Foram encontradas 140 questões.
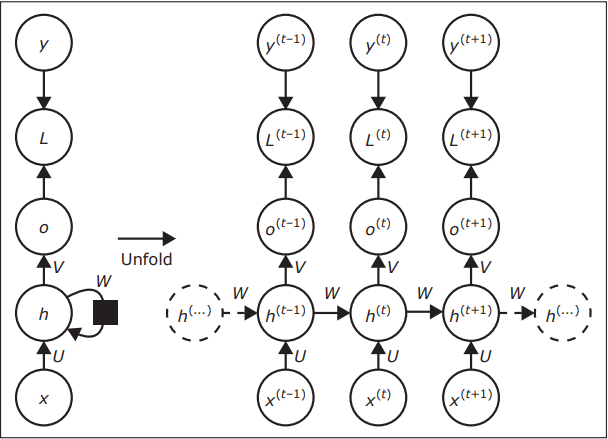
A figura mostra uma arquitetura de Rede Neural ________________, em que U, W e V são ________________.

Fonte: GOODFELLOW et al. Deep Leaning. MIT press, 2016 (p. 378). (Adaptado)
Assinale a alternativa que completa corretamente as lacunas.
Provas
Questão presente nas seguintes provas
Observe a seguinte consulta escrita em Linguagem de Consulta Estruturada (SQL - Structured Query Language).
SELECT cl.Nome, cid.Nome
FROM Cliente cl, Cidade cid
WHERE cl.Cod_Cidade = cid.Cod_Cidade and
cl.Data_Nasc = (SELECT min(data_nasc)
FROM cliente cl2
WHERE cl2.cod_cidade = cl.Cod_Cidade);
Assinale a alternativa que identifica corretamente os resultados retornados pela consulta.
SELECT cl.Nome, cid.Nome
FROM Cliente cl, Cidade cid
WHERE cl.Cod_Cidade = cid.Cod_Cidade and
cl.Data_Nasc = (SELECT min(data_nasc)
FROM cliente cl2
WHERE cl2.cod_cidade = cl.Cod_Cidade);
Assinale a alternativa que identifica corretamente os resultados retornados pela consulta.
Provas
Questão presente nas seguintes provas
A Universidade X está integrando uma árvore de decisão, baseada em entropia, para prever a evasão dos
alunos. Em um cenário de testes, o número de reprovações se mostrou um atributo importante. Para tal,
criou-se a árvore, conforme a figura.
Considerando o nó inicial e seus filhos, assinale a alternativa correta quanto ao resultado que reflete a equação do ganho.
Considerando o nó inicial e seus filhos, assinale a alternativa correta quanto ao resultado que reflete a equação do ganho.
Provas
Questão presente nas seguintes provas
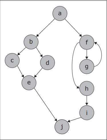
Complexidade ciclomática é uma métrica de
software, fundamentada na teoria dos grafos, que
fornece uma medida quantitativa da complexidade
lógica de um programa.
Com base no grafo apresentado, assinale a alternativa que indica a complexidade ciclomática correta.
Com base no grafo apresentado, assinale a alternativa que indica a complexidade ciclomática correta.
Provas
Questão presente nas seguintes provas
A modelagem de processos de negócio consiste em estudar e entender a organização e seus processos e
ajuda na compreensão dos requisitos do sistema, pois possibilita que os stakeholders compartilhem um
entendimento consistente sobre os processos de negócio da organização, sendo a Business Process Model
and Notation (BPMN) uma referência para modelagem desse tipo de processo.
Com base no diagrama representado na figura, modelado usando BPMN, assinale V (verdadeiro) ou F (falso) em cada afirmativa a seguir.
( ) A avaliação dos critérios socioeconômicos ocorre antes da avaliação dos critérios acadêmicos.
( ) O aluno é notificado sobre a solicitação de bolsa ao final do processo.
( ) Os dados dos alunos são validados antes de serem encaminhados para a avaliação dos demais critérios.
A sequência correta é
Com base no diagrama representado na figura, modelado usando BPMN, assinale V (verdadeiro) ou F (falso) em cada afirmativa a seguir.
( ) A avaliação dos critérios socioeconômicos ocorre antes da avaliação dos critérios acadêmicos.
( ) O aluno é notificado sobre a solicitação de bolsa ao final do processo.
( ) Os dados dos alunos são validados antes de serem encaminhados para a avaliação dos demais critérios.
A sequência correta é
Provas
Questão presente nas seguintes provas
O curso X precisa garantir que uma disciplina Xa tenha como co-requisito (disciplinas que precisam ser cursadas
em conjunto) as disciplinas Xb e Xc
. As matrículas do curso X são salvas no vetor matriculas_X, em que cada
elemento do vetor é marcado como 1, caso o aluno esteja matriculado.
Supondo que as variáveis Ia, Ib e Ic guardam os índices referentes às disciplinas Xa, Xb e Xc , respectivamente, e considerando o Python versão 3, qual trecho de código verifica corretamente se é possível se matricular em Xa?
Supondo que as variáveis Ia, Ib e Ic guardam os índices referentes às disciplinas Xa, Xb e Xc , respectivamente, e considerando o Python versão 3, qual trecho de código verifica corretamente se é possível se matricular em Xa?
Provas
Questão presente nas seguintes provas
Em seu livro “Engenharia de Software” (2011),
Sommerville escreve:
“O teste é destinado a mostrar que um programa faz o que é proposto a fazer e para descobrir os defeitos do programa antes do uso. Quando se testa o software, o programa é executado usando dados fictícios. Os resultados do teste são verificados à procura de erros, anomalias ou informações sobre os atributos não funcionais do programa.”
Fonte: SOMMERVILLE, I. Engenharia de Software. 9. ed. São Paulo: Pearson Prentice Hall, 2011. p. 144.
Tendo em vista os processos relacionados a teste no desenvolvimento de software, assinale V (verdadeiro) ou F (falso) em cada afirmativa a seguir.
( ) Os testes de desenvolvimento incluem testes unitários, nos quais se testam objetos e métodos específicos; testes de componentes, nos quais se testam diversos grupos de objetos; e testes de sistema, nos quais se testam sistemas parciais ou completos.
( ) O teste de aceitação é um processo de teste no qual a equipe decide se o software é bom o suficiente para ser implantado e usado em seu ambiente operacional.
( ) O desenvolvimento dirigido a testes é uma abordagem de desenvolvimento na qual os testes são escritos antes do código que será testado.
A sequência correta é
“O teste é destinado a mostrar que um programa faz o que é proposto a fazer e para descobrir os defeitos do programa antes do uso. Quando se testa o software, o programa é executado usando dados fictícios. Os resultados do teste são verificados à procura de erros, anomalias ou informações sobre os atributos não funcionais do programa.”
Fonte: SOMMERVILLE, I. Engenharia de Software. 9. ed. São Paulo: Pearson Prentice Hall, 2011. p. 144.
Tendo em vista os processos relacionados a teste no desenvolvimento de software, assinale V (verdadeiro) ou F (falso) em cada afirmativa a seguir.
( ) Os testes de desenvolvimento incluem testes unitários, nos quais se testam objetos e métodos específicos; testes de componentes, nos quais se testam diversos grupos de objetos; e testes de sistema, nos quais se testam sistemas parciais ou completos.
( ) O teste de aceitação é um processo de teste no qual a equipe decide se o software é bom o suficiente para ser implantado e usado em seu ambiente operacional.
( ) O desenvolvimento dirigido a testes é uma abordagem de desenvolvimento na qual os testes são escritos antes do código que será testado.
A sequência correta é
Provas
Questão presente nas seguintes provas
Modelos baseados em n-grams definem a probabilidade condicional de um n-th token, dados os n–1
tokens precedentes. Assinale a alternativa que indica
corretamente a técnica clássica à qual se refere a
frase dada.
Provas
Questão presente nas seguintes provas
Segundo Sommerville, o gerenciamento de versão é
o processo de acompanhamento de diferentes versões de componentes de software ou itens de configuração e os sistemas em que esses componentes
são usados. Ele também envolve a garantia de que
as mudanças feitas por diferentes desenvolvedores
para essas versões não interfiram umas nas outras.
Fonte: SOMMERVILLE, I. Engenharia de Software. 9. ed. São Paulo, Person Prentice Hall, 2011.
O Git é um sistema de controle de versão, criado em 2005 por Linus Torvalds, bastante utilizado em projetos de desenvolvimento de software. Considere que um desenvolvedor deseja ver o histórico de commits em formato gráfico simplificado no terminal para identificar a linha de tempo e os branches e assinale a alternativa que descreve o comando a ser utilizado.
Fonte: SOMMERVILLE, I. Engenharia de Software. 9. ed. São Paulo, Person Prentice Hall, 2011.
O Git é um sistema de controle de versão, criado em 2005 por Linus Torvalds, bastante utilizado em projetos de desenvolvimento de software. Considere que um desenvolvedor deseja ver o histórico de commits em formato gráfico simplificado no terminal para identificar a linha de tempo e os branches e assinale a alternativa que descreve o comando a ser utilizado.
Provas
Questão presente nas seguintes provas
Um processo de desenvolvimento de software
que utilize a UML como linguagem de suporte
à modelagem envolve a criação de diversos
documentos, os quais podem ser textuais ou
gráficos e são chamados de artefatos. Os artefatos
gráficos podem ser definidos por meio de diagramas
UML (Unified Modeling Language). A partir disso,
observe os objetivos a seguir.
A - Descrever os tipos de objetos presentes no sistema e os vários tipos de relacionamentos estáticos existentes entre eles.
B - Representar como grupos de objetos colaboram em algum comportamento, isto é, as mensagens trocadas entre os objetos.
C - Exibir uma “fotografia” do sistema em certo momento, demonstrando as ligações formadas entre objetos conforme interagem e de acordo com os valores dos seus atributos.
D - Mostrar as ações e decisões que ocorrem enquanto uma dada função é executada.
Assinale a alternativa que associa corretamente o objetivo ao tipo de diagrama correspondente.
A - Descrever os tipos de objetos presentes no sistema e os vários tipos de relacionamentos estáticos existentes entre eles.
B - Representar como grupos de objetos colaboram em algum comportamento, isto é, as mensagens trocadas entre os objetos.
C - Exibir uma “fotografia” do sistema em certo momento, demonstrando as ligações formadas entre objetos conforme interagem e de acordo com os valores dos seus atributos.
D - Mostrar as ações e decisões que ocorrem enquanto uma dada função é executada.
Assinale a alternativa que associa corretamente o objetivo ao tipo de diagrama correspondente.
Provas
Questão presente nas seguintes provas
Cadernos
Caderno Container