pessoas com problemas de saúde mental e 165 mil mortes anuais devido a doença mental ou suicídio, há cerca de um ano, os resultados de um estudo indicaram que cerca de 25% dos participantes apresenta sintomas moderados a graves de ansiedade, depressão e stress pós-traumático. O estudo, que avaliou dimensões como ansiedade, depressão, stress pós-traumático, burnout e resiliência, demonstrou o impacto das alterações provocadas pela covid-19 na saúde mental e no bem-estar da população, sobretudo naquelas que estavam na primeira linha de combate à pandemia.
Mais recentemente, em outubro de 2021, foram conhecidos dados de um quadro multidimensional realizado em países da União Europeia e no Reino Unido. As conclusões desse relatório refletiram também o impacto da pandemia, que se percebeu ter afetado desproporcional mente a saúde mental das mulheres face aos homens, tanto no trabalho como em casa.
O mesmo índice sublinhou a necessidade urgente de os empregadores estabelecerem sistemas apropriados para responder às necessidades de saúde mental, o que leva a outros dois aspetos que a pandemia agitou, intimamente ligados ao nosso bem-estar: o campo familiar e profissional. O bem-estar e a saúde mental interferem indubitavelmente com a produtividade e a motivação. O equilíbrio entre estes dois territórios tornou-se um dos maiores dilemas gerados pela pandemia. Gerir de forma harmoniosa as prioridades e o tempo, num clima de incerteza, insegurança e mudanças constantes, é um verdadeiro desafio.
Isto levanta uma questão que merece reflexão: o que faz uma empresa hoje em dia ser um exemplo na forma como gere os seus colaboradores e estar entre as melhores para se trabalhar?
Isto leva-nos a outro ponto fundamental na gestão de recursos humanos: a retenção de talento. Nenhuma empresa pode ser considerada um empregador de excelência se não conseguir uma relativa estabilidade dos seus quadros e reter os melhores. E, hoje em dia, só as empresas que têm o equilíbrio entre vida pessoal e profissional no centro das suas preocupações prosperam na retenção de talento. Temos um mercado de trabalho invadido pela geração millennial que, segundo a consultora Gallup, especializada na gestão de recursos humanos, são pessoas que criam pouco envolvimento com as organizações onde trabalham e andam frequentemente à procura da próxima "grande oportunidade".
Por outro lado, em grande parte fruto do contexto pandêmico, verificam-se hoje novas tendências no que respeita a atração e retenção de recursos humanos, que passam, por exemplo, por home office, ou regime híbrido, flexibilização de local e horários de trabalho e envolver os colaboradores no processo de tomada de decisão. Estes aspectos levantam outra questão: será que as pessoas que trabalham em companhias que consideram ter uma cultura flexível sentem o mesmo ou na mesma proporção que a liderança? Um trabalho de pesquisa da consultora Gartner mostra que não: percebeu-se que 75% dos líderes acreditam ter uma cultura de flexibilidade, mas apenas 57% dos colaboradores concordaram; a mesma percentagem de liderança sentiu que considera a opinião dos seus colaboradores na tomada de decisões, enquanto 47% destes últimos concordaram.
Hoje em dia, e talvez mais do que nunca, as pessoas procuram um trabalho que vá ao encontro dos seus valores e do seu estilo de vida. Creio que esta tendência foi simplesmente acelerada pelo panorama pandêmico. Mais do que oferecer uma oportunidade de trabalho, é importante que as empresas proporcionem uma boa experiência, incluam, ouçam e, acima de tudo, cuidem das suas pessoas.
Andrea Zanetti
Adaptado de: Diário de Notícias (Lisboa), 12/2/2022.
O modo verbal reforça o sentido de possibilidade na forma destacada em:
Provas
Quando cuidar das pessoas é cuidar do negócio
Li há dias um artigo no jornal britânico The Guardian sobre burnout que referia que nós não trabalhamos só por dinheiro. O chamado "salário emocional" tem uma enorme importância hoje em dia: as pessoas precisam de sentimento de pertença, sentir que cumprem objetivos e que o seu esforço e empenho são reconhecidos. E hoje, mais do que nunca. Estes últimos quase dois anos de pandemia tiveram um impacto sem precedentes no nosso bem-estar físico e mental, desafiando a nossa capacidade de adaptação e reinvenção.
Embora o contexto da saúde mental na Europa já fosse preocupante antes da covid-19, com mais de 84 milhões de pessoas com problemas de saúde mental e 165 mil mortes anuais devido a doença mental ou suicídio, há cerca de um ano, os resultados de um estudo indicaram que cerca de 25% dos participantes apresenta sintomas moderados a graves de ansiedade, depressão e stress pós-traumático. O estudo, que avaliou dimensões como ansiedade, depressão, stress pós-traumático, burnout e resiliência, demonstrou o impacto das alterações provocadas pela covid-19 na saúde mental e no bem-estar da população, sobretudo naquelas que estavam na primeira linha de combate à pandemia.
Mais recentemente, em outubro de 2021, foram conhecidos dados de um quadro multidimensional realizado em países da União Europeia e no Reino Unido. As conclusões desse relatório refletiram também o impacto da pandemia, que se percebeu ter afetado desproporcional mente a saúde mental das mulheres face aos homens, tanto no trabalho como em casa.
O mesmo índice sublinhou a necessidade urgente de os empregadores estabelecerem sistemas apropriados para responder às necessidades de saúde mental, o que leva a outros dois aspetos que a pandemia agitou, intimamente ligados ao nosso bem-estar: o campo familiar e profissional. O bem-estar e a saúde mental interferem indubitavelmente com a produtividade e a motivação. O equilíbrio entre estes dois territórios tornou-se um dos maiores dilemas gerados pela pandemia. Gerir de forma harmoniosa as prioridades e o tempo, num clima de incerteza, insegurança e mudanças constantes, é um verdadeiro desafio.
Isto levanta uma questão que merece reflexão: o que faz uma empresa hoje em dia ser um exemplo na forma como gere os seus colaboradores e estar entre as melhores para se trabalhar?
Isto leva-nos a outro ponto fundamental na gestão de recursos humanos: a retenção de talento. Nenhuma empresa pode ser considerada um empregador de excelência se não conseguir uma relativa estabilidade dos seus quadros e reter os melhores. E, hoje em dia, só as empresas que têm o equilíbrio entre vida pessoal e profissional no centro das suas preocupações prosperam na retenção de talento. Temos um mercado de trabalho invadido pela geração millennial que, segundo a consultora Gallup, especializada na gestão de recursos humanos, são pessoas que criam pouco envolvimento com as organizações onde trabalham e andam frequentemente à procura da próxima "grande oportunidade".
Por outro lado, em grande parte fruto do contexto pandêmico, verificam-se hoje novas tendências no que respeita a atração e retenção de recursos humanos, que passam, por exemplo, por home office, ou regime híbrido, flexibilização de local e horários de trabalho e envolver os colaboradores no processo de tomada de decisão. Estes aspectos levantam outra questão: será que as pessoas que trabalham em companhias que consideram ter uma cultura flexível sentem o mesmo ou na mesma proporção que a liderança? Um trabalho de pesquisa da consultora Gartner mostra que não: percebeu-se que 75% dos líderes acreditam ter uma cultura de flexibilidade, mas apenas 57% dos colaboradores concordaram; a mesma percentagem de liderança sentiu que considera a opinião dos seus colaboradores na tomada de decisões, enquanto 47% destes últimos concordaram.
Hoje em dia, e talvez mais do que nunca, as pessoas procuram um trabalho que vá ao encontro dos seus valores e do seu estilo de vida. Creio que esta tendência foi simplesmente acelerada pelo panorama pandêmico. Mais do que oferecer uma oportunidade de trabalho, é importante que as empresas proporcionem uma boa experiência, incluam, ouçam e, acima de tudo, cuidem das suas pessoas.
Andrea Zanetti
Adaptado de: Diário de Notícias (Lisboa), 12/2/2022.
A respeito da flexibilidade das relações de trabalho, o autor menciona uma pesquisa, que aponta o seguinte resultado:
Provas
Quando cuidar das pessoas é cuidar do negócio
Li há dias um artigo no jornal britânico The Guardian sobre burnout que referia que nós não trabalhamos só por dinheiro. O chamado "salário emocional" tem uma enorme importância hoje em dia: as pessoas precisam de sentimento de pertença, sentir que cumprem objetivos e que o seu esforço e empenho são reconhecidos. E hoje, mais do que nunca. Estes últimos quase dois anos de pandemia tiveram um impacto sem precedentes no nosso bem-estar físico e mental, desafiando a nossa capacidade de adaptação e reinvenção.
Embora o contexto da saúde mental na Europa já fosse preocupante antes da covid-19, com mais de 84 milhões de pessoas com problemas de saúde mental e 165 mil mortes anuais devido a doença mental ou suicídio, há cerca de um ano, os resultados de um estudo indicaram que cerca de 25% dos participantes apresenta sintomas moderados a graves de ansiedade, depressão e stress pós-traumático. O estudo, que avaliou dimensões como ansiedade, depressão, stress pós-traumático, burnout e resiliência, demonstrou o impacto das alterações provocadas pela covid-19 na saúde mental e no bem-estar da população, sobretudo naquelas que estavam na primeira linha de combate à pandemia.
Mais recentemente, em outubro de 2021, foram conhecidos dados de um quadro multidimensional realizado em países da União Europeia e no Reino Unido. As conclusões desse relatório refletiram também o impacto da pandemia, que se percebeu ter afetado desproporcional mente a saúde mental das mulheres face aos homens, tanto no trabalho como em casa.
O mesmo índice sublinhou a necessidade urgente de os empregadores estabelecerem sistemas apropriados para responder às necessidades de saúde mental, o que leva a outros dois aspetos que a pandemia agitou, intimamente ligados ao nosso bem-estar: o campo familiar e profissional. O bem-estar e a saúde mental interferem indubitavelmente com a produtividade e a motivação. O equilíbrio entre estes dois territórios tornou-se um dos maiores dilemas gerados pela pandemia. Gerir de forma harmoniosa as prioridades e o tempo, num clima de incerteza, insegurança e mudanças constantes, é um verdadeiro desafio.
Isto levanta uma questão que merece reflexão: o que faz uma empresa hoje em dia ser um exemplo na forma como gere os seus colaboradores e estar entre as melhores para se trabalhar?
Isto leva-nos a outro ponto fundamental na gestão de recursos humanos: a retenção de talento. Nenhuma empresa pode ser considerada um empregador de excelência se não conseguir uma relativa estabilidade dos seus quadros e reter os melhores. E, hoje em dia, só as empresas que têm o equilíbrio entre vida pessoal e profissional no centro das suas preocupações prosperam na retenção de talento. Temos um mercado de trabalho invadido pela geração millennial que, segundo a consultora Gallup, especializada na gestão de recursos humanos, são pessoas que criam pouco envolvimento com as organizações onde trabalham e andam frequentemente à procura da próxima "grande oportunidade".
Por outro lado, em grande parte fruto do contexto pandêmico, verificam-se hoje novas tendências no que respeita a atração e retenção de recursos humanos, que passam, por exemplo, por home office, ou regime híbrido, flexibilização de local e horários de trabalho e envolver os colaboradores no processo de tomada de decisão. Estes aspectos levantam outra questão: será que as pessoas que trabalham em companhias que consideram ter uma cultura flexível sentem o mesmo ou na mesma proporção que a liderança? Um trabalho de pesquisa da consultora Gartner mostra que não: percebeu-se que 75% dos líderes acreditam ter uma cultura de flexibilidade, mas apenas 57% dos colaboradores concordaram; a mesma percentagem de liderança sentiu que considera a opinião dos seus colaboradores na tomada de decisões, enquanto 47% destes últimos concordaram.
Hoje em dia, e talvez mais do que nunca, as pessoas procuram um trabalho que vá ao encontro dos seus valores e do seu estilo de vida. Creio que esta tendência foi simplesmente acelerada pelo panorama pandêmico. Mais do que oferecer uma oportunidade de trabalho, é importante que as empresas proporcionem uma boa experiência, incluam, ouçam e, acima de tudo, cuidem das suas pessoas.
Andrea Zanetti
Adaptado de: Diário de Notícias (Lisboa), 12/2/2022.
“ As conclusões desse relatório refletiram também o impacto da pandemia, que se percebeu ter afetado desproporcional mente a saúde mental das mulheres face aos homens, tanto no trabalho como em casa.” – 3º parágrafo
Na frase, a palavra "que" retoma o seguinte elemento:
Provas
Quando cuidar das pessoas é cuidar do negócio
Li há dias um artigo no jornal britânico The Guardian sobre burnout que referia que nós não trabalhamos só por dinheiro. O chamado "salário emocional" tem uma enorme importância hoje em dia: as pessoas precisam de sentimento de pertença, sentir que cumprem objetivos e que o seu esforço e empenho são reconhecidos. E hoje, mais do que nunca. Estes últimos quase dois anos de pandemia tiveram um impacto sem precedentes no nosso bem-estar físico e mental, desafiando a nossa capacidade de adaptação e reinvenção.
Embora o contexto da saúde mental na Europa já fosse preocupante antes da covid-19, com mais de 84 milhões de pessoas com problemas de saúde mental e 165 mil mortes anuais devido a doença mental ou suicídio, há cerca de um ano, os resultados de um estudo indicaram que cerca de 25% dos participantes apresenta sintomas moderados a graves de ansiedade, depressão e stress pós-traumático. O estudo, que avaliou dimensões como ansiedade, depressão, stress pós-traumático, burnout e resiliência, demonstrou o impacto das alterações provocadas pela covid-19 na saúde mental e no bem-estar da população, sobretudo naquelas que estavam na primeira linha de combate à pandemia.
Mais recentemente, em outubro de 2021, foram conhecidos dados de um quadro multidimensional realizado em países da União Europeia e no Reino Unido. As conclusões desse relatório refletiram também o impacto da pandemia, que se percebeu ter afetado desproporcional mente a saúde mental das mulheres face aos homens, tanto no trabalho como em casa.
O mesmo índice sublinhou a necessidade urgente de os empregadores estabelecerem sistemas apropriados para responder às necessidades de saúde mental, o que leva a outros dois aspetos que a pandemia agitou, intimamente ligados ao nosso bem-estar: o campo familiar e profissional. O bem-estar e a saúde mental interferem indubitavelmente com a produtividade e a motivação. O equilíbrio entre estes dois territórios tornou-se um dos maiores dilemas gerados pela pandemia. Gerir de forma harmoniosa as prioridades e o tempo, num clima de incerteza, insegurança e mudanças constantes, é um verdadeiro desafio.
Isto levanta uma questão que merece reflexão: o que faz uma empresa hoje em dia ser um exemplo na forma como gere os seus colaboradores e estar entre as melhores para se trabalhar?
Isto leva-nos a outro ponto fundamental na gestão de recursos humanos: a retenção de talento. Nenhuma empresa pode ser considerada um empregador de excelência se não conseguir uma relativa estabilidade dos seus quadros e reter os melhores. E, hoje em dia, só as empresas que têm o equilíbrio entre vida pessoal e profissional no centro das suas preocupações prosperam na retenção de talento. Temos um mercado de trabalho invadido pela geração millennial que, segundo a consultora Gallup, especializada na gestão de recursos humanos, são pessoas que criam pouco envolvimento com as organizações onde trabalham e andam frequentemente à procura da próxima "grande oportunidade".
Por outro lado, em grande parte fruto do contexto pandêmico, verificam-se hoje novas tendências no que respeita a atração e retenção de recursos humanos, que passam, por exemplo, por home office, ou regime híbrido, flexibilização de local e horários de trabalho e envolver os colaboradores no processo de tomada de decisão. Estes aspectos levantam outra questão: será que as pessoas que trabalham em companhias que consideram ter uma cultura flexível sentem o mesmo ou na mesma proporção que a liderança? Um trabalho de pesquisa da consultora Gartner mostra que não: percebeu-se que 75% dos líderes acreditam ter uma cultura de flexibilidade, mas apenas 57% dos colaboradores concordaram; a mesma percentagem de liderança sentiu que considera a opinião dos seus colaboradores na tomada de decisões, enquanto 47% destes últimos concordaram.
Hoje em dia, e talvez mais do que nunca, as pessoas procuram um trabalho que vá ao encontro dos seus valores e do seu estilo de vida. Creio que esta tendência foi simplesmente acelerada pelo panorama pandêmico. Mais do que oferecer uma oportunidade de trabalho, é importante que as empresas proporcionem uma boa experiência, incluam, ouçam e, acima de tudo, cuidem das suas pessoas.
Andrea Zanetti
Adaptado de: Diário de Notícias (Lisboa), 12/2/2022.
No primeiro parágrafo, o emprego dos dois-pontos indica uma relação de sentido entre as partes, que pode ser explicitada pela seguinte expressão:
Provas
Quando cuidar das pessoas é cuidar do negócio
Li há dias um artigo no jornal britânico The Guardian sobre burnout que referia que nós não trabalhamos só por dinheiro. O chamado "salário emocional" tem uma enorme importância hoje em dia: as pessoas precisam de sentimento de pertença, sentir que cumprem objetivos e que o seu esforço e empenho são reconhecidos. E hoje, mais do que nunca. Estes últimos quase dois anos de pandemia tiveram um impacto sem precedentes no nosso bem-estar físico e mental, desafiando a nossa capacidade de adaptação e reinvenção.
Embora o contexto da saúde mental na Europa já fosse preocupante antes da covid-19, com mais de 84 milhões de pessoas com problemas de saúde mental e 165 mil mortes anuais devido a doença mental ou suicídio, há cerca de um ano, os resultados de um estudo indicaram que cerca de 25% dos participantes apresenta sintomas moderados a graves de ansiedade, depressão e stress pós-traumático. O estudo, que avaliou dimensões como ansiedade, depressão, stress pós-traumático, burnout e resiliência, demonstrou o impacto das alterações provocadas pela covid-19 na saúde mental e no bem-estar da população, sobretudo naquelas que estavam na primeira linha de combate à pandemia.
Mais recentemente, em outubro de 2021, foram conhecidos dados de um quadro multidimensional realizado em países da União Europeia e no Reino Unido. As conclusões desse relatório refletiram também o impacto da pandemia, que se percebeu ter afetado desproporcional mente a saúde mental das mulheres face aos homens, tanto no trabalho como em casa.
O mesmo índice sublinhou a necessidade urgente de os empregadores estabelecerem sistemas apropriados para responder às necessidades de saúde mental, o que leva a outros dois aspetos que a pandemia agitou, intimamente ligados ao nosso bem-estar: o campo familiar e profissional. O bem-estar e a saúde mental interferem indubitavelmente com a produtividade e a motivação. O equilíbrio entre estes dois territórios tornou-se um dos maiores dilemas gerados pela pandemia. Gerir de forma harmoniosa as prioridades e o tempo, num clima de incerteza, insegurança e mudanças constantes, é um verdadeiro desafio.
Isto levanta uma questão que merece reflexão: o que faz uma empresa hoje em dia ser um exemplo na forma como gere os seus colaboradores e estar entre as melhores para se trabalhar?
Isto leva-nos a outro ponto fundamental na gestão de recursos humanos: a retenção de talento. Nenhuma empresa pode ser considerada um empregador de excelência se não conseguir uma relativa estabilidade dos seus quadros e reter os melhores. E, hoje em dia, só as empresas que têm o equilíbrio entre vida pessoal e profissional no centro das suas preocupações prosperam na retenção de talento. Temos um mercado de trabalho invadido pela geração millennial que, segundo a consultora Gallup, especializada na gestão de recursos humanos, são pessoas que criam pouco envolvimento com as organizações onde trabalham e andam frequentemente à procura da próxima "grande oportunidade".
Por outro lado, em grande parte fruto do contexto pandêmico, verificam-se hoje novas tendências no que respeita a atração e retenção de recursos humanos, que passam, por exemplo, por home office, ou regime híbrido, flexibilização de local e horários de trabalho e envolver os colaboradores no processo de tomada de decisão. Estes aspectos levantam outra questão: será que as pessoas que trabalham em companhias que consideram ter uma cultura flexível sentem o mesmo ou na mesma proporção que a liderança? Um trabalho de pesquisa da consultora Gartner mostra que não: percebeu-se que 75% dos líderes acreditam ter uma cultura de flexibilidade, mas apenas 57% dos colaboradores concordaram; a mesma percentagem de liderança sentiu que considera a opinião dos seus colaboradores na tomada de decisões, enquanto 47% destes últimos concordaram.
Hoje em dia, e talvez mais do que nunca, as pessoas procuram um trabalho que vá ao encontro dos seus valores e do seu estilo de vida. Creio que esta tendência foi simplesmente acelerada pelo panorama pandêmico. Mais do que oferecer uma oportunidade de trabalho, é importante que as empresas proporcionem uma boa experiência, incluam, ouçam e, acima de tudo, cuidem das suas pessoas.
Andrea Zanetti
Adaptado de: Diário de Notícias (Lisboa), 12/2/2022.
"Estes últimos quase dois anos de pandemia tiveram um impacto sem precedentes no nosso bem-estar físico e mental, desafiando a nossa capacidade de adaptação e reinvenção" (1º parágrafo).
Na frase, a expressão "desafiando a nossa capacidade de adaptação e reinvenção" assume valor de:
Provas
Quando cuidar das pessoas é cuidar do negócio
Li há dias um artigo no jornal britânico The Guardian sobre burnout que referia que nós não trabalhamos só por dinheiro. O chamado "salário emocional" tem uma enorme importância hoje em dia: as pessoas precisam de sentimento de pertença, sentir que cumprem objetivos e que o seu esforço e empenho são reconhecidos. E hoje, mais do que nunca. Estes últimos quase dois anos de pandemia tiveram um impacto sem precedentes no nosso bem-estar físico e mental, desafiando a nossa capacidade de adaptação e reinvenção.
Embora o contexto da saúde mental na Europa já fosse preocupante antes da covid-19, com mais de 84 milhões de pessoas com problemas de saúde mental e 165 mil mortes anuais devido a doença mental ou suicídio, há cerca de um ano, os resultados de um estudo indicaram que cerca de 25% dos participantes apresenta sintomas moderados a graves de ansiedade, depressão e stress pós-traumático. O estudo, que avaliou dimensões como ansiedade, depressão, stress pós-traumático, burnout e resiliência, demonstrou o impacto das alterações provocadas pela covid-19 na saúde mental e no bem-estar da população, sobretudo naquelas que estavam na primeira linha de combate à pandemia.
Mais recentemente, em outubro de 2021, foram conhecidos dados de um quadro multidimensional realizado em países da União Europeia e no Reino Unido. As conclusões desse relatório refletiram também o impacto da pandemia, que se percebeu ter afetado desproporcional mente a saúde mental das mulheres face aos homens, tanto no trabalho como em casa.
O mesmo índice sublinhou a necessidade urgente de os empregadores estabelecerem sistemas apropriados para responder às necessidades de saúde mental, o que leva a outros dois aspetos que a pandemia agitou, intimamente ligados ao nosso bem-estar: o campo familiar e profissional. O bem-estar e a saúde mental interferem indubitavelmente com a produtividade e a motivação. O equilíbrio entre estes dois territórios tornou-se um dos maiores dilemas gerados pela pandemia. Gerir de forma harmoniosa as prioridades e o tempo, num clima de incerteza, insegurança e mudanças constantes, é um verdadeiro desafio.
Isto levanta uma questão que merece reflexão: o que faz uma empresa hoje em dia ser um exemplo na forma como gere os seus colaboradores e estar entre as melhores para se trabalhar?
Isto leva-nos a outro ponto fundamental na gestão de recursos humanos: a retenção de talento. Nenhuma empresa pode ser considerada um empregador de excelência se não conseguir uma relativa estabilidade dos seus quadros e reter os melhores. E, hoje em dia, só as empresas que têm o equilíbrio entre vida pessoal e profissional no centro das suas preocupações prosperam na retenção de talento. Temos um mercado de trabalho invadido pela geração millennial que, segundo a consultora Gallup, especializada na gestão de recursos humanos, são pessoas que criam pouco envolvimento com as organizações onde trabalham e andam frequentemente à procura da próxima "grande oportunidade".
Por outro lado, em grande parte fruto do contexto pandêmico, verificam-se hoje novas tendências no que respeita a atração e retenção de recursos humanos, que passam, por exemplo, por home office, ou regime híbrido, flexibilização de local e horários de trabalho e envolver os colaboradores no processo de tomada de decisão. Estes aspectos levantam outra questão: será que as pessoas que trabalham em companhias que consideram ter uma cultura flexível sentem o mesmo ou na mesma proporção que a liderança? Um trabalho de pesquisa da consultora Gartner mostra que não: percebeu-se que 75% dos líderes acreditam ter uma cultura de flexibilidade, mas apenas 57% dos colaboradores concordaram; a mesma percentagem de liderança sentiu que considera a opinião dos seus colaboradores na tomada de decisões, enquanto 47% destes últimos concordaram.
Hoje em dia, e talvez mais do que nunca, as pessoas procuram um trabalho que vá ao encontro dos seus valores e do seu estilo de vida. Creio que esta tendência foi simplesmente acelerada pelo panorama pandêmico. Mais do que oferecer uma oportunidade de trabalho, é importante que as empresas proporcionem uma boa experiência, incluam, ouçam e, acima de tudo, cuidem das suas pessoas.
Andrea Zanetti
Adaptado de: Diário de Notícias (Lisboa), 12/2/2022.
De acordo com o texto, a crise sanitária atual teve o seguinte papel:
Provas
Quando cuidar das pessoas é cuidar do negócio
Li há dias um artigo no jornal britânico The Guardian sobre burnout que referia que nós não trabalhamos só por dinheiro. O chamado "salário emocional" tem uma enorme importância hoje em dia: as pessoas precisam de sentimento de pertença, sentir que cumprem objetivos e que o seu esforço e empenho são reconhecidos. E hoje, mais do que nunca. Estes últimos quase dois anos de pandemia tiveram um impacto sem precedentes no nosso bem-estar físico e mental, desafiando a nossa capacidade de adaptação e reinvenção.
Embora o contexto da saúde mental na Europa já fosse preocupante antes da covid-19, com mais de 84 milhões de pessoas com problemas de saúde mental e 165 mil mortes anuais devido a doença mental ou suicídio, há cerca de um ano, os resultados de um estudo indicaram que cerca de 25% dos participantes apresenta sintomas moderados a graves de ansiedade, depressão e stress pós-traumático. O estudo, que avaliou dimensões como ansiedade, depressão, stress pós-traumático, burnout e resiliência, demonstrou o impacto das alterações provocadas pela covid-19 na saúde mental e no bem-estar da população, sobretudo naquelas que estavam na primeira linha de combate à pandemia.
Mais recentemente, em outubro de 2021, foram conhecidos dados de um quadro multidimensional realizado em países da União Europeia e no Reino Unido. As conclusões desse relatório refletiram também o impacto da pandemia, que se percebeu ter afetado desproporcional mente a saúde mental das mulheres face aos homens, tanto no trabalho como em casa.
O mesmo índice sublinhou a necessidade urgente de os empregadores estabelecerem sistemas apropriados para responder às necessidades de saúde mental, o que leva a outros dois aspetos que a pandemia agitou, intimamente ligados ao nosso bem-estar: o campo familiar e profissional. O bem-estar e a saúde mental interferem indubitavelmente com a produtividade e a motivação. O equilíbrio entre estes dois territórios tornou-se um dos maiores dilemas gerados pela pandemia. Gerir de forma harmoniosa as prioridades e o tempo, num clima de incerteza, insegurança e mudanças constantes, é um verdadeiro desafio.
Isto levanta uma questão que merece reflexão: o que faz uma empresa hoje em dia ser um exemplo na forma como gere os seus colaboradores e estar entre as melhores para se trabalhar?
Isto leva-nos a outro ponto fundamental na gestão de recursos humanos: a retenção de talento. Nenhuma empresa pode ser considerada um empregador de excelência se não conseguir uma relativa estabilidade dos seus quadros e reter os melhores. E, hoje em dia, só as empresas que têm o equilíbrio entre vida pessoal e profissional no centro das suas preocupações prosperam na retenção de talento. Temos um mercado de trabalho invadido pela geração millennial que, segundo a consultora Gallup, especializada na gestão de recursos humanos, são pessoas que criam pouco envolvimento com as organizações onde trabalham e andam frequentemente à procura da próxima "grande oportunidade".
Por outro lado, em grande parte fruto do contexto pandêmico, verificam-se hoje novas tendências no que respeita a atração e retenção de recursos humanos, que passam, por exemplo, por home office, ou regime híbrido, flexibilização de local e horários de trabalho e envolver os colaboradores no processo de tomada de decisão. Estes aspectos levantam outra questão: será que as pessoas que trabalham em companhias que consideram ter uma cultura flexível sentem o mesmo ou na mesma proporção que a liderança? Um trabalho de pesquisa da consultora Gartner mostra que não: percebeu-se que 75% dos líderes acreditam ter uma cultura de flexibilidade, mas apenas 57% dos colaboradores concordaram; a mesma percentagem de liderança sentiu que considera a opinião dos seus colaboradores na tomada de decisões, enquanto 47% destes últimos concordaram.
Hoje em dia, e talvez mais do que nunca, as pessoas procuram um trabalho que vá ao encontro dos seus valores e do seu estilo de vida. Creio que esta tendência foi simplesmente acelerada pelo panorama pandêmico. Mais do que oferecer uma oportunidade de trabalho, é importante que as empresas proporcionem uma boa experiência, incluam, ouçam e, acima de tudo, cuidem das suas pessoas.
Andrea Zanetti
Adaptado de: Diário de Notícias (Lisboa), 12/2/2022.
A temática central do texto se organiza em torno da seguinte questão:
Provas
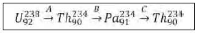
Um núcleo radioativo pai decai, transmutando-se para um núcleo-filho, e este para um núcleo-neto, e assim por diante até adquirir a estabilidade.

As partículas emitidas em cada processo de decaimento são:
Provas
Uma instalação hidráulica é constituída de quatro tubos, cujas medidas, em metros, são T1, T2 , T3 e T 4. Admite-se que:
• T4 tem dois metros a mais do que T1.
• T1+T2+T3 = 36 m.
• (T1, T2, T3) é uma progressão aritmética.
• (T4, T2,T3) é uma progressão geométrica.
A soma dos algarismos do número que representa a medida, em metros, do tubo T3 corresponde a:
Provas
Caderno Container