Magna Concursos

Foram encontradas 13.249 questões.

4024631 Ano: 2026
Disciplina: Engenharia Química
Banca: FGV
Orgão: AMAZUL
Provas:
A tabela abaixo mostra os oito primeiros potenciais de ionização de dois elementos do 3º período da tabela periódica, X e Y.

Enunciado 4507822-1

A fórmula resultante da combinação dos elementos e sua identificação é
 

Provas

Questão presente nas seguintes provas
4024630 Ano: 2026
Disciplina: Engenharia Química
Banca: FGV
Orgão: AMAZUL
Provas:
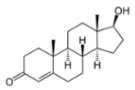
O colesterol é precursor bioquímico de alguns hormônios como a testosterona, a progesterona, o cortisol e o estradiol. Desses, o estradiol é o responsável pelo desenvolvimento sexual e preparo do útero para gravidez e é o único dos compostos mencionados que apresenta o grupamento fenólico.
Sendo assim, a estrutura do estradiol está representada pela opção:
 

Provas

Questão presente nas seguintes provas
4024629 Ano: 2026
Disciplina: Engenharia Química
Banca: FGV
Orgão: AMAZUL
Provas:
O pimentão vermelho deve a sua coloração principalmente à presença de carotenos (como o licopeno) carotenóides oxigenados (como a alfa-criptoxantina) e polioxigenados (capsantina) cujas estruturas estão representadas a seguir.

Enunciado 4507820-1

Um estudante fez uma cromatografia em papel com uma gota de extrato de pimentão vermelho onde esses três componentes estavam presentes. Considerando a estrutura da celulose (fase estacionária indicada na figura abaixo), e um eluente predominantemente apolar, observa-se que: 

Enunciado 4507820-2
 

Provas

Questão presente nas seguintes provas
4024628 Ano: 2026
Disciplina: Engenharia Química
Banca: FGV
Orgão: AMAZUL
Provas:
Com base na Norma CNEM NN 3.0 (de março de 2014), no que tange a regulamentação da água potável, a estimativa da dose efetiva ingerida é realizada através de uma equação com os seguintes parâmetros:
Ding- dose efetiva anual devido à ingestão de água (Sv . ano-1 )
TIágua - taxa de ingestão anual de água por indivíduo do público (L . ano-1 )
Cj água - concentração de atividade de radionuclídeo j na água potável (Bq . L-1 )
FCDj ing - fator de conversão de dose para ingestão de radionuclídeo j (Sv/Bq)

A equação que relaciona de forma correta esses parâmetros de acordo com a norma é
 

Provas

Questão presente nas seguintes provas
4024624 Ano: 2026
Disciplina: Engenharia Química
Banca: FGV
Orgão: AMAZUL
Provas:
Sobre análise de efluentes, assinale a opção que relaciona corretamente parâmetros e propósito técnico.
 

Provas

Questão presente nas seguintes provas
4024623 Ano: 2026
Disciplina: Engenharia Química
Banca: FGV
Orgão: AMAZUL
Provas:
Em espectrômetros de absorção atômica, a lâmpada de cátodo oco emite radiação
 

Provas

Questão presente nas seguintes provas
4024622 Ano: 2026
Disciplina: Engenharia Química
Banca: FGV
Orgão: AMAZUL
Provas:
A ideia de átomo ganhou força empírica a partir do século XIX. Relacione a fundamentação que deu suporte ao modelo atômico com os detalhes da estrutura atômica proposta.

( ) Raios catódicos interpretados como um feixe de partículas carregadas negativamente.
( ) Radioatividade embasando experimentos de bombardeamento de materiais com partículas alfa.
( ) Espectroscópio como principal ferramenta de análise da luz emitida na queima de amostras.
( ) Tratamento matemático sofisticado que considera o elétron como uma função de onda (Ψ)

1. Ideia de orbital, espaço de probabilidade máxima de encontrar o elétron.
2. O átomo como fluido homogêneo, esférico e de carga positiva, no qual estão dispersos uniformemente partículas menores negativas.
3. O átomo é constituído por um núcleo central positivo, muito pequeno em relação ao tamanho do átomo.
4. Os elétrons movimentam-se em torno do núcleo central positivo em órbitas específicas com níveis energéticos bem definidos.

Assinale a opção que apresenta a associação correta entre a fundamentação e os detalhes do modelo correspondente.
 

Provas

Questão presente nas seguintes provas
4024439 Ano: 2026
Disciplina: Engenharia Química
Banca: FGV
Orgão: AMAZUL
Provas:
O polipropileno (PP) é amplamente reciclado, porém suas propriedades mecânicas podem se degradar após múltiplos ciclos de reprocessamento.
Assinale a opção que apresenta o fenômeno que explica mais adequadamente essa redução de desempenho.
 

Provas

Questão presente nas seguintes provas
4024438 Ano: 2026
Disciplina: Engenharia Química
Banca: FGV
Orgão: AMAZUL
Provas:
Durante a síntese de materiais poliméricos via polimerização por adição, certas condições de processamento influenciam diretamente as propriedades finais do produto fabricado.
Assinale a opção que descreve corretamente um aspecto típico desse processo.
 

Provas

Questão presente nas seguintes provas
4024436 Ano: 2026
Disciplina: Engenharia Química
Banca: FGV
Orgão: AMAZUL
Provas:
No processamento de materiais cerâmicos por moldagem via barbotina (slip casting), a formação da peça depende da interação entre a suspensão cerâmica e o molde. Considerando esse processo, assinale a opção correta.
 

Provas

Questão presente nas seguintes provas