Foram encontradas 350 questões.
Para a aplicação de um CLP em um sistema de automação industrial, considere as seguintes afirmativas:
I. As quantidades de entradas e saídas analógicas devem ser determinadas para especificar a CPU.
II. As quantidades de entradas e saídas digitais devem ser determinadas para especificar a CPU.
III. Para a determinação do CLP nas aplicações a tensão de comando dos contatores de acionamento das cargas é relevante.
IV. Para separar o sinal de campo dos cartões de entrada digital ou saída digital do CLP, deve-se utilizar bornes relés.
V. Quando da aquisição do CLP não é necessário especificar o protocolo de comunicação.
Está CORRETO o que se afirma apenas em:
Provas
Seja o sistema de comando para acionamento de motores conforme o esquema simplificado a seguir.

Sabe-se que a chave S2 possui um retardo de Δt segundos para mudar de estado. Nessas condições, é CORRETO afirmar que:
Provas
Para a partida de motores trifásicos de certa potência, utiliza-se a chave estrela-triângulo devido ao seu custo reduzido e praticidade. A aplicação desta chave pode reduzir a corrente de partida:
Provas
O circuito abaixo representa um sistema utilizado em automação para controle de posição onde um potenciômetro linear de 100 KΩ de resistência total recebe a informação da posição de giro de uma polia. Sabe-se que o ângulo de giro do potenciômetro é de 270º e que os valores mínimo e máximo de resistência entre os pontos A e B são 1 KΩ e 99 KΩ, respectivamente. Quando o ângulo de giro da polia é 0°, a tensão de saída entre os pontos A e B tem o valor mínimo e quando o ângulo de giro da polia é 270°, a tensão de saída entre os pontos A e B tem o valor máximo.

O valor da tensão de saída entre os pontos A e B, quando o ângulo de giro da polia é de 30º, é:
Provas
Atendendo à Norma Regulamentadora 10 (NR 10) – Segurança em Instalações e Serviços em Eletricidade – considere as afirmativas a seguir:
I. O projeto deve definir a configuração do esquema de aterramento, a obrigatoriedade da interligação entre o condutor neutro e o de proteção sem a necessidade de conexão à terra das partes condutoras não destinadas à condução da eletricidade.
II. As medidas de proteção coletiva compreendem, prioritariamente, a desenergização elétrica ou, na sua impossibilidade, o emprego de tensão de segurança.
III. Nos trabalhos em instalações elétricas, quando as medidas de proteção coletiva forem tecnicamente inviáveis ou insuficientes para controlar os riscos, devem ser adotados equipamentos de proteção individual específicos e adequados às atividades desenvolvidas.
Está CORRETO o que se afirma apenas em:
Provas
Observe o circuito abaixo contendo resistores, fontes de corrente contínua e uma fonte controlada de tensão.

O valor da máxima potência que este circuito pode entregar aos terminais AB é:
Provas
O custo total de produção de energia elétrica de uma concessionária é dado pela equação ) Q !$ CT = (4 + \dfrac {Q^3}{3}) !$ unidades monetárias. Considere que o preço de venda do kWh, P, equivale à equação P = (15 –2Q) unidades monetárias, sendo Q a quantidade de energia vendida. Se for fixado o preço de venda do kWh igual ao seu custo marginal, a concessionária terá:
Provas
Uma empresa possui 16 motores de indução de 40 HP cada um e um motor síncrono de 500 kVA instalados. Todos os motores de indução funcionam simultaneamente com o motor síncrono. O Fator de Potência FP total para os motores de indução é 0,8. O motor síncrono funciona com 400 kVA e com Fator de Potência FP igual a 1,0. Considerando que atuando no motor síncrono pode-se melhorar o FP da instalação total e que este motor síncrono continue realizando o mesmo trabalho mecânico, os Fatores de Potência da instalação antes e depois da atuação no motor serão, respectivamente:
Considere: 1 HP = 750 w, tg(cos-1 0,8) = 0,75 e tg-1 (9/22) = 22º
Provas
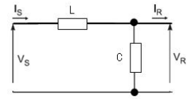
Seja L a indutância de uma linha de transmissão e C a capacitância entre esta linha e a terra, conforme modelo abaixo:

A equação matricial a seguir relaciona as grandezas de entrada e saída do circuito equivalente da linha de transmissão.
!$ \begin{bmatrix} V_S \\ I_S \end{bmatrix} = \begin{bmatrix} \bar{A} & \bar{B} \\ \bar{C} & \bar{D} \end{bmatrix} . \begin{bmatrix} V_R \\ I_R \end{bmatrix} !$
Assinale a alternativa que contém as constantes !$ \bar{A} !$ , !$ \bar{B} !$ ,!$ \bar{C} !$ e !$ \bar{D} !$ do Quadripolo que representa esse circuito equivalente:
Provas
Um sistema de proteção contra descargas atmosféricas do tipo Franklin foi concebido para prover a segurança de uma edificação com largura e comprimento de 20 m e com !$ ^5 \sqrt{3} !$ m de altura. A altura e as condições de utilização desse prédio determinam um ângulo de proteção de 60° para cada captor. Sabendose que serão utilizados quatro captores, como apresentado no esquema abaixo, a altura em metros desses captores em relação à cobertura é de:
Provas
Caderno Container