Foram encontradas 32.247 questões.

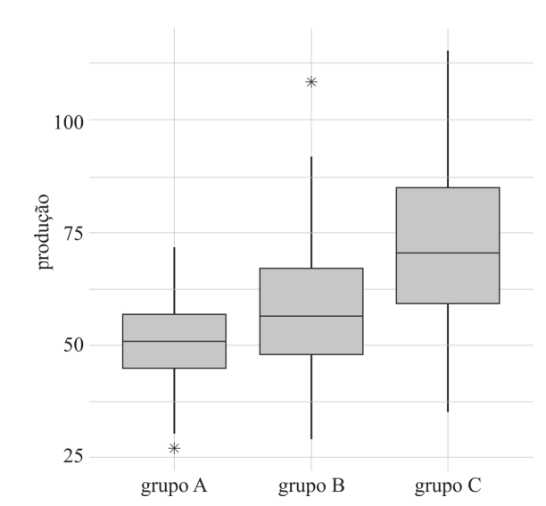
Tendo como referência a figura precedente, em que diagramas esquemáticos (box-plots) comparam as distribuições das produtividades de três grupos de funcionários de certa empresa, julgue os próximos itens.
O desvio padrão da produtividade do grupo A é inferior a 25.
Provas

Tendo como referência a figura precedente, em que diagramas esquemáticos (box-plots) comparam as distribuições das produtividades de três grupos de funcionários de certa empresa, julgue os próximos itens.
A partir da análise gráfica da figura em apreço, observa-se que a produtividade máxima no grupo B é inferior a 100.
Provas

Tendo como referência a figura precedente, em que diagramas esquemáticos (box-plots) comparam as distribuições das produtividades de três grupos de funcionários de certa empresa, julgue os próximos itens.
Em comparação ao grupo B, a distribuição da produtividade do grupo C apresenta a maior mediana, indicando que pelo menos 50% de seus valores estão acima da mediana da produtividade observada no grupo B.
Provas
Considerando que a durabilidade ( Y) de certo produto depende da temperatura ( T) e da umidade ( U) do local de armazenamento, um pesquisador obteve as estimativas de mínimos quadrados ordinários para os coeficientes de um modelo de regressão linear múltipla na forma
\(Y = \beta_0 + \beta_1T + \beta_2U + \epsilon,\)
no qual β0, β 1 , β 2 representam os coeficientes do modelo e ∈ denota o erro aleatório, que segue distribuição normal com média zero e desvio padrão σ . As tabelas a seguir mostram os resultados obtidos pelo pesquisador.
| coeficiente | estimativa | razão t | p-valor |
|---|---|---|---|
| β0 | 2,5 | 2 | 0,050 |
| β1 | -0,01 | -3 | 0,002 |
| β2 | -0,02 | -2,5 | 0,010 |
| fonte de variação |
soma de quadrados |
graus de liberdade |
|---|---|---|
| modelo | 5.000 | 2 |
| erro | 1.250 | 50 |
| total | 6.250 | 52 |
Com base nas informações apresentadas, julgue os itens a seguir.
A estimativa do coeficiente \( \beta_1 \) poderá ser considerada nulfor igual a 5%. a se o nível de significância do teste de hipóteses \( H_0:\beta_1=0 \) versus \( H_1:\beta_1 \) \( \ne0 \) for igual a 5%.
Provas
Considerando que a durabilidade ( Y) de certo produto depende da temperatura ( T) e da umidade ( U) do local de armazenamento, um pesquisador obteve as estimativas de mínimos quadrados ordinários para os coeficientes de um modelo de regressão linear múltipla na forma
\(Y = \beta_0 + \beta_1T + \beta_2U + \epsilon,\)
no qual β0, β 1 , β 2 representam os coeficientes do modelo e ∈ denota o erro aleatório, que segue distribuição normal com média zero e desvio padrão σ . As tabelas a seguir mostram os resultados obtidos pelo pesquisador.
| coeficiente | estimativa | razão t | p-valor |
|---|---|---|---|
| β0 | 2,5 | 2 | 0,050 |
| β1 | -0,01 | -3 | 0,002 |
| β2 | -0,02 | -2,5 | 0,010 |
| fonte de variação |
soma de quadrados |
graus de liberdade |
|---|---|---|
| modelo | 5.000 | 2 |
| erro | 1.250 | 50 |
| total | 6.250 | 52 |
Com base nas informações apresentadas, julgue os itens a seguir.
O erro padrão referente ao coeficiente \( \beta_2 \) foi igual a 0,008.
Provas
Considerando que a durabilidade ( Y) de certo produto depende da temperatura ( T) e da umidade ( U) do local de armazenamento, um pesquisador obteve as estimativas de mínimos quadrados ordinários para os coeficientes de um modelo de regressão linear múltipla na forma
\(Y = \beta_0 + \beta_1T + \beta_2U + \epsilon,\)
no qual β0, β 1 , β 2 representam os coeficientes do modelo e ∈ denota o erro aleatório, que segue distribuição normal com média zero e desvio padrão σ . As tabelas a seguir mostram os resultados obtidos pelo pesquisador.
| coeficiente | estimativa | razão t | p-valor |
|---|---|---|---|
| β0 | 2,5 | 2 | 0,050 |
| β1 | -0,01 | -3 | 0,002 |
| β2 | -0,02 | -2,5 | 0,010 |
| fonte de variação |
soma de quadrados |
graus de liberdade |
|---|---|---|
| modelo | 5.000 | 2 |
| erro | 1.250 | 50 |
| total | 6.250 | 52 |
Com base nas informações apresentadas, julgue os itens a seguir.
A estimativa do intercepto do modelo é superior a 2.
Provas
Considerando que a durabilidade ( Y) de certo produto depende da temperatura ( T) e da umidade ( U) do local de armazenamento, um pesquisador obteve as estimativas de mínimos quadrados ordinários para os coeficientes de um modelo de regressão linear múltipla na forma
\(Y = \beta_0 + \beta_1T + \beta_2U + \epsilon,\)
no qual β0, β 1 , β 2 representam os coeficientes do modelo e ∈ denota o erro aleatório, que segue distribuição normal com média zero e desvio padrão σ . As tabelas a seguir mostram os resultados obtidos pelo pesquisador.
| coeficiente | estimativa | razão t | p-valor |
|---|---|---|---|
| β0 | 2,5 | 2 | 0,050 |
| β1 | -0,01 | -3 | 0,002 |
| β2 | -0,02 | -2,5 | 0,010 |
| fonte de variação |
soma de quadrados |
graus de liberdade |
|---|---|---|
| modelo | 5.000 | 2 |
| erro | 1.250 | 50 |
| total | 6.250 | 52 |
Com base nas informações apresentadas, julgue os itens a seguir.
O desvio padrão amostral da variável \( Y \) é igual a 10.
Provas
Considerando que a durabilidade ( Y) de certo produto depende da temperatura ( T) e da umidade ( U) do local de armazenamento, um pesquisador obteve as estimativas de mínimos quadrados ordinários para os coeficientes de um modelo de regressão linear múltipla na forma
\(Y = \beta_0 + \beta_1T + \beta_2U + \epsilon,\)
no qual β0, β 1 , β 2 representam os coeficientes do modelo e ∈ denota o erro aleatório, que segue distribuição normal com média zero e desvio padrão σ . As tabelas a seguir mostram os resultados obtidos pelo pesquisador.
| coeficiente | estimativa | razão t | p-valor |
|---|---|---|---|
| β0 | 2,5 | 2 | 0,050 |
| β1 | -0,01 | -3 | 0,002 |
| β2 | -0,02 | -2,5 | 0,010 |
| fonte de variação |
soma de quadrados |
graus de liberdade |
|---|---|---|
| modelo | 5.000 | 2 |
| erro | 1.250 | 50 |
| total | 6.250 | 52 |
Com base nas informações apresentadas, julgue os itens a seguir.
O coeficiente de explicação do modelo é igual a 0,80.
Provas
Em relação à probabilidade condicional, marque a alternativa correta:
Provas
Considerando o Teorema Central do Limite (TCL), é correto afirmar que:
Provas
Caderno Container