Foram encontradas 60 questões.
- Espécies TributáriasImpostosImpostos Municipais/DFImposto sobre Serviços de Qualquer Natureza - ISSQN
Os autônomos recolhem o Imposto Sobre Serviços (ISS) em montante equivalente ao percentual do valor do serviço prestado.
Provas
A calibração de instrumentos, a determinação do branco de uma amostra e o uso de métodos de análise independentes são alternativas utilizadas para a redução dos erros indeterminados.
Provas
Estabilidade térmica, volatilidade e possibilidade de derivatização são pré-requisitos para que as amostras sejam analisadas por CLAE (Cromatografia Líquida de Alta Eficiência).
Provas
Na cromatografia gasosa, a separação ocorre em função dos mecanismos de adsorção ou partição entre fase estacionária — sólido ou líquido — e fase gasosa.
Provas
A medida da quantidade de energia emitida por átomos termicamente excitados é objeto de estudo da espectroscopia de absorção atômica.
Provas
A potenciometria se aplica à determinação de constantes de equilíbrio termodinâmicas — Ka, Kb, Kps.
Provas

A figura pode representar a curva de titulação do ácido fosfórico pelo hidróxido de sódio.
Provas
Foram precipitados 0,45g de PbCl2 quando 10mL de uma solução contendo Cl− foi tratada com excesso de Pb(NO3)2, o que leva à conclusão de que a molaridade do Cl−, presente na amostra desconhecida, foi 0,08M.
Provas
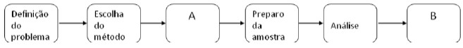
Objeto da análise, quantidade disponível de amostra e nível de concentração do analito são fatores importantes que devem ser observados pelo analista, quando da escolha do método de análise.
Provas

As etapas A e B do processo analítico descrito podem ser identificadas, respectivamente, como Amostragem e Eliminação de interferentes.
Provas
Caderno Container