Foram encontradas 773 questões.
Seja uma rede de Petri com os seguintes elementos:
• Conjunto de lugares: P = {p1,p2,p3,p4}
• Conjunto de transições: T = {a,b,c,d}
• Pré condições das transições:

Considere que a rede está com uma marcação inicial p1 = 2, p2 = 0, p3 = 0 e p4 = 0, e disparam-se as transições a, b, c e d, em sequência e nesta ordem.
A marcação final da rede será
Provas
A constante de mola, em newtons por centímetros, e a tensão de alimentação do potenciômetro, em volts, devem ser, respectivamente,
Provas
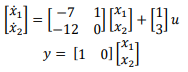
Considere o seguinte sistema SISO representado na forma de espaço de estados:

A representação deste mesmo sistema em função de transferência é
Provas
Um sistema com equação de estados:

Os valores dos ganhos k1 e k2 para que o sistema em malha fechada tenha polos duplos em −2 são, respectivamente
Provas
O valor do ganho integral ki para que o erro em estado estacionário para uma entrada rampa unitária aplicada ao sistema em malha fechada correspondente seja de 0,1 unidades, é
Provas
O valor máximo da fase da resposta em frequência deste compensador encontra-se na frequência correspondente ao(à)
Provas
O ponto de encontro das assíntotas do lugar das raízes encontra-se em
Provas
O valor do ganho kp para o qual a resposta livre do correspondente sistema em malha fechada apresente um comportamento oscilatório de amplitude constante é
Provas
O valor do coeficiente correspondente ao polo de maior valor absoluto é
Provas
G(z) = z - 0,5 / z - 0,9
O erro em regime permanente desse sistema a uma entrada degrau é, aproximadamente
Provas
Caderno Container