Foram encontradas 4.580 questões.
Em uma planta operando sob Lean Manufacturing, tem-se as seguintes informações operacionais:
Demanda média de 8.000 itens/mês ao longo do horizonte de planejamento, custos de estocagem dos itens de R$0,30 por unidade e custo de preparação de produção de R$12.000,00.
Ao determinar o tamanho do lote econômico de produção e tempo de ciclo entre pedidos, encontram-se, respectivamente:
Provas
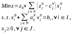
Em um problema de programação linear inteira-mista, a partir da tabela final SIMPLEX, cuja forma algébrica geral é dada a seguir, é possível propor tanto desigualdades válidas quanto restrições de ramificação (Branching), quando se busca computar soluções integrais para o problema via algoritmo Branch And Bound. Uma vez inseridas tais restrições qual seria, respectivamente, o estado do programa linear inteiro-misto no que tange à viabilidade primal, acerca da viabilidade dual e à otimalidade? Qual algoritmo, entre o Primal e o Dual SIMPLEX, seria mais indicado para continuar o processo de otimização?

Provas
Um sistema industrial cujo funcionamento é estocástico e que pode ser modelado através de uma Cadeia-de-Markov ergódica e irredutível (regular) conta com a seguinte matriz de probabilidades de transição P entre os três estados possíveis que descrevem seu comportamento:
\( T = \begin{bmatrix} 0.6 & 0.2 & 0.4 \\ 0.3 & 0.7 & 0.3 \\ 0.1 & 0.1 & 0.3 \end{bmatrix} \)
Determine o vetor de probabilidades de estado estacionário para esses sistemas e marque a opção correta.
Provas
Um sistema industrial cuja disponibilidade é estocástica e que pode ser modelado através de uma Cadeia-de-Markov ergódica e irredutível (regular) conta com a seguinte matriz de probabilidades de transição P entre os dois estados possíveis para sua disponibilidade:
\( \begin{bmatrix} 0.85 \ \ 0.15 \\ 0.60 \ \ 0.40 \end{bmatrix} \)
Determine o vetor de probabilidades de estado estacionário para esse sistema e marque a opção correta.
Provas
O desempenho máximo de um dado helicóptero de ataque é função da alocação conjunta de 03 recursos compartilhados, modelados via variáveis de decisão, x1, x2, x3. A função escalar que mede esse índice é dada por z = 2x1 + 1,5x2 + 1,2x3 - x12 - x22 - x32, com o vínculo de que é preciso controlar essas variáveis de maneira a garantir a alocação total dos recursos disponíveis, isto é, x1 + x2 + x3 = 1 (100%). É necessário ainda garantir que nenhuma das alocações dos recursos assuma valor negativo ou seja superior a 100%, logo:
0 < x1 < 1,0 < x2 < 1 e 0 < x3 < 1.
Use as Condições de Karush-Kuhn-Tucker(KKT) para determinar a alocação de desempenho máximo e o valor de zmax, e, em seguida, marque a opção correta.
Provas
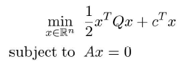
Seja o problema geral de programação quadrática sujeito a restrições de igualdade e escrito em forma matricial, com as matrizes Q e A e o vetor c como parâmetros, isto é

As condições de otimalidade de primeira ordem (KKT) para o problema acima, resulta em:
Provas
O desempenho máximo de uma dada aeronave de combate é função da alocação de 04 recursos compartilhados, modelados via variáveis de decisão, x1, x2, x3 e x4. A função escalar que mede esse índice é dada por z = x1 + x2 + x3 + x4 - x12 - x22 - x32 - x42, com o vínculo de que é preciso controlar essas variáveis de maneira a garantir a alocação máxima dos recursos disponíveis (100%), isto é, x1 + x2 + x3 + x4 = 1.
Use as Condições de Karush-Kuhn-Tucker(KKT) para determinar a alocação de desempenho máximo e o valor de zmax e, em seguida, marque a opção correta.
Provas
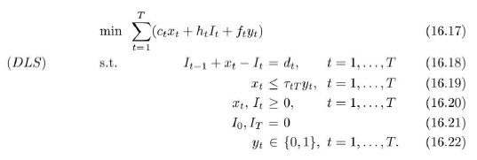
Seja o Problema de Lot Sizing Dinamico (DLS), em que xt decide o tamanho do lote produzido no período de planejamento t, It responde o nível de estoque do produto acabado no período de planejamento t e yt decide se a produção ocorre ou não no período t. Além disso, os parâmetros do problema são: dt informa a demanda de produto para o período t, incidindo ainda os custos unitários de produção ct, os custos de estocagem ht e os custos de preparação ft, com quota acumulada de pordução TtT do período t até o final do horizonte de planejamento T.
Escrevendo o problema como um programa matemático, observa-se:

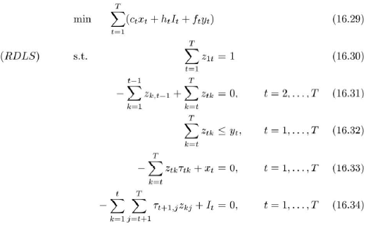
Existe ainda uma reformulação de (16.17)-(16.22), denominada (RDLS) na forma:

Marque a opção que determina e justifica corretamente qual das formulações matemáticas deve-se utilizar para resolver o problema supracitado através de um resolvedor de programas lineares inteiro-mistos de propósito geral.
Provas
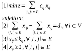
Seja o Problema de Fluxo a Custo Mínimo (PFCM), em que xij decide o fluxo no arco (i, j) da rede subjacente, descrita por um grafo G= (V,E). Neste problema, cij é o custo de transporte por unidade de fluxo no arco (i, j) e kij é a capacidade máxima de transporte do arco (i, j). Escrevendo o PFCM a seguir como um modelo de programação matemática, tem-se:

Denominando os preços duais das restrições (2) de ui para cada vértice i do grafo, e os preços duais das restrições (3) de vij para cada arco (i, j), pode-se afirmar que a forma geral das inequações duais associadas a esse problema, seria dada por:
Provas
Em uma linha de fabricação seriada formada por 5 estações de trabalho, as taxas de falha individuais desses equipamentos são dadas na tabela abaixo:
| Estação | W1 | W2 | W3 | W4 | W5 |
|---|---|---|---|---|---|
| Taxa de Falha | 0.17 | 0.25 | 0.14 | 0.11 | 0.08 |
Ao determinar a confiabilidade desse sistema de produção após 6 meses, encontra-se:
Provas
Caderno Container