Foram encontradas 35.934 questões.
Pesquisadores de uma universidade estudam o aumento
da concentração média de um determinado gás em uma região
brasileira. Esse gás possui característica apolar com estrutura
linear, contribui para o aquecimento global, é produto da
combustão de combustíveis fósseis e participa diretamente do
ciclo biogeoquímico do carbono. O gás analisado e a sua principal
consequência ambiental são, respectivamente:
Provas
Questão presente nas seguintes provas
Os óxidos inorgânicos podem ser classificados de acordo
com seu comportamento ácido-base. Os óxidos básicos,
por exemplo, reagem com ácidos formando sal e água e, em
meio aquoso, formam bases. O composto que apresenta
exclusivamente um óxido básico é:
Provas
Questão presente nas seguintes provas
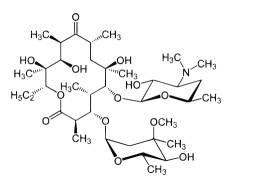
A eritromicina é um antibiótico macrolídeo amplamente
utilizado no tratamento de infecções bacterianas que tem sido
estudado em análises ambientais devido à sua presença como
contaminante emergente em corpos d’água. Considerando a
sua estrutura química, apresentada a seguir, a massa molar da
eritromicina é:
Dados: C = 12 g mol–1 ; H = 1 g mol–1 ; N = 14 g mol–1 ; O = 16 g mol–1 .

Dados: C = 12 g mol–1 ; H = 1 g mol–1 ; N = 14 g mol–1 ; O = 16 g mol–1 .

Provas
Questão presente nas seguintes provas
Com base em procedimentos técnicos padronizados
realizados em laboratórios químicos, pode-se afirmar que
Provas
Questão presente nas seguintes provas
Um técnico de laboratório determinou a dureza total de uma
amostra de água, expressa em termos de CaCO3. Para isso, 50,0
mL da amostra foram titulados com solução padrão de EDTA
0,0100 mol L
–1
, utilizando negro de eriocromo T como indicador, em
meio tamponado (pH ≈ 10). O ponto final da titulação foi atingido
após o consumo de 12,5 mL de EDTA. O resultado da dureza
total (em mg L
–1 de CaCO3) e o método clássico empregado pelo
técnico foram, respectivamente:
Dados: MM(CaCO3) = 100 g mol–1
Dados: MM(CaCO3) = 100 g mol–1
Provas
Questão presente nas seguintes provas
A decomposição térmica é um tipo de reação química
amplamente utilizada na indústria de materiais de construção,
como na produção da cal a partir de minerais carbonatados. Esse
tipo de reação pode ser identificado em:
Provas
Questão presente nas seguintes provas
O 2,4-D é um dos herbicidas seletivos mais antigos,
amplamente utilizado desde a década de 1940 no controle de ervas
daninhas de folhas largas, sendo frequentemente monitorado
em análises ambientais. Sua estrutura química (C8H6Cl2O3
) é
apresentada abaixo.
A nomenclatura oficial oficial do composto 2,4-D, segundo a IUPAC, é conhecida como:
A nomenclatura oficial oficial do composto 2,4-D, segundo a IUPAC, é conhecida como:
Provas
Questão presente nas seguintes provas
A água utilizada em um laboratório químico é classificada
conforme seu nível de qualidade e aplicação, sendo obtida por
diferentes processos de purificação, como filtração, osmose
reversa, destilação e deionização. Com base nos métodos de
purificação e o seu uso em laboratório, pode-se afirmar que a
água Tipo:
Provas
Questão presente nas seguintes provas
Em áreas urbanas e industriais, diversos poluentes orgânicos
persistentes (POP) são monitorados devido aos seus efeitos
adversos ao meio ambiente e à saúde humana. Dentre eles,
destacam-se os hidrocarbonetos policíclicos aromáticos (HPA),
formados exclusivamente por carbono e hidrogênio, contendo
dois ou mais anéis aromáticos condensados. Alguns deles, como
o fenantreno (C₁₄H₁ ₀), o pireno (C₁ ₆H₁ ₀) e o benzo[a]pireno (C₂ ₀H₁₂) são
encontrados nos solos e no material particulado atmosférico. A
respeito de suas propriedades, origem e comportamento
ambiental, pode-se afirmar que o(s):
Provas
Questão presente nas seguintes provas
A Tabela Periódica organiza os elementos químicos em função
de seus números atômicos e propriedades periódicas, permitindo
prever o comportamento dos átomos em reações químicas e
processos industriais. Considerando as propriedades periódicas
ao longo de um mesmo período, pode-se afirmar que:
Provas
Questão presente nas seguintes provas
Cadernos
Caderno Container