Magna Concursos

Foram encontradas 49 questões.

1693735 Ano: 2014
Disciplina: Saúde Pública
Banca: VUNESP
Orgão: UNIFESP
Provas:
De acordo com a Portaria CVS-5, de 09.04.2013, não devem manipular alimentos os funcionários que apresentam patologias ou lesões de pele, mucosas e unhas, feridas ou cortes nas mãos e braços. Em relação à higiene e à segurança dos funcionários, recomenda-se:
 

Provas

Questão presente nas seguintes provas
1693734 Ano: 2014
Disciplina: Nutrição
Banca: VUNESP
Orgão: UNIFESP
Provas:

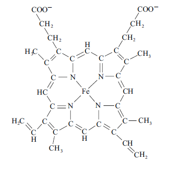
A estrutura a seguir representa um pigmento da classe das porfirinas. Esse pigmento é encontrado em alimentos, porém, na classe das porfirinas, há outro pigmento que pode ser encontrado no organismo humano. O pigmento a seguir representa:

enunciado 1693734-1

 

Provas

Questão presente nas seguintes provas
1693733 Ano: 2014
Disciplina: Legislação Estadual e Distrital
Banca: VUNESP
Orgão: UNIFESP
Provas:
As temperaturas de armazenamento de produtos sob refrigeração devem obedecer às recomendações dos fabricantes indicadas nos rótulos. Na ausência de tais informações, devem ser usadas as recomendações a seguir, da Portaria CVS-5, de 09.04.2013:
 

Provas

Questão presente nas seguintes provas
1693732 Ano: 2014
Disciplina: Nutrição
Banca: VUNESP
Orgão: UNIFESP
Provas:
Açúcares e edulcorantes apresentam diversidade no grau de doçura e conferem características distintas às preparações, dependendo de sua composição química e estrutural. Em função desses fatores, a substituição de um tipo de açúcar por outro nem sempre resulta em características desejáveis em um produto final. Um exemplo de substituição bem- -sucedida é:
 

Provas

Questão presente nas seguintes provas
1693731 Ano: 2014
Disciplina: Nutrição
Banca: VUNESP
Orgão: UNIFESP
Provas:
As técnicas utilizadas para o preparo de alimentos de origem vegetal têm, entre outras finalidades, a de preservar a cor natural desses alimentos a fim de garantir o colorido do cardápio. Dessa forma, para manter a cor natural do pigmento clorofila, os vegetais devem ser aquecidos
 

Provas

Questão presente nas seguintes provas
1693730 Ano: 2014
Disciplina: Nutrição
Banca: VUNESP
Orgão: UNIFESP
Provas:
A última POF – Pesquisa de Orçamento Familiar (2008-2009) mostra o declínio do déficit de peso entre crianças, adolescentes e adultos, de ambos os sexos. A análise dos dados mostra, entretanto, que alguns fatores estão relacionados a estes resultados, de tal forma que
 

Provas

Questão presente nas seguintes provas
1693729 Ano: 2014
Disciplina: Nutrição
Banca: VUNESP
Orgão: UNIFESP
Provas:
Em uma comunidade do interior da região nordeste, observaram- se inúmeros casos de indivíduos alcoólatras que apresentavam alterações do sistema nervoso, com comprometimento motor e confusão mental. A investigação epidemiológica desses casos constatou que estes indivíduos sofriam de deficiência crônica de
 

Provas

Questão presente nas seguintes provas
1693728 Ano: 2014
Disciplina: Nutrição
Banca: VUNESP
Orgão: UNIFESP
Provas:
Jovem de 17 anos, sexo feminino, apresenta obesidade grau II e recebeu indicação para realizar o tratamento cirúrgico da obesidade. A família é atendida pelo PSF (Programa de Saúde da Família) e somente poderia realizar tal tratamento pelo SUS. Dessa forma, a equipe de saúde consultou a legislação do SUS, na qual consta que
 

Provas

Questão presente nas seguintes provas
1693727 Ano: 2014
Disciplina: Nutrição
Banca: VUNESP
Orgão: UNIFESP
Provas:
Pacientes adultos com câncer de cabeça e pescoço em geral recebem indicação de suporte nutricional a fim de manter um adequado estado nutricional. São critérios para introdução de dieta enteral nesses casos:
 

Provas

Questão presente nas seguintes provas
1693726 Ano: 2014
Disciplina: Nutrição
Banca: VUNESP
Orgão: UNIFESP
Provas:

Um estudo de caso de um paciente do sexo masculino apresentou os seguintes dados:

Índice de Massa Corporal (IMC) = 23,7 kg/m2; Circunferência abdominal (CA) = 89 cm; Circunferência do braço (CB) = 31 cm (entre percentil 25 e 50); Dobra cutânea tricipital (DCT) = 21 mm (entre percentil 85 e 90); Índíce de gordura do braço (IGB) = 38,0% (acima percentil 90).

O diagnóstico nutricional desse paciente é:

 

Provas

Questão presente nas seguintes provas