Foram encontradas 40 questões.
- Código PenalCrimes Contra a Administração PúblicaPraticados por Funcionário PúblicoConcussão e Excesso de Exação
Assinale a alternativa que corresponde ao crime previsto no Art. 316 do Código Penal brasileiro, o qual é assim
tipificado: “Exigir, para si ou para outrem, direta ou indiretamente, ainda que fora da função ou antes de assumi-la,
mas em razão dela, vantagem indevida”.
Provas
Questão presente nas seguintes provas
Acerca da capacidade civil, conforme disciplinada no Código Civil brasileiro, assinale a alternativa correta.
Provas
Questão presente nas seguintes provas
Uma das atribuições fundamentais de um engenheiro civil de obras ou engenheiro civil fiscal de obras é conhecer
corretamente as exigências e requisitos da edificação para situações de emergência. A norma atualmente em vigor
que trata destas questões é a ABNT NBR 9077/2001: Saídas de emergência em edifícios. De acordo com as premissas
desta norma é correto afirmar:
Provas
Questão presente nas seguintes provas
- Arquitetura na Engenharia Civil
- Normas e LegislaçõesNBRsNBR 9.050: Acessibilidade na Construção Civil
Espaços edificados para uso tanto privado como público devem obedecer a certos limites e definições que levam
em conta a mobilidade e a acessibilidade, entre outros fatores, para seus usuários. Considerando as premissas da
ABNT NBR 9050/2015, acessibilidade a edificações, mobiliário, espaços e equipamentos urbanos, assinale a
alternativa correta.
Provas
Questão presente nas seguintes provas
Especifique a seção do condutor comercial de cobre, utilizando o método da capacidade de condução de corrente,
com corrente corrigida, conforme ABNT NBR 5410 de acordo com o método de instalação, para uma instalação elétrica
de baixa tensão de um circuito monofásico com potência de 8300 W (fase-neutro, instalação de 127 V, isolação de P.V.C.
e fator de potência total do circuito, FP, de 0,9) e que passa por um eletroduto (de 2 circuitos, k3 = 0,7) embutido na
alvenaria (k2 = 1,0). Considere a temperatura ambiente de 40º (k1 = 0,9), o método de instalação B1 e 3 condutores
carregados. A relação entre a seção do condutor e a capacidade de condução de corrente corrigida pode ser estimada
pela tabela 36 da ABNT NBR 5410.
De acordo com as informações apresentadas, assinale a alternativa que apresenta a correta seção do condutor comercial de cobre especificada (use 1 casa decimal apenas em seus cálculos, arredondando quando necessário).
De acordo com as informações apresentadas, assinale a alternativa que apresenta a correta seção do condutor comercial de cobre especificada (use 1 casa decimal apenas em seus cálculos, arredondando quando necessário).
Provas
Questão presente nas seguintes provas
- Arquitetura na Engenharia CivilProjetos de Arquitetura
- Estruturas
- Resistência dos Materiais e Análise EstruturalEstruturas de Concreto
Um projeto estrutural fictício estipula o uso de um concreto de classe C35 com diâmetro máximo do agregado graúdo
de 25 mm e abatimento de 70 ± 10 mm. Assinale a alternativa que representa o correto traço que define a dosagem
para este concreto utilizando a seguinte simplificação do método da ABCP:
1. A condição de preparo é a B: a resistência de dosagem do concreto requerida em 28 dias, fc28, é obtida pela aproximadamente pela equação: fc28 = fck + 9 MPa;
2. O fator água/cimento, fac, pode ser determinado aproximadamente para o abatimento de 70 mm ± 10 mm pela tabela:
3. O consumo de água estimado, Ca, é função do diâmetro máximo do agregado graúdo, dmax, e do abatimento, podendo ser obtido pela tabela:
4. O consumo de cimento, Cc, é determinado pelo fator água/cimento em kg/m 3 , sendo a massa específica do cimento, mec, de 3000 kg/m 3 ;
5. O módulo de finura da agregado miúdo, MF, é de 3,0 e sua massa específica, mem, é de 2580 kg/m 3 ;
6. A massa unitária compactada do agregado graúdo, mug, é de 1550 kg/m 3 , e a massa específica, mag, é de 2720 kg/m 3 ;
7. O consumo de agregado graúdo, Cag, pode ser aproximado pela multiplicação da sua massa unitária compactada, mug, pela sua porcentagem, definida conforme a tabela:
8. O consumo de agregado miúdo, Cam, é a multiplicação da massa específica de agregado miúdo pela subtração da unidade da soma das relações dos consumos de cimento, agregado graúdo e água pelas suas respectivas massas específicas e pode ser obtido pela equação:
Considere massa específica da água, maa, de 1000 kg/m 3 . Use sempre 2 (duas) casas decimais em seus cálculos, arredondando sempre que for necessário.
1. A condição de preparo é a B: a resistência de dosagem do concreto requerida em 28 dias, fc28, é obtida pela aproximadamente pela equação: fc28 = fck + 9 MPa;
2. O fator água/cimento, fac, pode ser determinado aproximadamente para o abatimento de 70 mm ± 10 mm pela tabela:
3. O consumo de água estimado, Ca, é função do diâmetro máximo do agregado graúdo, dmax, e do abatimento, podendo ser obtido pela tabela:
4. O consumo de cimento, Cc, é determinado pelo fator água/cimento em kg/m 3 , sendo a massa específica do cimento, mec, de 3000 kg/m 3 ;
5. O módulo de finura da agregado miúdo, MF, é de 3,0 e sua massa específica, mem, é de 2580 kg/m 3 ;
6. A massa unitária compactada do agregado graúdo, mug, é de 1550 kg/m 3 , e a massa específica, mag, é de 2720 kg/m 3 ;
7. O consumo de agregado graúdo, Cag, pode ser aproximado pela multiplicação da sua massa unitária compactada, mug, pela sua porcentagem, definida conforme a tabela:
8. O consumo de agregado miúdo, Cam, é a multiplicação da massa específica de agregado miúdo pela subtração da unidade da soma das relações dos consumos de cimento, agregado graúdo e água pelas suas respectivas massas específicas e pode ser obtido pela equação:
Considere massa específica da água, maa, de 1000 kg/m 3 . Use sempre 2 (duas) casas decimais em seus cálculos, arredondando sempre que for necessário.
Provas
Questão presente nas seguintes provas
Determine a altura aproximada da linha neutra medida a partir da fibra mais encurtada de uma viga biapoiada de 3,0 m
de comprimento, considerando flexão simples e as premissas de resistência da peça do estado limite último para o
domínio 3 de ruptura. A viga foi moldada em concreto C35 (fcd = 5/2 kN/cm
2
), possui 50 cm de altura por 20 cm de
largura e foi armada com 3 barras de aço CA-50 (fyd = 1000/23 kN/cm
2
) de 32 mm de diâmetro na tração. O cobrimento
nominal destas armaduras é de 5/2 cm, e a bitola do estribo de 5 mm. Desconsidere o peso próprio da viga, considere
o diagrama simplificado de compressão no concreto definido pela ABNT NBR 6118/2014 e use π = 3.
Dica: a resultante das tensões de compressão do concreto é igual à resultante das tensões de tração nas armaduras, considerando que a resultante é uma força e que a tensão é esta força sobre sua respectiva área de atuação. Use frações.
Dica: a resultante das tensões de compressão do concreto é igual à resultante das tensões de tração nas armaduras, considerando que a resultante é uma força e que a tensão é esta força sobre sua respectiva área de atuação. Use frações.
Provas
Questão presente nas seguintes provas
A rede de distribuição de água fria de um sobrado de três pavimentos (térreo, primeiro andar e ático) parte de uma
caixa d’água de 5.000 litros (com nível máximo de água em 11 m acima do barrilete). Uma das prumadas é utilizada
para a alimentação de uma bacia sanitária (peso relativo de 0,3), um chuveiro elétrico (peso relativo de 0,1) e um
lavatório para mãos (peso relativo de 0,3) no banheiro do primeiro andar. O diâmetro nominal, D, da tubulação de P.V.C.
é de 32 mm com espessura da parede de 2,1 mm (diâmetro interno de 27,8 mm). Os trechos de tubulação a partir da
saída da caixa d’água até as instalações no banheiro, com os respectivos componentes hidráulicos, seus
comprimentos equivalentes idealizados, Le, e os respectivos níveis, n, são os seguintes:
1. Caixa d’água (n = 11 m) → T de passagem lateral forro (Le = 4 m, n = 10 m, sendo o início da prumada que alimenta o banheiro): 2 m de tubulação linear;
2. T de passagem lateral forro → Registro geral do banheiro (Le = 0 m, n = 5,3 m): 4,7 m de tubulação linear;
3. Registro geral do banheiro → T de passagem lateral banheiro (Le = 4 m, n = 4,0 m): 1,3 m de tubulação linear;
4. Ramificação à direita do T de passagem lateral banheiro:
• T de passagem lateral banheiro → Lavatório para mãos (n = 4,3 m): 1,5 cm de tubulação linear e dois cotovelos a 90º (Le = 2 m);
5. Ramificação à esquerda do T de passagem lateral banheiro:
• T de passagem lateral banheiro → T de passagem direta bacia sanitária (Le = 2 m, n = 4,0 m): 1 m de tubulação linear;
• T de passagem direta bacia sanitária → Bacia sanitária (n = 3,8 m): 20 cm de tubulação linear e um cotovelo a 90º (Le = 2 m);
• T de passagem direta bacia sanitária → Chuveiro (n = 6 m): 3 m de tubulação linear, dois cotovelos à 90º (Le = 2 m) e um registro de pressão (Le = 1 m).
A vazão estimada em cm 3 /s (centímetros cúbicos por segundo) no trecho e a perda de carga unitária da tubulação em Pa/m (Pascal por metro), para um diâmetro interno de 27,8 mm, podem ser estimadas pela seguinte tabela em função da somatória dos pesos no trecho:
Considerando as informações apresentadas, assinale a alternativa que representa o correto valor da pressão residual no chuveiro elétrico (use a gravidade igual a 10 m/s 2 e a massa específica da água 1000 kg/m 3 ).
1. Caixa d’água (n = 11 m) → T de passagem lateral forro (Le = 4 m, n = 10 m, sendo o início da prumada que alimenta o banheiro): 2 m de tubulação linear;
2. T de passagem lateral forro → Registro geral do banheiro (Le = 0 m, n = 5,3 m): 4,7 m de tubulação linear;
3. Registro geral do banheiro → T de passagem lateral banheiro (Le = 4 m, n = 4,0 m): 1,3 m de tubulação linear;
4. Ramificação à direita do T de passagem lateral banheiro:
• T de passagem lateral banheiro → Lavatório para mãos (n = 4,3 m): 1,5 cm de tubulação linear e dois cotovelos a 90º (Le = 2 m);
5. Ramificação à esquerda do T de passagem lateral banheiro:
• T de passagem lateral banheiro → T de passagem direta bacia sanitária (Le = 2 m, n = 4,0 m): 1 m de tubulação linear;
• T de passagem direta bacia sanitária → Bacia sanitária (n = 3,8 m): 20 cm de tubulação linear e um cotovelo a 90º (Le = 2 m);
• T de passagem direta bacia sanitária → Chuveiro (n = 6 m): 3 m de tubulação linear, dois cotovelos à 90º (Le = 2 m) e um registro de pressão (Le = 1 m).
A vazão estimada em cm 3 /s (centímetros cúbicos por segundo) no trecho e a perda de carga unitária da tubulação em Pa/m (Pascal por metro), para um diâmetro interno de 27,8 mm, podem ser estimadas pela seguinte tabela em função da somatória dos pesos no trecho:
Considerando as informações apresentadas, assinale a alternativa que representa o correto valor da pressão residual no chuveiro elétrico (use a gravidade igual a 10 m/s 2 e a massa específica da água 1000 kg/m 3 ).
Provas
Questão presente nas seguintes provas
- Auditoria de Obras PúblicasFundação
- Estruturas
- Geotecnia
- Resistência dos Materiais e Análise Estrutural
Determine a máxima flecha de uma viga biapoiada retangular de aço MR250 submetida a uma carga concentrada de F kN
em todo os seus L cm de comprimento, considerando a hipótese de Euler-Bernouilli (a segunda variação da flecha
no comprimento da viga é igual à divisão do momento pela rigidez EI). A seção da viga é retangular, tem h de altura
e b de largura. O aço MR250 possui módulo de elasticidade de E kN/cm
2
. Desconsidere o peso próprio da viga.
Provas
Questão presente nas seguintes provas
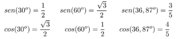
Certa caderneta de campo de um topógrafo indicava uma poligonal aberta com pontos A, B, C, D, nesta sequência,
com distâncias anotadas de 16 m entre A e B, 5 m entre B e C e 32 m entre C e D. O azimute do ponto A estava indicado
como 30º, o ângulo horizontal na direção A-B-C estava indicado como 150º, e o ângulo horizontal da direção B-C-D
como 330º. Por fim, a caderneta ainda indicava que o ângulo zenital na direção A-B era de 60º, que o ângulo de elevação
entre os pontos B e C era de -36,87º e que o ângulo de elevação entre os pontos C e D era de 30º. Assinale a alternativa
que indica os corretos valores aproximados para a elevação do ponto D em relação ao ponto A e a distância ao
quadrado entre o ponto A e o ponto D.
Provas
Questão presente nas seguintes provas
Cadernos
Caderno Container