Foram encontradas 357 questões.

Antes do primeiro voo de Santos Dumont, realizado em um avião no início do século XX, relatos referem que o padre jesuíta brasileiro Bartolomeu de Gusmão, também conhecido como padre voador, realizou, em um balão, um voo de 1 km. Para voar em um balão, é necessário preenchê-lo com um gás que apresente densidade menor que a do ar atmosférico, tal como o hélio ou o próprio ar aquecido. Nesse caso, o balão deve possuir queimadores equipados com cilindros de combustível, usualmente propano (C3H8). Quando o peso do balão for menor que o empuxo provocado pelo ar deslocado, o balão sobe. Como a pressão atmosférica diminui com o aumento da altitude, o empuxo sobre o balão torna-se menor, em uma altura na qual o balão atinge um equilíbrio e pode deslocar-se horizontalmente. Para temperatura constante, a pressão atmosférica p em função da altura h, a partir da superfície terrestre, é descrita pela equação \( p=p(h) = p_0 e^{-(\dfrac{Mgh}{RT})} \), em que p0 é a pressão atmosférica na superfície da terra, M, a massa molar média do ar (0,0289 kg/mol), g, a aceleração da gravidade (10 m/s2), R, a constante universal dos gases (8,3 J· mol-1 · K-1 ou 8,3 kPa · L · mol-1 · K-1) e T, a temperatura absoluta.
Com base nessas informações e considerando ideais todos os gases envolvidos no funcionamento de um balão, julgue o item a seguir.
Se o gráfico a seguir representa a função p = p(h) apresentada, então \( H = \dfrac{(h_2 - h_1) ln 2}{ln(\dfrac{p_1}{p_2})} \)

Provas

Antes do primeiro voo de Santos Dumont, realizado em um avião no início do século XX, relatos referem que o padre jesuíta brasileiro Bartolomeu de Gusmão, também conhecido como padre voador, realizou, em um balão, um voo de 1 km. Para voar em um balão, é necessário preenchê-lo com um gás que apresente densidade menor que a do ar atmosférico, tal como o hélio ou o próprio ar aquecido. Nesse caso, o balão deve possuir queimadores equipados com cilindros de combustível, usualmente propano (C3H8). Quando o peso do balão for menor que o empuxo provocado pelo ar deslocado, o balão sobe. Como a pressão atmosférica diminui com o aumento da altitude, o empuxo sobre o balão torna-se menor, em uma altura na qual o balão atinge um equilíbrio e pode deslocar-se horizontalmente. Para temperatura constante, a pressão atmosférica p em função da altura h, a partir da superfície terrestre, é descrita pela equação \( p=p(h) = p_0 e^{-(\dfrac{Mgh}{RT})} \), em que p0 é a pressão atmosférica na superfície da terra, M, a massa molar média do ar (0,0289 kg/mol), g, a aceleração da gravidade (10 m/s2), R, a constante universal dos gases (8,3 J· mol-1 · K-1 ou 8,3 kPa · L · mol-1 · K-1) e T, a temperatura absoluta.
Com base nessas informações e considerando ideais todos os gases envolvidos no funcionamento de um balão, julgue o item a seguir.
Se um balão tivesse a forma de um cubo de volume igual a 5.000 m3, então suas diagonais teriam comprimento inferior a 30 m.
Provas

Antes do primeiro voo de Santos Dumont, realizado em um avião no início do século XX, relatos referem que o padre jesuíta brasileiro Bartolomeu de Gusmão, também conhecido como padre voador, realizou, em um balão, um voo de 1 km. Para voar em um balão, é necessário preenchê-lo com um gás que apresente densidade menor que a do ar atmosférico, tal como o hélio ou o próprio ar aquecido. Nesse caso, o balão deve possuir queimadores equipados com cilindros de combustível, usualmente propano (C3H8). Quando o peso do balão for menor que o empuxo provocado pelo ar deslocado, o balão sobe. Como a pressão atmosférica diminui com o aumento da altitude, o empuxo sobre o balão torna-se menor, em uma altura na qual o balão atinge um equilíbrio e pode deslocar-se horizontalmente. Para temperatura constante, a pressão atmosférica p em função da altura h, a partir da superfície terrestre, é descrita pela equação \( p=p(h) = p_0 e^{-(\dfrac{Mgh}{RT})} \), em que p0 é a pressão atmosférica na superfície da terra, M, a massa molar média do ar (0,0289 kg/mol), g, a aceleração da gravidade (10 m/s2), R, a constante universal dos gases (8,3 J· mol-1 · K-1 ou 8,3 kPa · L · mol-1 · K-1) e T, a temperatura absoluta.
Com base nessas informações e considerando ideais todos os gases envolvidos no funcionamento de um balão, julgue o item a seguir.
Considere que um balão com volume igual a 5 \( \times \) 106 L se desloque horizontalmente a uma altitude constante na qual a pressão e a temperatura atmosféricas são iguais a 50 kPa e 283 K, respectivamente. Nessa situação, a massa total do conjunto balão mais a carga transportada e mais o gás que o preenche é superior a 3.000 kg.
Provas
Antes do primeiro voo de Santos Dumont, realizado em um avião no início do século XX, relatos referem que o padre jesuíta brasileiro Bartolomeu de Gusmão, também conhecido como padre voador, realizou, em um balão, um voo de 1 km. Para voar em um balão, é necessário preenchê-lo com um gás que apresente densidade menor que a do ar atmosférico, tal como o hélio ou o próprio ar aquecido. Nesse caso, o balão deve possuir queimadores equipados com cilindros de combustível, usualmente propano (C3H8). Quando o peso do balão for menor que o empuxo provocado pelo ar deslocado, o balão sobe. Como a pressão atmosférica diminui com o aumento da altitude, o empuxo sobre o balão torna-se menor, em uma altura na qual o balão atinge um equilíbrio e pode deslocar-se horizontalmente. Para temperatura constante, a pressão atmosférica p em função da altura h, a partir da superfície terrestre, é descrita pela equação \( p=p(h) = p_0 e^{-(\dfrac{Mgh}{RT})} \), em que p0 é a pressão atmosférica na superfície da terra, M, a massa molar média do ar (0,0289 kg/mol), g, a aceleração da gravidade (10 m/s2), R, a constante universal dos gases (8,3 J· mol-1 · K-1 ou 8,3 kPa · L · mol-1 · K-1) e T, a temperatura absoluta.
Com base nessas informações e considerando ideais todos os gases envolvidos no funcionamento de um balão, julgue o item a seguir.
À medida que o balão sobe, diminui a pressão parcial de oxigênio do ar atmosférico; desse modo, deve também diminuir a taxa de difusão do oxigênio dos alvéolos para os capilares pulmonares das pessoas que estiverem no balão.
Provas

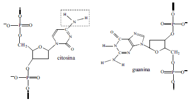
Nos organismos eucariotos, o transporte de informação entre núcleo e citoplasma é um dos mecanismos mais importantes do funcionamento celular, pois a produção de proteínas é realizada no citoplasma, estando a maior parte do material genético situada no núcleo da célula e separada do citoplasma pela carioteca. No material genético, o DNA, as ligações entre as bases que constituem o eixo central da dupla hélice ajustam-se em virtude das ligações de hidrogênio que tais bases podem formar. Com relação ao transporte de informações do núcleo para o citoplasma, ao funcionamento celular como um todo e considerando a figura acima, que ilustra a aproximação das bases citosina e guanina, julgue o item a seguir.
As ligações de hidrogênio que unem as bases das duas fitas complementares da molécula de DNA são mais fortes que as ligações covalentes que unem os nucleotídeos da mesma fita.
Provas

Nos organismos eucariotos, o transporte de informação entre núcleo e citoplasma é um dos mecanismos mais importantes do funcionamento celular, pois a produção de proteínas é realizada no citoplasma, estando a maior parte do material genético situada no núcleo da célula e separada do citoplasma pela carioteca. No material genético, o DNA, as ligações entre as bases que constituem o eixo central da dupla hélice ajustam-se em virtude das ligações de hidrogênio que tais bases podem formar. Com relação ao transporte de informações do núcleo para o citoplasma, ao funcionamento celular como um todo e considerando a figura acima, que ilustra a aproximação das bases citosina e guanina, julgue o item a seguir.
As ligações de hidrogênio envolvem interações eletrostáticas.
Provas

Nos organismos eucariotos, o transporte de informação entre núcleo e citoplasma é um dos mecanismos mais importantes do funcionamento celular, pois a produção de proteínas é realizada no citoplasma, estando a maior parte do material genético situada no núcleo da célula e separada do citoplasma pela carioteca. No material genético, o DNA, as ligações entre as bases que constituem o eixo central da dupla hélice ajustam-se em virtude das ligações de hidrogênio que tais bases podem formar. Com relação ao transporte de informações do núcleo para o citoplasma, ao funcionamento celular como um todo e considerando a figura acima, que ilustra a aproximação das bases citosina e guanina, julgue o item a seguir.
Nas estruturas de dupla hélice do DNA, as bases citosina e guanina podem formar, entre si, cinco ligações de hidrogênio.
Provas

Nos organismos eucariotos, o transporte de informação entre núcleo e citoplasma é um dos mecanismos mais importantes do funcionamento celular, pois a produção de proteínas é realizada no citoplasma, estando a maior parte do material genético situada no núcleo da célula e separada do citoplasma pela carioteca. No material genético, o DNA, as ligações entre as bases que constituem o eixo central da dupla hélice ajustam-se em virtude das ligações de hidrogênio que tais bases podem formar. Com relação ao transporte de informações do núcleo para o citoplasma, ao funcionamento celular como um todo e considerando a figura acima, que ilustra a aproximação das bases citosina e guanina, julgue o item a seguir.
Para que a transcrição ocorra, é necessário que a fita dupla de DNA se abra na região genômica onde se localiza o gene a ser transcrito; a fita a ser utilizada para o processo de produção do RNA é a fita molde do gene, e não, o gene propriamente dito.
Provas

Nos organismos eucariotos, o transporte de informação entre núcleo e citoplasma é um dos mecanismos mais importantes do funcionamento celular, pois a produção de proteínas é realizada no citoplasma, estando a maior parte do material genético situada no núcleo da célula e separada do citoplasma pela carioteca. No material genético, o DNA, as ligações entre as bases que constituem o eixo central da dupla hélice ajustam-se em virtude das ligações de hidrogênio que tais bases podem formar. Com relação ao transporte de informações do núcleo para o citoplasma, ao funcionamento celular como um todo e considerando a figura acima, que ilustra a aproximação das bases citosina e guanina, julgue o item a seguir.
A carioteca é uma barreira para a passagem de moléculas grandes, como o ácido ribonucleico.
Provas

Nos organismos eucariotos, o transporte de informação entre núcleo e citoplasma é um dos mecanismos mais importantes do funcionamento celular, pois a produção de proteínas é realizada no citoplasma, estando a maior parte do material genético situada no núcleo da célula e separada do citoplasma pela carioteca. No material genético, o DNA, as ligações entre as bases que constituem o eixo central da dupla hélice ajustam-se em virtude das ligações de hidrogênio que tais bases podem formar. Com relação ao transporte de informações do núcleo para o citoplasma, ao funcionamento celular como um todo e considerando a figura acima, que ilustra a aproximação das bases citosina e guanina, julgue o item a seguir.
Na produção de proteína, há a participação de, pelo menos, três classes de RNAs: RNA mensageiro; RNA transportador; RNA ribossômico. A segunda classe transporta os aminoácidos até o ribossomo e, para cada códon, há um transportador específico.
Provas
Caderno Container