Foram encontradas 35.936 questões.
Os compostos responsáveis pelo aroma característico de muitas frutas maduras são formados a partir de aminoácidos ramificados, como a leucina. Esse caminho inicia-se pela perda de substituintes típicos de aminoácidos, em reações em etapas, catalisadas por enzimas, onde ocorrem desaminação (–NH2), descarboxilação (–CO2) e oxidação (+[O]), formando um aldeído. Esse aldeído, dependendo da transformação que sofre, pode originar um composto com o aroma característico da banana ou um composto com o aroma característico da maçã.
O esquema mostra esse conjunto de transformações.

Os compostos X e Y são, respectivamente,
Provas
O equilíbrio químico representado a seguir se estabelece durante o processo de reforma do gás natural para produção de hidrogênio.
CH4 (g) + H2O (g) !$ \rightleftharpoons !$ CO (g) + 3H2 (g) ;
!$ \Delta H = +52,4 !$ kcal/mol de CH4
Considere os seguintes procedimentos:
1. Aumento de pressão.
2. Aumento de temperatura.
3. Adição de catalisador.
4. Remoção de monóxido de carbono.
Entre esses procedimentos, os que propiciam o aumento do rendimento de produção de hidrogênio no equilíbrio são
Provas
Otto Tachenius (c.1620 – c.1690), médico, farmacêutico, iatroquímico e alquimista alemão, dizia que tudo no Universo é constituído por dois “princípios”, o ácido e o álcali. Em termos de “ácido” e “álcali”, explicava uma série de fenômenos, alguns deles de forma ainda hoje consistente. Por exemplo: – A força dos ácidos varia, e os ácidos mais fortes deslocam os mais fracos de seus sais.
(Juergen Heinrich Maar. Pequena história da química, 1999. Adaptado.)
Um exemplo atual dessa concepção de Tachenius encontra-se na mistura entre soluções aquosas de
Provas
Certo spray antisséptico contém como princípio ativo o digliconato de clorexidina, na concentração de 10 mg/mL. Sabendo que a massa molar desse princípio ativo é, aproximadamente, 5,0 x 102 g/mol e que a constante de Avogadro é igual a 6,0 x 1023 mol–1, o número de moléculas de digliconato de clorexidina presentes em um frasco contendo 50 mL desse antisséptico é
Provas
O carbeto de silício (SiC), também conhecido como carborundum, é amplamente utilizado como abrasivo em pedras de esmeril, em pedras de afiar facas e também em materiais refratários.

Esse composto é obtido a partir de uma mistura de carvão com areia com alto teor de sílica, por meio de processo eletrotérmico envolvendo a reação global, com rendimento médio de 75%, representada a seguir.
SiO2 (s, cristalino) + 3C (s, amorfo) →
→ SiC (s, cristalino) + 2CO (g)
Com base nessas informações, prevê-se que a massa de SiC obtida pela reação de 6,0 t de SiO2 com 3,6 t de C seja, aproximadamente,
Provas
Mineração oceânica
A abundância de lítio na forma de íons nas águas dos oceanos é cerca de 5 000 vezes maior do que na crosta terrestre, o que tem estimulado a mineração oceânica. No entanto, apesar de mais abundante nas águas dos mares do que na crosta terrestre, o lítio nos oceanos está presente em concentrações extremamente baixas, cerca de 0,2 parte por milhão (ppm). Íons maiores, como sódio, magnésio e potássio, estão presentes na água do mar em concentrações muito mais altas que a do íon Li+. Isso tem inviabilizado a extração de lítio dessa mistura, de forma técnica ou economicamente viável.
Esse desafio acaba de ser vencido por uma equipe de pesquisadores da Arábia Saudita, que utilizam uma célula eletroquímica contendo uma membrana cerâmica porosa, que permite a passagem dos íons de lítio, mas bloqueia eficientemente os íons dos outros elementos citados.
(www.inovacaotecnologica.com.br. Adaptado.)
Organizando em ordem crescente de tamanho os íons maiores do que o lítio, citados no texto, tem-se:
Provas
Etanolamina no espaço
Uma equipe internacional e multidisciplinar, envolvendo astrofísicos, astroquímicos e bioquímicos, detectou pela primeira vez no espaço interestelar a substância prebiótica etanolamina.
A etanolamina (NH2CH2CH2OH), uma molécula que contém quatro dos seis elementos químicos essenciais à vida, faz parte dos fosfolipídios, moléculas que compõem as membranas celulares, e pode servir como precursora do aminoácido glicina.
(www.inovacaotecnologica.com.br. Adaptado.)
A fórmula estrutural da glicina está representada a seguir.

A transformação da molécula de etanolamina em glicina envolve uma reação de
Provas
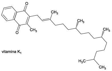
Considere a estrutura da vitamina K1.

Analisando-se a fórmula estrutural da vitamina K1, nota-se que essa vitamina é , apresenta cadeia carbônica , átomo de carbono e apresenta isômeros .
As lacunas do texto são preenchidas respectivamente por:
Provas
Considere os seguintes fenômenos:
1. Formação de um depósito de prata metálica sobre um fio de cobre imerso em uma solução aquosa de nitrato de prata (AgNO3).
2. Formação de água pela reação explosiva entre oxigênio e hidrogênio gasosos.
3. Formação de um precipitado de carbonato de cálcio quando dióxido de carbono é borbulhado em solução aquosa saturada de hidróxido de cálcio.
4. Formação de uma solução límpida quando vinagre é adicionado a uma suspensão opaca de hidróxido de magnésio (leite de magnésia).
Ocorrem reações de oxirredução somente nos fenômenos
Provas
A tabela mostra os valores aproximados de pH de diferentes soluções aquosas, todas com a mesma concentração de 0,1 mol/L e a 25 ºC.
| Solução | pH aproximado |
| Ácido clorídrico | 1 |
| Ácido acético | 3 |
| Sulfato de sódio | 7 |
| Hidróxido de sódio | 13 |
A solução que deve apresentar maior concentração total de íons e a solução que deve apresentar maior concentração de íons H+(aq) são, respectivamente, as soluções de
Provas
Caderno Container