Foram encontradas 353 questões.
É sempre vantajoso para os seres vivos produzirem os compostos vitais dos quais necessitam? Uma série de experimentos demonstrou que não, se esses compostos puderem ser facilmente obtidos no ambiente.
Nesses experimentos, foram comparadas duas linhagens da bactéria Bacillus subtillis, que diferiam quanto à capacidade de fabricar o aminoácido triptofano. A linhagem selvagem era capaz de fazê-lo, e a linhagem mutante, não. Se populações das duas linhagens, com o mesmo número inicial de indivíduos, fossem colocadas em meio de cultura que não contivesse triptofano, apenas a linhagem selvagem sobreviveria.
Entretanto, se fossem colocadas em meio rico em triptofano, a população da linhagem mutante sobreviveria enquanto a população da linhagem selvagem diminuiria. Esses resultados levaram os pesquisadores a concluir que a capacidade de sintetizar triptofano se tornara desvantajosa na competição entre as duas linhagens, quando o meio era rico em triptofano.
Linus Pauling. Como viver mais e melhor. São Paulo: Best Seller, 1988 (com adaptações).
Acerca dos temas tratados no texto, julgue os itens que se seguem.
Nos experimentos descritos anteriormente, considere que os números de indivíduos nas populações das bactérias selvagens e mutantes, em milhares, sejam, em função do tempo t \( \ge \) 0, em horas, dados por P1(t) e P2(t), respectivamente, em que t = 0 representa o início dos experimentos. As expressões a seguir são válidas para o experimento em meio que não contém triptofano.
\( P_1(t) = \dfrac{k}{1(3)^9 - 1)x3^{-3t}}, para \ge 0. \)
\( P_(t) = \begin{cases} 3^{\dfrac{5t-8}{t-2}}, para \,\,0\,\, \le\,\,t\,\, < 2, \\ 0, para\,\,t\,\,\ge\,\,2. \end{cases} \)
Quando o experimento é realizado em meio rico em triptofano, são válidas as seguintes expressões, para t \( \ge \) 0.
\( P_1(t) = 3^{4-t}, para t\,\,\ge\,\,0, \)
\( P_1(t) = \dfrac{k}{1(3)^9 - 1)x3^{-2t}}, para \ge 0. \)
Com base nessas informações e sabendo que, nas expressões apresentadas, k é uma constante real a ser determinada, julgue os itens subseqüentes
Em meio que não contém triptofano, \( P_1 (0) = \dfrac{k}{1+3^9}. \)
Provas
É sempre vantajoso para os seres vivos produzirem os compostos vitais dos quais necessitam? Uma série de experimentos demonstrou que não, se esses compostos puderem ser facilmente obtidos no ambiente.
Nesses experimentos, foram comparadas duas linhagens da bactéria Bacillus subtillis, que diferiam quanto à capacidade de fabricar o aminoácido triptofano. A linhagem selvagem era capaz de fazê-lo, e a linhagem mutante, não. Se populações das duas linhagens, com o mesmo número inicial de indivíduos, fossem colocadas em meio de cultura que não contivesse triptofano, apenas a linhagem selvagem sobreviveria.
Entretanto, se fossem colocadas em meio rico em triptofano, a população da linhagem mutante sobreviveria enquanto a população da linhagem selvagem diminuiria. Esses resultados levaram os pesquisadores a concluir que a capacidade de sintetizar triptofano se tornara desvantajosa na competição entre as duas linhagens, quando o meio era rico em triptofano.
Linus Pauling. Como viver mais e melhor. São Paulo: Best Seller, 1988 (com adaptações).
Acerca dos temas tratados no texto, julgue os itens que se seguem.
A figura a seguir ilustra a estrutura molecular do triptofano.

A tabela seguinte apresenta a composição e as características de uma solução aquosa de triptofano utilizada para a cultura de bactérias no experimento descrito do texto anterior.
|
composição para 100,0 mL de solução |
|||
|
triptofano |
0,5 g | ||
|
NaC\( \boldsymbol{\ell} \) |
0,5 g | ||
|
KH2PO4 |
0,25 g | ||
|
pH = 7,4 a 25 ºC |
|||
Com base nessas informações, julgue os itens
A temperatura de ebulição da solução aquosa de triptofano descrita na tabela é maior que a da água.
Provas
É sempre vantajoso para os seres vivos produzirem os compostos vitais dos quais necessitam? Uma série de experimentos demonstrou que não, se esses compostos puderem ser facilmente obtidos no ambiente.
Nesses experimentos, foram comparadas duas linhagens da bactéria Bacillus subtillis, que diferiam quanto à capacidade de fabricar o aminoácido triptofano. A linhagem selvagem era capaz de fazê-lo, e a linhagem mutante, não. Se populações das duas linhagens, com o mesmo número inicial de indivíduos, fossem colocadas em meio de cultura que não contivesse triptofano, apenas a linhagem selvagem sobreviveria.
Entretanto, se fossem colocadas em meio rico em triptofano, a população da linhagem mutante sobreviveria enquanto a população da linhagem selvagem diminuiria. Esses resultados levaram os pesquisadores a concluir que a capacidade de sintetizar triptofano se tornara desvantajosa na competição entre as duas linhagens, quando o meio era rico em triptofano.
Linus Pauling. Como viver mais e melhor. São Paulo: Best Seller, 1988 (com adaptações).
Acerca dos temas tratados no texto, julgue os itens que se seguem.
A figura a seguir ilustra a estrutura molecular do triptofano.

A tabela seguinte apresenta a composição e as características de uma solução aquosa de triptofano utilizada para a cultura de bactérias no experimento descrito do texto anterior.
|
composição para 100,0 mL de solução |
|||
|
triptofano |
0,5 g | ||
|
NaC\( \boldsymbol{\ell} \) |
0,5 g | ||
|
KH2PO4 |
0,25 g | ||
|
pH = 7,4 a 25 ºC |
|||
Com base nessas informações, julgue os itens
A concentração do KH2PO4 na solução aquosa de triptofano descrita na tabela é maior que 0,02 mol @ L-1.
Provas
É sempre vantajoso para os seres vivos produzirem os compostos vitais dos quais necessitam? Uma série de experimentos demonstrou que não, se esses compostos puderem ser facilmente obtidos no ambiente.
Nesses experimentos, foram comparadas duas linhagens da bactéria Bacillus subtillis, que diferiam quanto à capacidade de fabricar o aminoácido triptofano. A linhagem selvagem era capaz de fazê-lo, e a linhagem mutante, não. Se populações das duas linhagens, com o mesmo número inicial de indivíduos, fossem colocadas em meio de cultura que não contivesse triptofano, apenas a linhagem selvagem sobreviveria.
Entretanto, se fossem colocadas em meio rico em triptofano, a população da linhagem mutante sobreviveria enquanto a população da linhagem selvagem diminuiria. Esses resultados levaram os pesquisadores a concluir que a capacidade de sintetizar triptofano se tornara desvantajosa na competição entre as duas linhagens, quando o meio era rico em triptofano.
Linus Pauling. Como viver mais e melhor. São Paulo: Best Seller, 1988 (com adaptações).
Acerca dos temas tratados no texto, julgue os itens que se seguem.
A figura a seguir ilustra a estrutura molecular do triptofano

A tabela seguinte apresenta a composição e as características de uma solução aquosa de triptofano utilizada para a cultura de bactérias no experimento descrito do texto anterior.
|
composição para 100,0 mL de solução |
|||
|
triptofano |
0,5 g | ||
|
NaC\( \boldsymbol{\ell} \) |
0,5 g | ||
|
KH2PO4 |
0,25 g | ||
|
pH = 7,4 a 25 ºC |
|||
Com base nessas informações, julgue os itens
A presença de NaC\( \boldsymbol{\ell} \) na solução aquosa de triptofano descrita na tabela aumenta a condutividade elétrica dessa solução.
Provas
É sempre vantajoso para os seres vivos produzirem os compostos vitais dos quais necessitam? Uma série de experimentos demonstrou que não, se esses compostos puderem ser facilmente obtidos no ambiente.
Nesses experimentos, foram comparadas duas linhagens da bactéria Bacillus subtillis, que diferiam quanto à capacidade de fabricar o aminoácido triptofano. A linhagem selvagem era capaz de fazê-lo, e a linhagem mutante, não. Se populações das duas linhagens, com o mesmo número inicial de indivíduos, fossem colocadas em meio de cultura que não contivesse triptofano, apenas a linhagem selvagem sobreviveria.
Entretanto, se fossem colocadas em meio rico em triptofano, a população da linhagem mutante sobreviveria enquanto a população da linhagem selvagem diminuiria. Esses resultados levaram os pesquisadores a concluir que a capacidade de sintetizar triptofano se tornara desvantajosa na competição entre as duas linhagens, quando o meio era rico em triptofano.
Linus Pauling. Como viver mais e melhor. São Paulo: Best Seller, 1988 (com adaptações).
Acerca dos temas tratados no texto, julgue os itens que se seguem.
A figura a seguir ilustra a estrutura molecular do triptofano.

A tabela seguinte apresenta a composição e as características de uma solução aquosa de triptofano utilizada para a cultura de bactérias no experimento descrito do texto anterior.
|
composição para 100,0 mL de solução |
|||
|
triptofano |
0,5 g | ||
|
NaC\( \boldsymbol{\ell} \) |
0,5 g | ||
|
KH2PO4 |
0,25 g | ||
|
pH = 7,4 a 25 ºC |
|||
Com base nessas informações, julgue os itens.
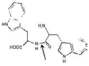
A ligação covalente que une duas moléculas de triptofano, indicada pela seta na figura a seguir, é uma ligação peptídica.

Provas
É sempre vantajoso para os seres vivos produzirem os compostos vitais dos quais necessitam? Uma série de experimentos demonstrou que não, se esses compostos puderem ser facilmente obtidos no ambiente.
Nesses experimentos, foram comparadas duas linhagens da bactéria Bacillus subtillis, que diferiam quanto à capacidade de fabricar o aminoácido triptofano. A linhagem selvagem era capaz de fazê-lo, e a linhagem mutante, não. Se populações das duas linhagens, com o mesmo número inicial de indivíduos, fossem colocadas em meio de cultura que não contivesse triptofano, apenas a linhagem selvagem sobreviveria.
Entretanto, se fossem colocadas em meio rico em triptofano, a população da linhagem mutante sobreviveria enquanto a população da linhagem selvagem diminuiria. Esses resultados levaram os pesquisadores a concluir que a capacidade de sintetizar triptofano se tornara desvantajosa na competição entre as duas linhagens, quando o meio era rico em triptofano.
Linus Pauling. Como viver mais e melhor. São Paulo: Best Seller, 1988 (com adaptações).
Acerca dos temas tratados no texto, julgue os itens que se seguem.
A figura a seguir ilustra a estrutura molecular do triptofano.

A tabela seguinte apresenta a composição e as características de uma solução aquosa de triptofano utilizada para a cultura de bactérias no experimento descrito do texto anterior.
|
composição para 100,0 mL de solução |
|||
|
triptofano |
0,5 g | ||
|
NaC\( \boldsymbol{\ell} \) |
0,5 g | ||
|
KH2PO4 |
0,25 g | ||
|
pH = 7,4 a 25 ºC |
|||
Com base nessas informações, julgue os itens
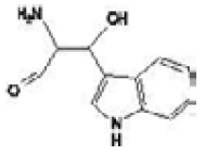
O triptofano é isômero de posição da molécula representada pela estrutura a seguir.

Provas
É sempre vantajoso para os seres vivos produzirem os compostos vitais dos quais necessitam? Uma série de experimentos demonstrou que não, se esses compostos puderem ser facilmente obtidos no ambiente.
Nesses experimentos, foram comparadas duas linhagens da bactéria Bacillus subtillis, que diferiam quanto à capacidade de fabricar o aminoácido triptofano. A linhagem selvagem era capaz de fazê-lo, e a linhagem mutante, não. Se populações das duas linhagens, com o mesmo número inicial de indivíduos, fossem colocadas em meio de cultura que não contivesse triptofano, apenas a linhagem selvagem sobreviveria.
Entretanto, se fossem colocadas em meio rico em triptofano, a população da linhagem mutante sobreviveria enquanto a população da linhagem selvagem diminuiria. Esses resultados levaram os pesquisadores a concluir que a capacidade de sintetizar triptofano se tornara desvantajosa na competição entre as duas linhagens, quando o meio era rico em triptofano.
Linus Pauling. Como viver mais e melhor. São Paulo: Best Seller, 1988 (com adaptações).
Acerca dos temas tratados no texto, julgue os itens que se seguem.
A figura a seguir ilustra a estrutura molecular do triptofano.

|
composição para 100,0 mL de solução |
|||
|
triptofano |
0,5 g | ||
|
NaC\( \boldsymbol{\ell} \) |
0,5 g | ||
|
KH2PO4 |
0,25 g | ||
|
pH = 7,4 a 25 ºC |
|||
Com base nessas informações, julgue os itens
Se forem consideradas apenas as interações do tipo dipolodipolo, é correto afirmar que o triptofano é solúvel em água e também em tetracloreto de carbono.
Provas
É sempre vantajoso para os seres vivos produzirem os compostos vitais dos quais necessitam? Uma série de experimentos demonstrou que não, se esses compostos puderem ser facilmente obtidos no ambiente.
Nesses experimentos, foram comparadas duas linhagens da bactéria Bacillus subtillis, que diferiam quanto à capacidade de fabricar o aminoácido triptofano. A linhagem selvagem era capaz de fazê-lo, e a linhagem mutante, não. Se populações das duas linhagens, com o mesmo número inicial de indivíduos, fossem colocadas em meio de cultura que não contivesse triptofano, apenas a linhagem selvagem sobreviveria.
Entretanto, se fossem colocadas em meio rico em triptofano, a população da linhagem mutante sobreviveria enquanto a população da linhagem selvagem diminuiria. Esses resultados levaram os pesquisadores a concluir que a capacidade de sintetizar triptofano se tornara desvantajosa na competição entre as duas linhagens, quando o meio era rico em triptofano.
Linus Pauling. Como viver mais e melhor. São Paulo: Best Seller, 1988 (com adaptações).
Acerca dos temas tratados no texto, julgue os itens que se seguem.

A tabela seguinte apresenta a composição e as características de uma solução aquosa de triptofano utilizada para a cultura de bactérias no experimento descrito do texto anterior.
|
composição para 100,0 mL de solução |
|||
|
triptofano |
0,5 g | ||
|
NaC\( \boldsymbol{\ell} \) |
0,5 g | ||
|
KH2PO4 |
0,25 g | ||
|
pH = 7,4 a 25 ºC |
|||
Com base nessas informações, julgue os itens
A reação do hidróxido de sódio com o triptofano forma água e o duplo sal cuja estrutura molecular está representada a seguir.

Provas
É sempre vantajoso para os seres vivos produzirem os compostos vitais dos quais necessitam? Uma série de experimentos demonstrou que não, se esses compostos puderem ser facilmente obtidos no ambiente.
Nesses experimentos, foram comparadas duas linhagens da bactéria Bacillus subtillis, que diferiam quanto à capacidade de fabricar o aminoácido triptofano. A linhagem selvagem era capaz de fazê-lo, e a linhagem mutante, não. Se populações das duas linhagens, com o mesmo número inicial de indivíduos, fossem colocadas em meio de cultura que não contivesse triptofano, apenas a linhagem selvagem sobreviveria.
Entretanto, se fossem colocadas em meio rico em triptofano, a população da linhagem mutante sobreviveria enquanto a população da linhagem selvagem diminuiria. Esses resultados levaram os pesquisadores a concluir que a capacidade de sintetizar triptofano se tornara desvantajosa na competição entre as duas linhagens, quando o meio era rico em triptofano.
Linus Pauling. Como viver mais e melhor. São Paulo: Best Seller, 1988 (com adaptações).
Acerca dos temas tratados no texto, julgue o item que se segue.
A figura a seguir ilustra a estrutura molecular do triptofano.

A tabela seguinte apresenta a composição e as características de uma solução aquosa de triptofano utilizada para a cultura de bactérias no experimento descrito do texto anterior.
|
composição para 100,0 mL de solução |
|||
|
triptofano |
0,5 g | ||
|
NaC\( \boldsymbol{\ell} \) |
0,5 g | ||
|
KH2PO4 |
0,25 g | ||
|
pH = 7,4 a 25 ºC |
|||
Com base nessas informações, julgue o item.
A cadeia carbônica do triptofano é classificada como mista, heterogênea, insaturada e aromática.
Provas
É sempre vantajoso para os seres vivos produzirem os compostos vitais dos quais necessitam? Uma série de experimentos demonstrou que não, se esses compostos puderem ser facilmente obtidos no ambiente.
Nesses experimentos, foram comparadas duas linhagens da bactéria Bacillus subtillis, que diferiam quanto à capacidade de fabricar o aminoácido triptofano. A linhagem selvagem era capaz de fazê-lo, e a linhagem mutante, não. Se populações das duas linhagens, com o mesmo número inicial de indivíduos, fossem colocadas em meio de cultura que não contivesse triptofano, apenas a linhagem selvagem sobreviveria.
Entretanto, se fossem colocadas em meio rico em triptofano, a população da linhagem mutante sobreviveria enquanto a população da linhagem selvagem diminuiria. Esses resultados levaram os pesquisadores a concluir que a capacidade de sintetizar triptofano se tornara desvantajosa na competição entre as duas linhagens, quando o meio era rico em triptofano.
Linus Pauling. Como viver mais e melhor. São Paulo: Best Seller, 1988 (com adaptações).
Acerca dos temas tratados no texto, julgue os itens que se seguem.
A figura a seguir ilustra a estrutura molecular do triptofano.

A tabela seguinte apresenta a composição e as características de uma solução aquosa de triptofano utilizada para a cultura de bactérias no experimento descrito do texto anterior.
|
composição para 100,0 mL de solução |
|||
|
triptofano |
0,5 g | ||
|
NaC\( \boldsymbol{\ell} \) |
0,5 g | ||
|
KH2PO4 |
0,25 g | ||
|
pH = 7,4 a 25 ºC |
|||
Com base nessas informações, julgue os itens O triptofano é classificado como ácido carboxílico, uma vez que sua molécula contém grupos funcionais que liberam íons H+ em água.
Provas
Caderno Container