Foram encontradas 64 questões.
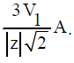
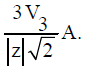
Uma carga linear trifásica balanceada de impedância z=z(w) por fase, ligada em Y, é alimentada por um sistema trifásico, também ligado em Y, cujas tensões de fase são, em volt, dadas por (1).

Nesta situação, se os neutros (centros) de cada estrela forem interligados através de um condutor ideal, é de se esperar a presença de uma corrente elétrica eficaz, neste condutor, de
Provas
Questão presente nas seguintes provas
Instrução: A questão refere-se ao texto abaixo.
A preocupação com o tratamento dado aos animais que nos servem de alimento tem origem em um questionamento ainda maior, ao qual a ciência tenta dar uma resposta: seriam os bichos capazes de desenvolver algum tipo de sentimento ou inteligência? Estudos recentes revelam que o cérebro de alguns animais processa tarefas antes atribuídas apenas a seres humanos. Já se sabe que os elefantes adotam um comportamento semelhante ao luto quando um integrante da manada morre. Pássaros como o corvo sabem confeccionar e usar ferramentas para construir seus ninhos. Ratos tendem a imitar os movimentos de outros membros da espécie ao vê-los se contorcer de dor. O exemplo mais notável de animal que apresenta um tipo de inteligência evoluída é o bonobo, um membro da família dos chimpanzés. Cientistas americanos conseguiram que um exemplar desses primatas desenvolvesse um sistema complexo de comunicação. Ele compreende cerca de 380 palavras e, por meio de um tabuleiro com cartões coloridos, as ordena de modo a compor frases. O bonobo também consegue expressar noções de tempo e grandeza.
Com isso, os defensores dos animais ganharam mais argumentos para tentar mudar as leis a favor de seus protegidos. Há dois anos, o Parlamento espanhol estendeu alguns direitos humanos a chimpanzés, gorilas, orangotangos e, claro, bonobos. O país das touradas decidiu que os primatas não podem ser torturados nem mortos (salvo em casos de defesa contra ataque). “Quando o homem começa a perceber que os animais têm algumas características semelhantes às suas, fica menos suscetível a submetê-los a tratamentos que resultem em dor ou sofrimento”, disse a VEJA a advogada americana Pamela Frasch, especialista em legislação dos direitos dos animais."
Adaptado de: Sinais de Inteligência. Revista Veja,
8/10/2010, edição 2181, p. 129 Disponível em
http://veja.abril.com.br/acervodigital/home.aspx. Acessado
em 16/1/2013.
Assinale a alternativa em que o segmento extraído do texto está corretamente classificado quanto à sua função sintática.
Provas
Questão presente nas seguintes provas
Instrução: A questão refere-se ao texto abaixo.
Tenho medo da palavra "prático". Sempre me parece que o que é prático nos tira alguma coisa.
Acho que tudo começou no dia em que cheguei da escola e vi cortado o abacateiro do quintal da minha infância.
"É mais prático. Suja muito" – disse minha avó.
Eu não podia acreditar. Já não bastava terem cimentado o gramadinho onde eu fazia incríveis florestas, agora eu teria apenas aquele toco no meio do cimento para sentar. Francamente! Não gosto do que é prático. Prático me parece mínimo, sem detalhes. E Deus mora nos detalhes.
No mês passado, estive em temporada no centro do Rio. Fazia tempo que eu não andava por lá. Tentei achar um restaurante __________ eu costumava ir almoçar com meu pai. Era uma dessas tabernas da Lapa, pequenas, baratas e com comida maravilhosa – vinda de uma senhora portuguesa escondida na cozinha.
Procurei loucamente pelas ruazinhas atrás da Cinelândia e quis gritar de alegria quando vi o mesmo letreiro ainda na porta.
O lugar era o mesmo, mas tinha sido __________, os quadros, retirados das paredes e a comida, agora, era cobrada a quilo. Uma fila para servir, outra para pesar, bandejas, talheres ensacados, __________ de sal e nem sequer um caldeirão de caldo verde ou uma lasca de bacalhau que fosse no bufê.
Achei que tinha mudado o dono e apenas mantido o nome, mas, quando olhei pelo quadradinho que dava pra cozinha, lá estava, curiosamente, a mesma senhora, castigada pelo tempo e pelo que é mais prático e econômico.
Lembrei-me da minha avó. Também prática. Também portuguesa. Quando mandou cortar o abacateiro ainda fazia sua própria massa de pastel. Viva fosse, talvez já tivesse se rendido à massa pronta, comprada no supermercado. Teria meu perdão. Quem pode resistir ao que é mais prático e econômico num mundo que justifica tudo pelo custo e pela eficiência?
Mas será que preciso mesmo ficar sacudindo travesseirinhos de sal úmido pelas mesas? Não consigo dizer __________ uma coisa tão banal me provoca tanto mal-estar, mas sei exatamente o conforto que me dá um guardanapo de pano furadinho num restaurante decadente que não se rendeu ao bufê a quilo.
A felicidade não é prática e econômica. A felicidade mora nos becos. Quer coisa mais prática e econômica do que uma sala iluminada por uma lâmpada fluorescente? Quer coisa mais triste?
Se tivesse ido ao restaurante para jantar, acho que choraria na calçada.
Adaptado de: FRAGA, Denise. Precisar, não precisa. Folha
de São Paulo, 24/7/2012. Disponível em
http://www1.folha.uol.com.br/colunas/denisefraga/11245
96-precisar-nao-precisa.shtml. Acessado em 20/1/2013.
Assinale a alternativa que completa correta e respectivamente as lacunas das linhas 15, 23, 26 e 43.
Provas
Questão presente nas seguintes provas
Em relação aos pedidos de reconsideração, considere as afirmativas abaixo à luz do Regimento Geral da UFRGS.
I - De ato ou decisão de autoridade ou órgão da Universidade cabe, por iniciativa do interessado, pedido de reconsideração, fundamentado na alegação de não consideração de elementos passíveis de exame quando da decisão.
II - O pedido de reconsideração deverá ser interposto no prazo de 5 (cinco) dias contados a partir da data de ciência pessoal do ato ou decisão, ou de sua divulgação oficial por edital ou publicação em órgão de comunicação interno ou externo à Universidade.
III - O recurso de reconsideração, em todos os casos e sem exceção, terá efeito suspensivo.
Quais estão corretas?
Provas
Questão presente nas seguintes provas
Considere a figura abaixo em relação à norma Instalações Elétricas de Baixa Tensão NBR 5410.

O esquema de aterramento representado é
Provas
Questão presente nas seguintes provas
A frequência das correntes rotóricas de um motor assíncrono trifásico de 6 polos, 50 Hz, com escorregamento 2%, é igual a
Provas
Questão presente nas seguintes provas
De acordo com norma Iluminância de Interiores NBR 5413, o fator que não é determinante de iluminamento adequado é
Provas
Questão presente nas seguintes provas
Tanto as chaves como os disjuntores são dispositivos que permitem conectar ou desconectar dois condutores que fazem parte de uma rede de energia elétrica. Com base nessa premissa, considere as seguintes afirmações.
I - A posição aberta corresponde a uma impedância idealmente nula, enquanto que a posição fechada corresponde a um circuito aberto.
II - Os disjuntores são dispositivos que servem de proteção ao sistema da rede em que operam.
III - As chaves, manuais ou mecânicas, são utilizadas para modificar a configuração do sistema a fim de atender situações de manutenção.
Quais estão corretas?
Provas
Questão presente nas seguintes provas
Instrução: A questão refere-se ao texto abaixo.
A preocupação com o tratamento dado aos animais que nos servem de alimento tem origem em um questionamento ainda maior, _____ qual a ciência tenta dar uma resposta: seriam os bichos capazes de desenvolver algum tipo de sentimento ou inteligência? Estudos recentes revelam que o cérebro de alguns animais processa tarefas antes atribuídas apenas a seres humanos. Já se sabe que os elefantes adotam um comportamento semelhante ao luto quando um integrante da manada morre. Pássaros como o corvo sabem confeccionar e usar ferramentas para construir seus ninhos. Ratos tendem a imitar os movimentos de outros membros da espécie ao vê-los se contorcer de dor. O exemplo mais notável de animal que apresenta um tipo de inteligência evoluída é o bonobo, um membro da família dos chimpanzés. Cientistas americanos conseguiram que um exemplar desses primatas desenvolvesse um sistema complexo de comunicação. Ele compreende cerca de 380 palavras e, por meio de um tabuleiro com cartões coloridos, as ordena de modo _____ compor frases. O bonobo também consegue expressar noções de tempo e grandeza.
Com isso, os defensores dos animais ganharam mais argumentos para tentar mudar as leis a favor de seus protegidos. _____ dois anos, o Parlamento espanhol estendeu alguns direitos humanos a chimpanzés, gorilas, orangotangos e, claro, bonobos. O país das touradas decidiu que os primatas não podem ser torturados nem mortos (salvo em casos de defesa contra ataque). “Quando o homem começa a perceber que os animais têm algumas características semelhantes às suas, fica menos suscetível a submetê-los a tratamentos que resultem em dor ou sofrimento”, disse _____ VEJA a advogada americana Pamela Frasch, especialista em legislação dos direitos dos animais."
Adaptado de: Sinais de Inteligência. Revista Veja,
8/10/2010, edição 2181, p. 129 Disponível em
http://veja.abril.com.br/acervodigital/home.aspx. Acessado
em 16/1/2013.
Assinale a alternativa que completa correta e respectivamente as lacunas das linhas.
Provas
Questão presente nas seguintes provas
Um transformador monofásico 10000 / 200 V, 50 kVA apresenta impedância porcentual de 5%. Estando os terminais secundários em curto-circuito, a tensão primária necessária para fazer circular a corrente nominal no secundário é
Provas
Questão presente nas seguintes provas
Cadernos
Caderno Container