Foram encontradas 356 questões.
Céu de Outubro, filme embasado em fatos reais, narra a história do garoto Holmer, cujo sonho de conquistar o espaço foi despertado ao ver o satélite Sputnik cruzar os céus de sua cidade. O personagem dedica seus dias à construção de um modelo de foguete que também possa cruzar os céus. A cidade onde se passa a história sobrevive da exploração de carvão. O filme, além de retratar os EUA durante a Guerra Fria, explora aspectos sociais, tais como uma greve de mineradores, o esgotamento de recursos minerais, conflitos da adolescência, paixões secretas, brigas familiares. Um dos grandes problemas de Holmer e seus amigos, na construção do referido foguete, foi encontrar o propulsor adequado. Eles utilizaram, inicialmente, uma mistura de carvão, enxofre e salitre — materiais abundantes também na América Latina. A mistura acabou falhando devido à falta de homogeneidade do material, que impediu a combustão completa. Após várias tentativas fracassadas, inspirando-se em uma aula experimental de química, os garotos passaram a usar a mistura de açúcar e clorato de potássio, tendo sido este último substituído, posteriormente, por nitrato de potássio. Uma nova mudança de material foi necessária devido a problemas de umidade, excesso de calor e corrosão das estruturas metálicas de aço do foguete, que impediram, novamente, o lançamento do foguete. Por fim, conseguiram lançá-lo ao optarem por usar uma mistura de zinco em pó, enxofre e álcool como aglutinante.
Considere que as reações — cujas equações, apresentadas a seguir, não estão balanceadas — tenham sido utilizadas por Holmer e seus amigos em suas experiências na busca do propulsor, sendo igual a 22,7 L · mol-1 o volume molar dos gases envolvidos nas reações, nas CNTP.
KNO3(s) + S(s) + C(s) → K2S(s) + N2(g) + CO2(g)
C12H22O11(s) + KClO3(s) → KCl(s) + H2O(g) + CO2(g)
A partir dessas informações, julgue o item a seguir,
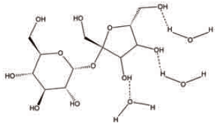
Considere que a figura abaixo mostra as fórmulas estruturais da água e do açúcar. Com base nessa figura, é correto concluir que as fortes interações dipolo-dipolo instantâneo que a água faz com o grupo OH do açúcar é fator que, entre outros, justifica um dos aludidos fracassos no lançamento do foguete.

Provas
Céu de Outubro, filme embasado em fatos reais, narra a história do garoto Holmer, cujo sonho de conquistar o espaço foi despertado ao ver o satélite Sputnik cruzar os céus de sua cidade. O personagem dedica seus dias à construção de um modelo de foguete que também possa cruzar os céus. A cidade onde se passa a história sobrevive da exploração de carvão. O filme, além de retratar os EUA durante a Guerra Fria, explora aspectos sociais, tais como uma greve de mineradores, o esgotamento de recursos minerais, conflitos da adolescência, paixões secretas, brigas familiares. Um dos grandes problemas de Holmer e seus amigos, na construção do referido foguete, foi encontrar o propulsor adequado. Eles utilizaram, inicialmente, uma mistura de carvão, enxofre e salitre — materiais abundantes também na América Latina. A mistura acabou falhando devido à falta de homogeneidade do material, que impediu a combustão completa. Após várias tentativas fracassadas, inspirando-se em uma aula experimental de química, os garotos passaram a usar a mistura de açúcar e clorato de potássio, tendo sido este último substituído, posteriormente, por nitrato de potássio. Uma nova mudança de material foi necessária devido a problemas de umidade, excesso de calor e corrosão das estruturas metálicas de aço do foguete, que impediram, novamente, o lançamento do foguete. Por fim, conseguiram lançá-lo ao optarem por usar uma mistura de zinco em pó, enxofre e álcool como aglutinante.
Considere que as reações — cujas equações, apresentadas a seguir, não estão balanceadas — tenham sido utilizadas por Holmer e seus amigos em suas experiências na busca do propulsor, sendo igual a 22,7 L · mol-1 o volume molar dos gases envolvidos nas reações, nas CNTP.
KNO3(s) + S(s) + C(s) → K2S(s) + N2(g) + CO2(g)
C12H22O11(s) + KClO3(s) → KCl(s) + H2O(g) + CO2(g)
A partir dessas informações, julgue o item a seguir,
O aço, cujo principal componente metálico é o ferro, não é uma liga metálica apropriada para a construção de foguetes, no que se refere à resistência a altas temperaturas e à corrosão.
Provas
Céu de Outubro, filme embasado em fatos reais, narra a história do garoto Holmer, cujo sonho de conquistar o espaço foi despertado ao ver o satélite Sputnik cruzar os céus de sua cidade. O personagem dedica seus dias à construção de um modelo de foguete que também possa cruzar os céus. A cidade onde se passa a história sobrevive da exploração de carvão. O filme, além de retratar os EUA durante a Guerra Fria, explora aspectos sociais, tais como uma greve de mineradores, o esgotamento de recursos minerais, conflitos da adolescência, paixões secretas, brigas familiares. Um dos grandes problemas de Holmer e seus amigos, na construção do referido foguete, foi encontrar o propulsor adequado. Eles utilizaram, inicialmente, uma mistura de carvão, enxofre e salitre — materiais abundantes também na América Latina. A mistura acabou falhando devido à falta de homogeneidade do material, que impediu a combustão completa. Após várias tentativas fracassadas, inspirando-se em uma aula experimental de química, os garotos passaram a usar a mistura de açúcar e clorato de potássio, tendo sido este último substituído, posteriormente, por nitrato de potássio. Uma nova mudança de material foi necessária devido a problemas de umidade, excesso de calor e corrosão das estruturas metálicas de aço do foguete, que impediram, novamente, o lançamento do foguete. Por fim, conseguiram lançá-lo ao optarem por usar uma mistura de zinco em pó, enxofre e álcool como aglutinante.
Considere que as reações — cujas equações, apresentadas a seguir, não estão balanceadas — tenham sido utilizadas por Holmer e seus amigos em suas experiências na busca do propulsor, sendo igual a 22,7 L · mol-1 o volume molar dos gases envolvidos nas reações, nas CNTP.
KNO3(s) + S(s) + C(s) → K2S(s) + N2(g) + CO2(g)
C12H22O11(s) + KClO3(s) → KCl(s) + H2O(g) + CO2(g)
A partir dessas informações, julgue o item a seguir,
Os menores coeficientes estequiométricos inteiros que tornam balanceada a equação química de formação do cloreto de potássio, apresentada acima são, na ordem de apresentação dos elementos da equação, da esquerda para a direita: 1, 8, 8, 11 e 12.
Provas
Céu de Outubro, filme embasado em fatos reais, narra a história do garoto Holmer, cujo sonho de conquistar o espaço foi despertado ao ver o satélite Sputnik cruzar os céus de sua cidade. O personagem dedica seus dias à construção de um modelo de foguete que também possa cruzar os céus. A cidade onde se passa a história sobrevive da exploração de carvão. O filme, além de retratar os EUA durante a Guerra Fria, explora aspectos sociais, tais como uma greve de mineradores, o esgotamento de recursos minerais, conflitos da adolescência, paixões secretas, brigas familiares. Um dos grandes problemas de Holmer e seus amigos, na construção do referido foguete, foi encontrar o propulsor adequado. Eles utilizaram, inicialmente, uma mistura de carvão, enxofre e salitre — materiais abundantes também na América Latina. A mistura acabou falhando devido à falta de homogeneidade do material, que impediu a combustão completa. Após várias tentativas fracassadas, inspirando-se em uma aula experimental de química, os garotos passaram a usar a mistura de açúcar e clorato de potássio, tendo sido este último substituído, posteriormente, por nitrato de potássio. Uma nova mudança de material foi necessária devido a problemas de umidade, excesso de calor e corrosão das estruturas metálicas de aço do foguete, que impediram, novamente, o lançamento do foguete. Por fim, conseguiram lançá-lo ao optarem por usar uma mistura de zinco em pó, enxofre e álcool como aglutinante.
Considere que as reações — cujas equações, apresentadas a seguir, não estão balanceadas — tenham sido utilizadas por Holmer e seus amigos em suas experiências na busca do propulsor, sendo igual a 22,7 L · mol-1 o volume molar dos gases envolvidos nas reações, nas CNTP.
KNO3(s) + S(s) + C(s) → K2S(s) + N2(g) + CO2(g)
C12H22O11(s) + KClO3(s) → KCl(s) + H2O(g) + CO2(g)
A partir dessas informações, julgue o item a seguir,
O salitre apresenta-se, nas situações descritas, como poderoso agente redutor.
Provas
Céu de Outubro, filme embasado em fatos reais, narra a história do garoto Holmer, cujo sonho de conquistar o espaço foi despertado ao ver o satélite Sputnik cruzar os céus de sua cidade. O personagem dedica seus dias à construção de um modelo de foguete que também possa cruzar os céus. A cidade onde se passa a história sobrevive da exploração de carvão. O filme, além de retratar os EUA durante a Guerra Fria, explora aspectos sociais, tais como uma greve de mineradores, o esgotamento de recursos minerais, conflitos da adolescência, paixões secretas, brigas familiares. Um dos grandes problemas de Holmer e seus amigos, na construção do referido foguete, foi encontrar o propulsor adequado. Eles utilizaram, inicialmente, uma mistura de carvão, enxofre e salitre — materiais abundantes também na América Latina. A mistura acabou falhando devido à falta de homogeneidade do material, que impediu a combustão completa. Após várias tentativas fracassadas, inspirando-se em uma aula experimental de química, os garotos passaram a usar a mistura de açúcar e clorato de potássio, tendo sido este último substituído, posteriormente, por nitrato de potássio. Uma nova mudança de material foi necessária devido a problemas de umidade, excesso de calor e corrosão das estruturas metálicas de aço do foguete, que impediram, novamente, o lançamento do foguete. Por fim, conseguiram lançá-lo ao optarem por usar uma mistura de zinco em pó, enxofre e álcool como aglutinante.
Considere que as reações — cujas equações, apresentadas a seguir, não estão balanceadas — tenham sido utilizadas por Holmer e seus amigos em suas experiências na busca do propulsor, sendo igual a 22,7 L · mol-1 o volume molar dos gases envolvidos nas reações, nas CNTP.
KNO3(s) + S(s) + C(s) → K2S(s) + N2(g) + CO2(g)
C12H22O11(s) + KClO3(s) → KCl(s) + H2O(g) + CO2(g)
A partir dessas informações, julgue o item a seguir,
Considere que, quando Holmer e seus amigos utilizaram salitre, carvão e enxofre no propulsor, tenham sido produzidos 340,5 L de CO2. Nesse caso, é correto afirmar que eles utilizaram, nessa experiência, menos de 100 g de carvão.
Provas
Céu de Outubro, filme embasado em fatos reais, narra a história do garoto Holmer, cujo sonho de conquistar o espaço foi despertado ao ver o satélite Sputnik cruzar os céus de sua cidade. O personagem dedica seus dias à construção de um modelo de foguete que também possa cruzar os céus. A cidade onde se passa a história sobrevive da exploração de carvão. O filme, além de retratar os EUA durante a Guerra Fria, explora aspectos sociais, tais como uma greve de mineradores, o esgotamento de recursos minerais, conflitos da adolescência, paixões secretas, brigas familiares. Um dos grandes problemas de Holmer e seus amigos, na construção do referido foguete, foi encontrar o propulsor adequado. Eles utilizaram, inicialmente, uma mistura de carvão, enxofre e salitre — materiais abundantes também na América Latina. A mistura acabou falhando devido à falta de homogeneidade do material, que impediu a combustão completa. Após várias tentativas fracassadas, inspirando-se em uma aula experimental de química, os garotos passaram a usar a mistura de açúcar e clorato de potássio, tendo sido este último substituído, posteriormente, por nitrato de potássio. Uma nova mudança de material foi necessária devido a problemas de umidade, excesso de calor e corrosão das estruturas metálicas de aço do foguete, que impediram, novamente, o lançamento do foguete. Por fim, conseguiram lançá-lo ao optarem por usar uma mistura de zinco em pó, enxofre e álcool como aglutinante.
Considere que as reações — cujas equações, apresentadas a seguir, não estão balanceadas — tenham sido utilizadas por Holmer e seus amigos em suas experiências na busca do propulsor, sendo igual a 22,7 L · mol-1 o volume molar dos gases envolvidos nas reações, nas CNTP.
KNO3(s) + S(s) + C(s) → K2S(s) + N2(g) + CO2(g)
C12H22O11(s) + KClO3(s) → KCl(s) + H2O(g) + CO2(g)
A partir dessas informações, julgue o item a seguir,
O salitre, que, de forma dissociada, pode ser absorvido pelas raízes das plantas, constitui-se em fonte de nitrogênio para as plantas.
Provas
Céu de Outubro, filme embasado em fatos reais, narra a história do garoto Holmer, cujo sonho de conquistar o espaço foi despertado ao ver o satélite Sputnik cruzar os céus de sua cidade. O personagem dedica seus dias à construção de um modelo de foguete que também possa cruzar os céus. A cidade onde se passa a história sobrevive da exploração de carvão. O filme, além de retratar os EUA durante a Guerra Fria, explora aspectos sociais, tais como uma greve de mineradores, o esgotamento de recursos minerais, conflitos da adolescência, paixões secretas, brigas familiares. Um dos grandes problemas de Holmer e seus amigos, na construção do referido foguete, foi encontrar o propulsor adequado. Eles utilizaram, inicialmente, uma mistura de carvão, enxofre e salitre — materiais abundantes também na América Latina. A mistura acabou falhando devido à falta de homogeneidade do material, que impediu a combustão completa. Após várias tentativas fracassadas, inspirando-se em uma aula experimental de química, os garotos passaram a usar a mistura de açúcar e clorato de potássio, tendo sido este último substituído, posteriormente, por nitrato de potássio. Uma nova mudança de material foi necessária devido a problemas de umidade, excesso de calor e corrosão das estruturas metálicas de aço do foguete, que impediram, novamente, o lançamento do foguete. Por fim, conseguiram lançá-lo ao optarem por usar uma mistura de zinco em pó, enxofre e álcool como aglutinante.
Considere que as reações — cujas equações, apresentadas a seguir, não estão balanceadas — tenham sido utilizadas por Holmer e seus amigos em suas experiências na busca do propulsor, sendo igual a 22,7 L · mol-1 o volume molar dos gases envolvidos nas reações, nas CNTP.
KNO3(s) + S(s) + C(s) → K2S(s) + N2(g) + CO2(g)
C12H22O11(s) + KClO3(s) → KCl(s) + H2O(g) + CO2(g)
A partir dessas informações, julgue o item a seguir,
A observação a respeito do carvão, do enxofre e do salitre como “materiais abundantes também na América Latina” pode justificar-se pelo fato de o Chile abrigar uma das maiores jazidas de nitrato de potássio da Terra e de haver, na região Sul do Brasil, reservas naturais de carvão e enxofre.
Provas

A vida na Terra passou por várias situações que levaram à extinção de inúmeras espécies. Em uma dessas situações, há cerca de 65 milhões de anos, os dinossauros desapareceram. Uma das razões para esse fato parece ter sido o choque de um asteroide com a superfície da Terra, tema explorado no filme Armageddon. Nesse filme, um asteroide encontrava-se em rota de colisão com a Terra à velocidade constante vast = 35.000 km · h-1. Quando, da Terra, se observou esse asteroide pela primeira vez, restavam 18 dias para o choque entre a Terra e o asteroide. Na narrativa do filme, a única solução foi enviar astronautas, em uma nave espacial, até a superfície do asteroide e, lá, detonar uma bomba nuclear para dividir o asteroide em diversas partes.
Suponha que a explosão da bomba nuclear tenha dividido o asteroide em duas partes iguais e que ela tenha ocorrido no ponto denominado barreira zero — dzero —, que depende da potência da bomba e determina o ponto mais próximo da Terra em que, sobre a trajetória do asteroide, a bomba ainda poderia ser detonada, de modo que as duas partes resultantes da explosão não causassem danos ao planeta, passando, da superfície terrestre, à distância h = 120.000 km, considerada a menor distância de segurança. Considere, também, que as duas partes do asteroide tenham traçado, após a explosão, trajetórias retilíneas formando um ângulo 2 com a trajetória original do asteroide, conforme ilustrado na figura acima.
Considere, ainda, que o asteroide e as partes resultantes de sua explosão sejam partículas, com relação à Terra, que o raio da Terra — r — seja igual a 6.400 km e que a bomba tenha imposto às partes do asteroide apenas velocidades perpendiculares — vtrans — à trajetória original, conforme ilustrado na figura. Considere, também, que a relação entre a potência p da bomba, em megatons, e o ângulo 2, em radianos, estejam relacionados pela expressão \( \theta = \dfrac{\pi p }{2p + 200} \).
Com base nas informações do texto, julgue o item a seguir, desprezando todos os efeitos de atração gravitacional entre a Terra e o asteroide.
Considerando-se que o filme Armageddon apresenta cenas de incêndio que teve início no interior da nave e se propagou para o espaço sideral, mantendo forte intensidade nas vizinhanças da nave, é correto afirmar que essas cenas do filme são cientificamente questionáveis, visto que, no espaço sideral, não há gás oxigênio em quantidade suficiente para sustentar tal processo de combustão.
Provas

A vida na Terra passou por várias situações que levaram à extinção de inúmeras espécies. Em uma dessas situações, há cerca de 65 milhões de anos, os dinossauros desapareceram. Uma das razões para esse fato parece ter sido o choque de um asteroide com a superfície da Terra, tema explorado no filme Armageddon. Nesse filme, um asteroide encontrava-se em rota de colisão com a Terra à velocidade constante vast = 35.000 km · h-1. Quando, da Terra, se observou esse asteroide pela primeira vez, restavam 18 dias para o choque entre a Terra e o asteroide. Na narrativa do filme, a única solução foi enviar astronautas, em uma nave espacial, até a superfície do asteroide e, lá, detonar uma bomba nuclear para dividir o asteroide em diversas partes.
Suponha que a explosão da bomba nuclear tenha dividido o asteroide em duas partes iguais e que ela tenha ocorrido no ponto denominado barreira zero — dzero —, que depende da potência da bomba e determina o ponto mais próximo da Terra em que, sobre a trajetória do asteroide, a bomba ainda poderia ser detonada, de modo que as duas partes resultantes da explosão não causassem danos ao planeta, passando, da superfície terrestre, à distância h = 120.000 km, considerada a menor distância de segurança. Considere, também, que as duas partes do asteroide tenham traçado, após a explosão, trajetórias retilíneas formando um ângulo 2 com a trajetória original do asteroide, conforme ilustrado na figura acima.
Considere, ainda, que o asteroide e as partes resultantes de sua explosão sejam partículas, com relação à Terra, que o raio da Terra — r — seja igual a 6.400 km e que a bomba tenha imposto às partes do asteroide apenas velocidades perpendiculares — vtrans — à trajetória original, conforme ilustrado na figura. Considere, também, que a relação entre a potência p da bomba, em megatons, e o ângulo 2, em radianos, estejam relacionados pela expressão \( \theta = \dfrac{\pi p }{2p + 200} \).
Com base nas informações do texto, julgue o item a seguir, desprezando todos os efeitos de atração gravitacional entre a Terra e o asteroide.
Medidas referentes às características da Terra — por exemplo, o seu raio — têm aplicações práticas, como no caso de se determinar a distância entre dois pontos a partir de informações de latitude e longitude, situação em que é necessário se conhecer o raio do planeta.
Provas

A vida na Terra passou por várias situações que levaram à extinção de inúmeras espécies. Em uma dessas situações, há cerca de 65 milhões de anos, os dinossauros desapareceram. Uma das razões para esse fato parece ter sido o choque de um asteroide com a superfície da Terra, tema explorado no filme Armageddon. Nesse filme, um asteroide encontrava-se em rota de colisão com a Terra à velocidade constante vast = 35.000 km · h-1. Quando, da Terra, se observou esse asteroide pela primeira vez, restavam 18 dias para o choque entre a Terra e o asteroide. Na narrativa do filme, a única solução foi enviar astronautas, em uma nave espacial, até a superfície do asteroide e, lá, detonar uma bomba nuclear para dividir o asteroide em diversas partes.
Suponha que a explosão da bomba nuclear tenha dividido o asteroide em duas partes iguais e que ela tenha ocorrido no ponto denominado barreira zero — dzero —, que depende da potência da bomba e determina o ponto mais próximo da Terra em que, sobre a trajetória do asteroide, a bomba ainda poderia ser detonada, de modo que as duas partes resultantes da explosão não causassem danos ao planeta, passando, da superfície terrestre, à distância h = 120.000 km, considerada a menor distância de segurança. Considere, também, que as duas partes do asteroide tenham traçado, após a explosão, trajetórias retilíneas formando um ângulo 2 com a trajetória original do asteroide, conforme ilustrado na figura acima.
Considere, ainda, que o asteroide e as partes resultantes de sua explosão sejam partículas, com relação à Terra, que o raio da Terra — r — seja igual a 6.400 km e que a bomba tenha imposto às partes do asteroide apenas velocidades perpendiculares — vtrans — à trajetória original, conforme ilustrado na figura. Considere, também, que a relação entre a potência p da bomba, em megatons, e o ângulo 2, em radianos, estejam relacionados pela expressão \( \theta = \dfrac{\pi p }{2p + 200} \).
Com base nas informações do texto, julgue o item a seguir, desprezando todos os efeitos de atração gravitacional entre a Terra e o asteroide.
Considerando-se que a bomba utilizada para destruir o asteroide tenha operado segundo o processo de fusão nuclear, é correto concluir que a energia utilizada para dividir o asteroide em duas partes foi obtida pela quebra de núcleo atômico por choque de nêutrons, em uma sucessão de reações em cadeia.
Provas
Caderno Container