Magna Concursos

Foram encontradas 958 questões.

3699366 Ano: 2025
Disciplina: Modelagem de Processos de Negócio (BPM)
Banca: CESPE / CEBRASPE
Orgão: STM

Julgue o próximo item, acerca da abordagem por processos, das técnicas de análise e dos indicadores de processos.

Na construção de indicadores de processos, é adequado o estabelecimento de indicadores direcionadores, os quais monitoram as causas após o efeito e não permitem que se altere o resultado.

 

Provas

Questão presente nas seguintes provas
3699365 Ano: 2025
Disciplina: Modelagem de Processos de Negócio (BPM)
Banca: CESPE / CEBRASPE
Orgão: STM

Julgue o próximo item, acerca da abordagem por processos, das técnicas de análise e dos indicadores de processos.

As informações sobre a análise de processos devem representar o que se imagina do processo, contendo a visão crítica do analista em relação às ineficiências existentes.

 

Provas

Questão presente nas seguintes provas
3699363 Ano: 2025
Disciplina: Modelagem de Processos de Negócio (BPM)
Banca: CESPE / CEBRASPE
Orgão: STM

Julgue o próximo item, acerca da abordagem por processos, das técnicas de análise e dos indicadores de processos.

Os indicadores de desempenho de processos devem ser preestabelecidos de forma a fornecer uma estrutura que permita a identificação da situação em que se encontra o fluxo de processo ou de trabalho.

 

Provas

Questão presente nas seguintes provas
3697599 Ano: 2025
Disciplina: Modelagem de Processos de Negócio (BPM)
Banca: VUNESP
Orgão: Pref. Campinas-SP
Provas:
Durante o período de formação dos servidores públicos aprovados em determinada carreira, foram apresentados os fluxogramas funcionais para que cada um dos ingressantes passasse a familiarizar-se com um importante processo.

Na análise desses fluxogramas, o símbolo que diz respeito à tomada de decisão é representado pela seguinte notação:
 

Provas

Questão presente nas seguintes provas
3695200 Ano: 2025
Disciplina: Modelagem de Processos de Negócio (BPM)
Banca: UFRN
Orgão: UFRN
A gestão BPM (Business Process Management) segue um ciclo de vida estruturado, composto por etapas integradas e interdependentes. A maioria dos modelos de ciclo de vida pode ser descrita como um processo iterativo, dividido em cinco fases. Uma dessas fases é denominada Mudanças de Arquitetura, na qual há
 

Provas

Questão presente nas seguintes provas
3693918 Ano: 2025
Disciplina: Modelagem de Processos de Negócio (BPM)
Banca: FGV
Orgão: MPE-RJ
DMN é um padrão criado pela OMG para modelar e automatizar decisões de negócios. A modelagem de decisões é realizada por analistas de negócios e as decisões são tipicamente decisões operacionais tomadas em processos de negócios do dia a dia das organizações.
Com relação aos três usos do DMN, avalie as afirmativas a seguir.

I. Usado para promover a tomada de decisões baseadas em algoritmos baseados em aprendizado de máquina.
II. Usado para modelar os requisitos para a tomada de decisões automatizadas.
III. Usado para invalidar a tomada de decisões humanas sob condições de risco.


Está correto o que se afirma em
 

Provas

Questão presente nas seguintes provas
3693917 Ano: 2025
Disciplina: Modelagem de Processos de Negócio (BPM)
Banca: FGV
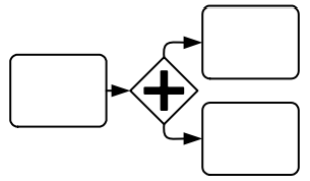
Orgão: MPE-RJ

Analise a figura a seguir

Enunciado 4391562-1

Considerando que a figura é um elemento do modelo BPMN estendido (versão 2.0), ela representa um

 

Provas

Questão presente nas seguintes provas
3692592 Ano: 2025
Disciplina: Modelagem de Processos de Negócio (BPM)
Banca: FCC
Orgão: TRT-15
Provas:
Durante a análise de um processo de atendimento ao cliente, a equipe de BPMN de um Tribunal Regional do Trabalho precisa modelar uma situação em que, ao concluir o atendimento, o cidadão pode optar por fomecer feedback positivo ou negativo que resulta em diferentes caminhos no processo, não havendo a possibilidade de o fluxo seguir por mais de um caminho. O elemento mais apropriado para modelar essa bifurcação é gateway
 

Provas

Questão presente nas seguintes provas
3692532 Ano: 2025
Disciplina: Modelagem de Processos de Negócio (BPM)
Banca: FCC
Orgão: TRT-15
Provas:
Um Tribunal Regional do Trabalho está desenvolvendo um novo sistema para gerenciar o processo de tramitação de ações trabalhistas para automatizar a distribuição de processos, agendar audiências, registrar decisões, gerar relatórios e fazer a integração com outros sistemas do judiciário. Durante a fase de modelagem dos processos de negócios, a equipe de TI cogitou utilizar a notação BPMN (Business Process Model and Notation) pensando em garantir uma visualização clara e eficiente dos fluxos de trabalho. Nessas circunstâncias, um dos Analistas apontou, sobre a utilização desse modelo, que ele
 

Provas

Questão presente nas seguintes provas
Tomando por base a identificação universal de tipos de processos de negócios, o tipo secundário é aquele que
 

Provas

Questão presente nas seguintes provas