Foram encontradas 187 questões.
- Linguagens e Suportes MidiáticosProdução AudiovisualTeorias, Conceitos e Terminologia de Audiovisual e Cinema
Para se converter um sinal de áudio analógico para digital, são tiradas amostras (samples) do sinal a uma razão dada pela sua taxa de amostragem (sample rate). Sabemos que, por padrão, CD e DVD possuem, respectivamente, os seguintes sample rates:
Provas
Questão presente nas seguintes provas
Observe as informações da figura abaixo e considere as definições técnicas de cobertura.

A opção CORRETA que representa os elementos A, B, C e D, respectivamente, é:
Provas
Questão presente nas seguintes provas
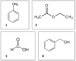
Observe as fórmulas orgânicas abaixo.

A função dos compostos orgânicos de acordo com as figuras numeradas de 1 a 4 é, respectivamente,
Provas
Questão presente nas seguintes provas
Sobre as funções orgânicas, é correto afirmar que
Provas
Questão presente nas seguintes provas
Paciente de 78 anos, masculino, com queixa de astenia e dispneia aos médios esforços, iniciadas a cerca de 8 meses e progressiva. HAS controlada, nega outros problemas de saúde. Nega uso de álcool ou tabagismo. Ao exame físico, apresenta palidez mucocutânea, FC=98 bpm e FR=20 mpm. Hemograma apresenta Hg=9,0; VCM=120; Leucócitos=3.000 e plaquetas = 90.000, vita B12= 320. Qual o diagnóstico mais provável para este caso?
Provas
Questão presente nas seguintes provas
Sabendo que as reações químicas são influenciadas pela presença de catalisadores, diminuindo a energia de ativação da reação, observe o gráfico referente à reação abaixo representada.

Respectivamente, qual a energia absorvida pela reação sem a presença do catalisador e qual a energia de ativação da reação com catalisador?
Provas
Questão presente nas seguintes provas
- Linguagens e Suportes MidiáticosProdução AudiovisualTeorias, Conceitos e Terminologia de Audiovisual e Cinema
Sobre movimentos no quadro, da câmera e da objetiva em linguagem cinematográfica, considere as afirmativas:
I) São considerados movimentos dentro do quadro aqueles com a câmera parada, mas onde as pessoas e os objetos mudam de posição, tanto lateralmente quanto afastando-se ou aproximando-se da câmera (ou numa combinação dessas duas possibilidades).
II) São considerados movimentos da câmera quando esta movimenta-se, e pode haver mudança no enquadramento, podendo ficar mais aberto, mais fechado, ou deslocar-se lateralmente ou verticalmente.
III) Tilt é o movimento de câmera em seu próprio eixo no sentido horizontal.
IV) Em um travelling ou trav, a câmera “viaja”, isto é, desloca-se, na mão do operador, sobre um carrinho, ou uma grua, em qualquer direção.
Estão corretas,
Provas
Questão presente nas seguintes provas
Entre as causas de insuficiência renal aguda, a mais comum é a azotemia pré renal, devido a hipoperfusão.
Analise as situações abaixo:
I) Nefrolitiase.
II) Uso de inibidores da ECA.
III) Depleção de volume.
IV) Insuficiência cardíaca.
V) Sepse.
II) Uso de inibidores da ECA.
III) Depleção de volume.
IV) Insuficiência cardíaca.
V) Sepse.
Quais delas são causas de hipoperfusão?
Provas
Questão presente nas seguintes provas
O projeto é o principal elemento de trabalho de um profissional da construção. É nele que se pode obter informações para sua execução. Desta forma, enumere a segunda coluna de acordo com a característica correspondente aos itens apresentado na primeira coluna.
|
1. Corte
2. Planta Baixa
3. Locação
4. Fachada
|
( ) Desenho com as informações básicas tais como cotas horizontais, destinação dos cômodos, materiais de acabamento, peças dos mobiliários ou de instalações, entre outros.
( ) Desenhos que mostram detalhes e aspectos finais da obra.
( ) Orienta o posicionamento da obra em relação a um determinado ponto ou lugar.
( ) Local onde se encontram as informações não mostradas em planta baixa, tais como as medidas verticais e outros detalhes.
|
A numeração correta da segunda coluna, de cima para baixo, é:
Provas
Questão presente nas seguintes provas
Com relação às medidas de segurança e boas práticas em laboratório, assinale a alternativa correta.
Provas
Questão presente nas seguintes provas
Cadernos
Caderno Container