Magna Concursos

Foram encontradas 40 questões.

Sobre as pessoas jurídicas no direito brasileiro, é correto afirmar:
 

Provas

Questão presente nas seguintes provas
Sobre a disciplina da responsabilidade civil no direito civil brasileiro, assinale a alternativa correta.
 

Provas

Questão presente nas seguintes provas

Considere os seguintes crimes contra a Administração Pública:


1. Deixar o funcionário, por indulgência, de responsabilizar subordinado que cometeu infração no exercício do cargo ou, quando lhe falte competência, não levar o fato ao conhecimento da autoridade competente.

2. Patrocinar, direta ou indiretamente, interesse privado perante a Administração Pública, valendo-se da qualidade de funcionário.

3. Exigir, para si ou para outrem, direta ou indiretamente, ainda que fora da função ou antes de assumi-la, mas em razão dela, vantagem indevida.


Assinale a alternativa que relaciona corretamente as condutas descritas e os respectivos tipos penais.

 

Provas

Questão presente nas seguintes provas
203676 Ano: 2018
Disciplina: Engenharia Mecânica
Banca: UFPR
Orgão: UFPR
Provas:
Os ferros fundidos, pelas suas características peculiares, são materiais muito importantes para o engenheiro mecânico. Mesmo os tipos mais comuns e tradicionais encontram um grande campo de aplicação. Dentre esses tipos, destacam-se o ferro fundido cinzento, o ferro fundido branco, o ferro fundido nodular e o ferro maleável. Levando em consideração os diferentes tipos de ferro fundido, assinale a alternativa correta.
 

Provas

Questão presente nas seguintes provas
203675 Ano: 2018
Disciplina: Engenharia Mecânica
Banca: UFPR
Orgão: UFPR
Provas:
Cavitação é um fenômeno que ocorre na passagem do fluido de uma zona de baixa pressão, onde bolhas de vapor podem ser formadas, para uma zona de alta pressão, onde as bolhas de vapor implodem, arrancando material do rotor. Esse fenômeno pode ocorrer devido a problemas de montagem ou mesmo à falta de manutenção. A cavitação acarreta perda de rendimento, ruído, erosão e vibração, o que pode levar a máquina de fluxo à perda total ou ao colapso da instalação. Para que esse fenômeno de cavitação possa ser solucionado, são procedimentos necessários, EXCETO:
 

Provas

Questão presente nas seguintes provas
203674 Ano: 2018
Disciplina: Engenharia Mecânica
Banca: UFPR
Orgão: UFPR
Provas:
A deformação a frio, a formação de solução sólida, o controle do tamanho do grão e a formação de precipitados constituem mecanismos de endurecimento dos materiais metálicos, haja vista tais mecanismos exercerem relação com a movimentação das discordâncias. Levando em consideração os dados apresentados, assinale a alternativa correta.
 

Provas

Questão presente nas seguintes provas
203673 Ano: 2018
Disciplina: Engenharia Mecânica
Banca: UFPR
Orgão: UFPR
Provas:
Com relação aos tipos de corrosão, é INCORRETO afirmar:
 

Provas

Questão presente nas seguintes provas
203672 Ano: 2018
Disciplina: Engenharia Mecânica
Banca: UFPR
Orgão: UFPR
Provas:
Considere o ciclo termodinâmico de uma máquina frigorífica que opera em regime permanente e sem variações de energia cinética e potencial, cuja carga térmica que o evaporador deve retirar é de 10 kW. O fluido refrigerante entra no compressor adiabático com uma entalpia de 100 kJ/kg e 1 bar de pressão, e é comprimido a uma pressão de 10 bar e uma entalpia correspondente de 120 kJ/kg. O fluido é então condensado à pressão constante até o estado de líquido saturado, em que a entalpia específica cai para 50 kJ/kg. Após o condensador, o fluido passa por uma válvula de expansão isentálpica, que faz a pressão cair para a pressão do evaporador. Com base nessas informações, o coeficiente de performance do sistema frigorífico (β) é:
 

Provas

Questão presente nas seguintes provas
203671 Ano: 2018
Disciplina: Engenharia Mecânica
Banca: UFPR
Orgão: UFPR
Provas:

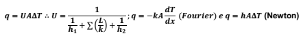
Considere um forno cujo ambiente interno deve ser mantido a 308 °C, com coeficiente de convecção natural de 10 W/m²K. A parede do forno possui uma área total de 5 m² e é composta por duas chapas metálicas de 10 mm de espessura, com condutividade térmica de 50 W/mK recheadas com um material isolante de 20 mm de espessura e condutividade térmica de 1 W/m²K. O ambiente externo está a uma temperatura de 20 °C, com um coeficiente convectivo forçado de 50 W/m²K. A transferência de calor por radiação pode ser desprezada. As expressões de calor utilizando o conceito fundamental de resistências térmicas, a lei de Fourier e a Lei do resfriamento de Newton são:

Enunciado 203671-1

Assinale a alternativa que indica o calor transferido aproximado e a temperatura aproximada da parede externa.

 

Provas

Questão presente nas seguintes provas
203670 Ano: 2018
Disciplina: Engenharia Mecânica
Banca: UFPR
Orgão: UFPR
Provas:

Uma barra reta maciça de aço é mantida em repouso pela ação de duas ponteiras muito rígidas que a comprimem – conforme ilustra a figura abaixo –, de modo que as ponteiras fazem o papel de um apoio fixo. Os eixos das ponteiras ( e, d na figura) e a linha de centroides da barra ( c na figura) são paralelos entre si e há uma regulagem que permite eventualmente alinhá-los sem comprometer a rigidez das ponteiras.

Enunciado 203670-1

Com base nessa descrição, a respeito das tensões que ocorrem numa seção transversal da barra suficientemente afastada das extremidades, é correto afirmar que:

 

Provas

Questão presente nas seguintes provas