Foram encontradas 130 questões.
EL 'CORTA Y PEGA' GENÉTICO QUE NO
ALTERA EL ADN
Laura Tardón
La técnica CRISPR, más conocida como el 'corta y pega' genético, es uno de los grandes triunfos de la investigación básica y también un enorme reto. En ella se centran las esperanzas de tratamiento para enfermedades como la distrofia de Duchenne, distintos tipos de cáncer, Parkinson o sida. Sin embargo, esta modificación del genoma plantea dilemas éticos sobre sus límites. Ahora, una investigación que acaba de publicar la revista Science propone un nuevo tipo de edición centrada en el ARN, sin alterar el ADN.
Este sistema de trabajo lo propone precisamente Feng Zhang, uno de los pioneros y dueño de la patente de la tecnología CRISPR, capaz de actuar como si de un bisturí se tratara, cortando el segmento dañado del ADN responsable del incorrecto funcionamiento del gen causante de una enfermedad. A través de esta herramienta, se busca el error del genoma y se corrige.
En este proceso de edición de mutaciones aún no existe la precisión y el grado de seguridad necesarios como para garantizar que no se generarán daños involuntarios que generen otras mutaciones peligrosas. De ahí, la relevancia del método que sugiere el equipo de Zhang, de la Universidad de Harvard y del Instituto Tecnológico de Massachusetts (MIT). Con esta nueva versión del CRISPR, en el que se usa un editor denominado Repair, en lugar de modificar ADN, los cambios se hacen en el ácido ribonucleico (ARN), que es el encargado de producir proteínas a partir del código genético procedente del ADN. Al modificar a este mensajero (entre el genoma y las proteínas), se le otorga la capacidad de sintetizar proteínas con el funcionamiento correcto a pesar de la información genética de origen. Y la gran ventaja es que se logra sin tocar el ADN. Tal y como describen los firmantes del artículo, la nueva herramienta trabaja con una proteína desconocida (Cas13B), que es la que va cortando e inactivando zonas muy concretas y específicas del ARN.
Adaptado de: http://www.elmundo.es/ciencia-y-salud/salud/ 2017/10/26/59f1cd7dca47411e498b45ea.html - Acesso em 26 out. 2017.
Em “[...] Sin embargo, esta modificación del genoma plantea dilemas éticos sobre sus límites […]”, o termo destacado estabelece relação semântica de
Provas
There are foods with health halos. And then there are probiotics, which have practically been canonized. The word itself means—no big whoop—"to give life." Probiotics are now a nearly $37 billion industry in the U.S. Sales of probiotic-rich yogurt and kefir surged nearly 30 percent in the past three years. And just slapping "contains probiotics" on a product helps it sell better, says San Diego attorney Tim Blood, who specializes in consumer protection in advertising. Not too shabby for bacteria, right?
Indeed, their initial claim to fame was hardly sexy: soothing digestive disorders such as diarrhea, constipation, and acid reflux, which plague 70 million people (mostly women). But that take on pro-b's now feels as dated as a Jamie Lee Curtis Activia ad.
Disponível em: <http://www.womenshealthmag.com/health/ know-before-taking-probiotics>. Acesso em: 30 nov. 2017.
O texto trata de alimentos conhecidos como probióticos. Percebe-se certa ironia em relação à grande importância conferida a tais alimentos. Assinale a alternativa que apresenta o excerto retirado do texto que confirma o ponto de vista sugerido a respeito da ironia.
Provas
Os termos da sequência (-1, 4, 1, 7, 3, 10, 5, 13, ...) obedecem a uma lei de formação. Sabendo-se que essa sequência tem 1 000 termos, a soma de seus dois últimos termos é
Provas
Nas populações humanas, assim como nas populações da maioria das outras espécies, os indivíduos apresentam diferentes combinações de alelos. Apesar de 99,9% das sequências de bases de DNA serem idênticas em todas as pessoas, o 0,1% que varia responde por nossas diferenças individuais. A base da teoria moderna da evolução diz respeito a três fatores evolutivos principais. Os dois fatores que são diretamente responsáveis pela variabilidade genética são:
Provas
O gráfico a seguir representa tanto a variação de temperatura sofrida por uma certa quantidade de água quanto a variação de temperatura sofrida por uma certa quantidade de gelo ao serem misturados dentro de um calorímetro ideal, até atingirem o equilíbrio térmico. Sabendo que o calor específico da água é 1,0 cal/g.ºC, que o calor específico do gelo é 0,5 cal/g.oC e que o calor latente de fusão do gelo é 80 cal/g, é correto afirmar que a massa de gelo remanescente foi de

Provas
Um anagrama é a transposição ou o rearranjo de letras de uma palavra ou frase, com o intuito de formar outras palavras ou frases com ou sem sentido. Um aluno ficou interessado em descobrir quantos são os anagramas da palavra UNCISAL que começam com vogal ou terminam com consoante. Fazendo os cálculos corretos, esse aluno obterá como resultado o número
Provas
Um estudo realizado sobre a relação mutualística entre a planta Hirtella myrmecophila e a formiga Allomerus octoarticulatus mostrou que a associação não é 100% benéfica para ambas o tempo todo. Apesar de proteger as plantas contra ataques de outros insetos herbívoros, em ramos colonizados pela formiga, que se alimenta de domácias das folhas, normalmente não há desenvolvimento de flores e frutos, porque a formiga corta os ramos florais assim que eles começam a crescer. Observa-se que, em alguns ramos, não há formação de domácias e, sem a presença da formiga, a planta consegue se reproduzir.
Adaptado de: <https://doi.org/10.1007/s00442-002-1027-0>. Acesso em: 22 out. 2017.
Apesar da relação mencionada no excerto apresentado não ser benéfica o tempo todo e em toda a planta, ainda pode ser considerada mutualismo, porque
Provas
EL 'CORTA Y PEGA' GENÉTICO QUE NO
ALTERA EL ADN
Laura Tardón
La técnica CRISPR, más conocida como el 'corta y pega' genético, es uno de los grandes triunfos de la investigación básica y también un enorme reto. En ella se centran las esperanzas de tratamiento para enfermedades como la distrofia de Duchenne, distintos tipos de cáncer, Parkinson o sida. Sin embargo, esta modificación del genoma plantea dilemas éticos sobre sus límites. Ahora, una investigación que acaba de publicar la revista Science propone un nuevo tipo de edición centrada en el ARN, sin alterar el ADN.
Este sistema de trabajo lo propone precisamente Feng Zhang, uno de los pioneros y dueño de la patente de la tecnología CRISPR, capaz de actuar como si de un bisturí se tratara, cortando el segmento dañado del ADN responsable del incorrecto funcionamiento del gen causante de una enfermedad. A través de esta herramienta, se busca el error del genoma y se corrige.
En este proceso de edición de mutaciones aún no existe la precisión y el grado de seguridad necesarios como para garantizar que no se generarán daños involuntarios que generen otras mutaciones peligrosas. De ahí, la relevancia del método que sugiere el equipo de Zhang, de la Universidad de Harvard y del Instituto Tecnológico de Massachusetts (MIT). Con esta nueva versión del CRISPR, en el que se usa un editor denominado Repair, en lugar de modificar ADN, los cambios se hacen en el ácido ribonucleico (ARN), que es el encargado de producir proteínas a partir del código genético procedente del ADN. Al modificar a este mensajero (entre el genoma y las proteínas), se le otorga la capacidad de sintetizar proteínas con el funcionamiento correcto a pesar de la información genética de origen. Y la gran ventaja es que se logra sin tocar el ADN. Tal y como describen los firmantes del artículo, la nueva herramienta trabaja con una proteína desconocida (Cas13B), que es la que va cortando e inactivando zonas muy concretas y específicas del ARN.
Adaptado de: http://www.elmundo.es/ciencia-y-salud/salud/ 2017/10/26/59f1cd7dca47411e498b45ea.html - Acesso em 26 out. 2017.
Segundo o texto, a revista Science publicou uma nova descoberta no tratamento de algumas doenças. Essa novidade trata especificamente de
Provas
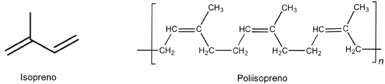
O isopreno é um monômero que constitui o polímero da borracha natural, poliisopreno. A borracha natural é obtida por coagulação do látex principalmente de árvores do gênero Hevea brasiliensis (seringueira). De acordo com as estruturas do isopreno e do poliisopreno, que estão representadas a seguir, assinale a alternativa correta.

Provas
Ao longo de uma semana, uma loja registrou que !$ \dfrac{4}{7} !$ dos fregueses que lá compareceram eram do sexo feminino e, destes, !$ \dfrac{2}{5} !$ efetivaram a compra de algum produto. Nessas condições, o total de fregueses que compareceram nessa loja naquela semana NÃO poderia ter sido igual a
Provas
Caderno Container