Foram encontradas 4.580 questões.
Em um dado sistema industrial de manufatura, o tempo médio entre falhas (MTBF) de um processo crítico é de 07 meses. Ao determinar a confiabilidade do sistema após 02 anos de uso, encontra-se:
Provas
O diagrama dado a seguir codifica uma sequência tecnológica de um produto a ser fabricado em uma linha de montagem.

Marque a opção em que a sequência de produção está incorreta (infactível).
Provas
Duas equipes de manutenção de uma planta fabril devem realizar a parada de 05 centros de usinagem/células de manufatura de maneira a garantir produtividade máxima para cada hora trabalhada. Cada máquina deve ser atendida por cada uma das duas equipes de manutenção, dado que as especialidades das equipes são diferentes. Os tempos de parada esperados são dados na tabela a seguir em horas.
| Máquina | Equipe 1 | Equipe 2 |
| M1 | 9 | 7 |
| M2 | 5 | 4 |
| M3 | 10 | 9 |
| M4 | 1 | 5 |
| M5 | 3 | 2 |
Considerando a tabela acima, determine a solução de eficiência máxima e marque qual é a produtividade máxima alcançável.
Provas
Uma célula do sistema Kanban de manufatura enxuta para o enésimo processo/estágio de produção é vista na figura abaixo. Suponha um horizonte de planejamento discretizado em períodos T, isto é t = {1,2,3...T}, e um sistema composto de N estágios, isto é n = {1,2,3...N}, e que os cartões destacados do estoque em processo em t só se tornam ordens de produção em (t+1).

Em que:
Há um modo de operação do sistema Kanban denominado de conteiner-para-conteiner, em que cada conteiner de estoque em processo em In é suficiente para produzir exatamente um conteiner no pulmão do processo sucessor do estágio n, Is(n), garantindo assim, a inexistência de recortes de estoque-em-processo. Esse modus operandi também reduz o problema de gestão do sistema como um todo a especificar o tamanho inicial de Un0 e Vn0 de maneira a cobrir a maior diferença de velocidade entre processos subsequentes durante o horizonte de planejamento, garantindo assim, o seu equilíbrio. Sobre esse modo de operação pode-se afirmar que:
Provas
Seja a programação de produção dada a seguir num sistema de produção do tipo Flow Shop com duas máquinas, M1 e M2:

Determine o sequenciamento ótimo usando o Algoritmo de Johnson. A seguir, calcule o tempo total para completar a sequência de tarefas (Makespan) e marque a opção correta.
Provas
Seja a programação de produção dada a seguir num sistema de produção do tipo Flow Shop com duas máquinas, M1 e M2:

Qual é sequência ótima para esse conjunto de tarefas usando o Algoritmo de Johnson?
Provas
Seja a tabela final SIMPLEX dada abaixo.

Outra forma para os planos de corte fracionários de Gomory faz uso da função piso, que arredonda valores fracionários para o inteiro imediatamente inferior:

Aqui xn faz referência aos índices das variáveis não básicas da tabela. Ao aplicar a equação para a segunda linha da tabela, em que x6 é a variável básica, o plano de corte gerado seria:
Provas
Seja o programa inteiro dado a seguir e sua árvore Branch and Bound:

Considerando que ramos da árvore Branch and Bound podem ser podados por integralidade, inviabilidade ou qualidade, quantos dos três (03) nodos-folha (terminais) da árvore acima podem ser podados?
Provas
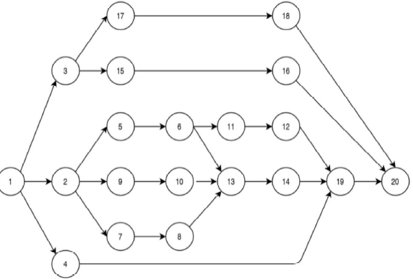
Seja o problema de gestão de projetos (PERT/CPM) dado a seguir:
Activity-on-Arc PERT/CPM Network

Ao estimar o número de planos-de-corte necessários para determinar o caminho crítico integral para realização do projeto completo, encontra-se:
Provas
Observe a forma geral dos Planos de Corte Fracionários de Gomory em que fkj e fk0 correspondem às partes fracionárias (não-integrais) positivas dos coeficientes das variáveis não-básicas e dos termos independentes da tabela final SIMPLEX.
\( \sum_{j ∈ I _N} f_{kj}x_j \) > \( f_{k0}. \)
Considere a tabela final SIMPLEX dada a seguir e observe que os termos independentes são arrolados na coluna x 0, quantos planos de corte no formato dado acima estariam violados?

Provas
Caderno Container