Foram encontradas 50 questões.
Assinale a opção que, em álgebra relacional, representa uma projeção:
Provas
Questão presente nas seguintes provas
Assinale a alternativa CORRETA com relação ao modelo espiral.
Provas
Questão presente nas seguintes provas
Associe o número da porta TCP com a sua descrição e assinale a alternativa que descreve corretamente essa relação.
| Porta | |
| I | 25 |
| II | 21 |
| III | 23 |
| IV | 80 |
| Descrição | |
| 1 | SMTP |
| 2 | FTP |
| 3 | Servidor da Web (HTTP) |
| 4 | Servidor de telnet |
Provas
Questão presente nas seguintes provas
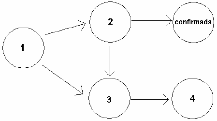
A figura abaixo representa o Diagrama de Estado de uma transação. Os números 1, 2, 3 e 4 podem ser substituídos respectivamente por:

Provas
Questão presente nas seguintes provas
Considerando o grafo de precedência da figura abaixo, assinale a alternativa CORRETA.

Provas
Questão presente nas seguintes provas
Somos um país de analfabetos
Lya Luft (Revista Veja, 1º de outubro de 2008)
Segundo pesquisa do confiável IBGE, estamos num vergonhoso lugar entre os países da América Latina, no que diz respeito à alfabetização. O que nos faltou e tanto nos falta ainda? Posso dizer que tem sobrado ufanismo. Não somos os melhores, não somos invulneráveis, somos um país emergente, com riquezas ainda nem descobertas, outras mal administradas. Somos um povo resistente e forte, capaz de uma alegria e fraternidade que as quadrilhas, o narcotráfico e a assustadora violência atuais não diminuem. Um povo com uma rara capacidade de improvisação positiva, esperança e honradez.
O sonho de morar fora daqui para escapar não vale. Na velha e sisuda Europa não há um sol como este. Lá não se ri, não se abraça como aqui. Eles trabalham mais e ganham mais, é verdade. A pobreza por lá é menos pobre. O salário-desemprego é tão bom que, infelizmente, muitos decidem viver só com ele: o mercado de trabalho lá também é cruel, e com os estrangeiros, nem se fala. Em muitas coisas somos muito melhores.
Mas somos um país analfabeto. Alfabetizado não é, já disse e escrevo frequentemente, aquele que assina seu nome, mas quem assina um documento que leu e compreendeu. A verdadeira democracia tem de oferecer a todos esse direito, pois ler e escrever, como pensar, questionar e escolher, é um direito. É questão de dignidade. Quando eu era professora universitária, na década de 70, já recebíamos nas faculdades vários alunos que mal conseguiam escrever uma frase e expor um pensamento claro. “Eu sei, mas não sei como dizer nem escrever isso” é uma desculpa pobre. Não preciso ser intelectual, mas devo poder redigir ao menos um breve texto decente e claro. Preciso ser bem alfabetizado, isto é, usar meu instrumento de expressão completo, falado e escrito, dentro do meu nível de vida e do nível de vida do meu grupo.
Para isso, é essencial uma boa escola desde os primeiros anos, dever inenarrável do estado. Não me digam que todas as comunidades têm escolas e que estas têm o necessário para um ensino razoável, para que até o mais pobre e esquecido no mais esquecido e pobre recanto possa se tornar um cidadão inteiro e digno, com acesso à leitura e à escrita, isto é, à informação. Um sujeito capaz de fazer boas escolhas de vida, pronto para se sustentar e que, na grave hora de votar, sabe o que está fazendo. Enquanto alardeamos façanhas, descobertas, ganhos e crescimento econômico, a situação nesse campo está cada vez pior. Muito menos pessoas se alfabetizam de verdade; dos poucos que chegam ao 2º grau e dos pouquíssimos que vão à universidade, muitos não saem de lá realmente formados. Entram na profissão incapazes de produzir um breve texto claro. São desinteressados da leitura, mal falam direito. Não conseguem se informar nem questionar o mundo. Pouco lhes foi dado, pouquíssimo lhes foi exigido.
A única saída para tamanha calamidade está no maior interesse pelo que há de mais importante num país: a educação. E isso só vai começar quando lhe derem os maiores orçamentos. Assim se mudará o Brasil, o resto é conversa fiada. Investir nisso significa criar mais oportunidades de trabalho: muito mais gente capacitada a obter salário decente. Significa saúde: gente mais bem informada não adoece por ignorância, isolamento e falta de higiene. Se ao estado cabe nos ajudar a ser capazes de saber, entender, questionar e escolher nossa vida, é nas famílias, quando podem comprar livros, que tudo começa. Família tem a ver com moralidade, atenção e afeto, mas também com a necessária instrumentação para o filho assumir um lugar decente no mundo. Nascemos nela, nela vivemos. Mas com ela também fazemos parte de um país que nos deve, a todos, uma educação ótima. Ela trará consigo muito de tudo aquilo que nos falta.
Coloque F (Falso) ou V (Verdadeiro) para as afirmativas relacionadas ao gênero e à tipologia de textos.
I. Quanto ao gênero, o texto Somos um país de analfabetos é um depoimento e quanto à tipologia é expositivo, porque a autora conta suas experiências como professora e dá uma aula sobre educação.
II. O texto Somos um país de analfabetos é, quanto ao gênero, injuntivo, porque prescreve a saída para a crise educacional brasileira.
III. O texto de Lua Luft é argumentativo quanto ao tipo e um artigo quanto ao gênero porque é, respectivamente, a forma usual de produção em periódicos e se caracteriza pela expressão de um parecer sobre algum acontecimento ou fato da realidade.
IV. A sequência expositiva objetiva a aquisição de conhecimento novo, mas não faz a defesa de uma ideia com argumentos, tendo-se como exemplo o texto Somos um país de analfabetos.
V. O texto de Lya Luft não é descritivo, sequer narrativo porque não se caracteriza pela apresentação pura e simples da coisa descrita nem é marcada pela cronologia e pelo emprego predominante do verbo no pretérito.
Provas
Questão presente nas seguintes provas
Muitos sistemas fornecem suporte a threads de usuário e de kernel, resultando em diferentes modelos de multithreading. Com relação às diferentes formas de implementação desses modelos, pode-se afirmar:
Provas
Questão presente nas seguintes provas
Com relação às características da linguagem JAVA, assinale a opção INCORRETA.
Provas
Questão presente nas seguintes provas
Somos um país de analfabetos
Lya Luft (Revista Veja, 1º de outubro de 2008)
Segundo pesquisa do confiável IBGE, estamos num vergonhoso lugar entre os países da América Latina, no que diz respeito à alfabetização. O que nos faltou e tanto nos falta ainda? Posso dizer que tem sobrado ufanismo. Não somos os melhores, não somos invulneráveis, somos um país emergente, com riquezas ainda nem descobertas, outras mal administradas. Somos um povo resistente e forte, capaz de uma alegria e fraternidade que as quadrilhas, o narcotráfico e a assustadora violência atuais não diminuem. Um povo com uma rara capacidade de improvisação positiva, esperança e honradez.
O sonho de morar fora daqui para escapar não vale. Na velha e sisuda Europa não há um sol como este. Lá não se ri, não se abraça como aqui. Eles trabalham mais e ganham mais, é verdade. A pobreza por lá é menos pobre. O salário-desemprego é tão bom que, infelizmente, muitos decidem viver só com ele: o mercado de trabalho lá também é cruel, e com os estrangeiros, nem se fala. Em muitas coisas somos muito melhores.
Mas somos um país analfabeto. Alfabetizado não é, já disse e escrevo frequentemente, aquele que assina seu nome, mas quem assina um documento que leu e compreendeu. A verdadeira democracia tem de oferecer a todos esse direito, pois ler e escrever, como pensar, questionar e escolher, é um direito. É questão de dignidade. Quando eu era professora universitária, na década de 70, já recebíamos nas faculdades vários alunos que mal conseguiam escrever uma frase e expor um pensamento claro. “Eu sei, mas não sei como dizer nem escrever isso” é uma desculpa pobre. Não preciso ser intelectual, mas devo poder redigir ao menos um breve texto decente e claro. Preciso ser bem alfabetizado, isto é, usar meu instrumento de expressão completo, falado e escrito, dentro do meu nível de vida e do nível de vida do meu grupo.
Para isso, é essencial uma boa escola desde os primeiros anos, dever inenarrável do estado. Não me digam que todas as comunidades têm escolas e que estas têm o necessário para um ensino razoável, para que até o mais pobre e esquecido no mais esquecido e pobre recanto possa se tornar um cidadão inteiro e digno, com acesso à leitura e à escrita, isto é, à informação. Um sujeito capaz de fazer boas escolhas de vida, pronto para se sustentar e que, na grave hora de votar, sabe o que está fazendo. Enquanto alardeamos façanhas, descobertas, ganhos e crescimento econômico, a situação nesse campo está cada vez pior. Muito menos pessoas se alfabetizam de verdade; dos poucos que chegam ao 2º grau e dos pouquíssimos que vão à universidade, muitos não saem de lá realmente formados. Entram na profissão incapazes de produzir um breve texto claro. São desinteressados da leitura, mal falam direito. Não conseguem se informar nem questionar o mundo. Pouco lhes foi dado, pouquíssimo lhes foi exigido.
A única saída para tamanha calamidade está no maior interesse pelo que há de mais importante num país: a educação. E isso só vai começar quando lhe derem os maiores orçamentos. Assim se mudará o Brasil, o resto é conversa fiada. Investir nisso significa criar mais oportunidades de trabalho: muito mais gente capacitada a obter salário decente. Significa saúde: gente mais bem informada não adoece por ignorância, isolamento e falta de higiene. Se ao estado cabe nos ajudar a ser capazes de saber, entender, questionar e escolher nossa vida, é nas famílias, quando podem comprar livros, que tudo começa. Família tem a ver com moralidade, atenção e afeto, mas também com a necessária instrumentação para o filho assumir um lugar decente no mundo. Nascemos nela, nela vivemos. Mas com ela também fazemos parte de um país que nos deve, a todos, uma educação ótima. Ela trará consigo muito de tudo aquilo que nos falta.
Relacione as colunas, considerando as figuras e os vícios de linguagem presentes nas sentenças à esquerda.
| 1. O alfabetizado não é aquele que assina seu nome. | ( ) elipse |
| 2. Não somos os melhores, não somos invulneráveis. | ( ) anadiplose |
| 3. Entram na profissão incapazes de produzir um breve texto claro. | ( ) pleonasmo |
| 4.“... para que até o mais pobre e esquecido no mais esquecido e pobre recanto...” | ( ) metonímia |
| 5. A educação trará consigo muito de tudo aquilo que nos falta. | ( ) anáfora |
Provas
Questão presente nas seguintes provas
Somos um país de analfabetos
Lya Luft (Revista Veja, 1º de outubro de 2008)
Segundo pesquisa do confiável IBGE, estamos num vergonhoso lugar entre os países da América Latina, no que diz respeito à alfabetização. O que nos faltou e tanto nos falta ainda? Posso dizer que tem sobrado ufanismo. Não somos os melhores, não somos invulneráveis, somos um país emergente, com riquezas ainda nem descobertas, outras mal administradas. Somos um povo resistente e forte, capaz de uma alegria e fraternidade que as quadrilhas, o narcotráfico e a assustadora violência atuais não diminuem. Um povo com uma rara capacidade de improvisação positiva, esperança e honradez.
O sonho de morar fora daqui para escapar não vale. Na velha e sisuda Europa não há um sol como este. Lá não se ri, não se abraça como aqui. Eles trabalham mais e ganham mais, é verdade. A pobreza por lá é menos pobre. O salário-desemprego é tão bom que, infelizmente, muitos decidem viver só com ele: o mercado de trabalho lá também é cruel, e com os estrangeiros, nem se fala. Em muitas coisas somos muito melhores.
Mas somos um país analfabeto. Alfabetizado não é, já disse e escrevo frequentemente, aquele que assina seu nome, mas quem assina um documento que leu e compreendeu. A verdadeira democracia tem de oferecer a todos esse direito, pois ler e escrever, como pensar, questionar e escolher, é um direito. É questão de dignidade. Quando eu era professora universitária, na década de 70, já recebíamos nas faculdades vários alunos que mal conseguiam escrever uma frase e expor um pensamento claro. “Eu sei, mas não sei como dizer nem escrever isso” é uma desculpa pobre. Não preciso ser intelectual, mas devo poder redigir ao menos um breve texto decente e claro. Preciso ser bem alfabetizado, isto é, usar meu instrumento de expressão completo, falado e escrito, dentro do meu nível de vida e do nível de vida do meu grupo.
Para isso, é essencial uma boa escola desde os primeiros anos, dever inenarrável do estado. Não me digam que todas as comunidades têm escolas e que estas têm o necessário para um ensino razoável, para que até o mais pobre e esquecido no mais esquecido e pobre recanto possa se tornar um cidadão inteiro e digno, com acesso à leitura e à escrita, isto é, à informação. Um sujeito capaz de fazer boas escolhas de vida, pronto para se sustentar e que, na grave hora de votar, sabe o que está fazendo. Enquanto alardeamos façanhas, descobertas, ganhos e crescimento econômico, a situação nesse campo está cada vez pior. Muito menos pessoas se alfabetizam de verdade; dos poucos que chegam ao 2º grau e dos pouquíssimos que vão à universidade, muitos não saem de lá realmente formados. Entram na profissão incapazes de produzir um breve texto claro. São desinteressados da leitura, mal falam direito. Não conseguem se informar nem questionar o mundo. Pouco lhes foi dado, pouquíssimo lhes foi exigido.
A única saída para tamanha calamidade está no maior interesse pelo que há de mais importante num país: a educação. E isso só vai começar quando lhe derem os maiores orçamentos. Assim se mudará o Brasil, o resto é conversa fiada. Investir nisso significa criar mais oportunidades de trabalho: muito mais gente capacitada a obter salário decente. Significa saúde: gente mais bem informada não adoece por ignorância, isolamento e falta de higiene. Se ao estado cabe nos ajudar a ser capazes de saber, entender, questionar e escolher nossa vida, é nas famílias, quando podem comprar livros, que tudo começa. Família tem a ver com moralidade, atenção e afeto, mas também com a necessária instrumentação para o filho assumir um lugar decente no mundo. Nascemos nela, nela vivemos. Mas com ela também fazemos parte de um país que nos deve, a todos, uma educação ótima. Ela trará consigo muito de tudo aquilo que nos falta.
Os itens abaixo apresentam reescrituras de passagens indicadas no texto. Julgue-as quanto à manutenção do sentido original. Assinale a alternativa que corresponde à sequência correta de itens C (certos) e E (errados).
I. Apenas a educação caracteriza o nível de desenvolvimento de uma nação. Os demais segmentos são irrelevantes. A única saída para tamanha calamidade está no maior interesse pelo que há de mais importante num país: a educação. [...], o resto é conversa fiada. (5º §)
II. Ler, escrever, pensar, questionar e escolher são habilidades que dão dignidade ao cidadão, permitindo-lhe inserção equilibrada em seu meio. Preciso ser alfabetizado, isto é, usar meu instrumento de expressão completo, falado e escrito, dentro do meu nível de vida e do nível do meu grupo. (3º §)
III. O resultado negativo da avaliação do Brasil em relação à educação/alfabetização deve-se ao exagerado otimismo quanto às potencialidades do país. Segundo pesquisa do confiável IBGE, estamos num vergonhoso lugar entre os países da América latina, no que diz respeito à alfabetização. O que nos faltou e nos falta ainda? Posso dizer que tem sobrado ufanismo. (1º §)
IV. A educação tem o berço na família, se o estado assim o permitir. Se ao estado cabe nos ajudar a ser capazes de saber, entender, questionar e escolher nossa vida, é nas famílias, quando podem comprar livros, que tudo começa. (5º §)
Provas
Questão presente nas seguintes provas
Cadernos
Caderno Container