Foram encontradas 715 questões.
São causas de hipernatremia, exceto:
Provas
Questão presente nas seguintes provas
Paciente masculino com 20 anos de idade, é portador de uma doença autossômica dominante com lentiginose, anormalidades de condução eletrocardiográficas, hipertelorismo ocular, estenose pulmonar, genitália anormal, retardo de crescimento e surdez neurossensorial. É muito provável que, esse paciente tenha uma mutação:
Provas
Questão presente nas seguintes provas
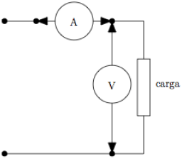
O amperímetro mede uma corrente de 3A, e o voltímetro mede uma tensão de 50V para uma carga que absorve 150W.
Determine o fator de potência da carga.

Provas
Questão presente nas seguintes provas
Dados para auxiliar a resolução da questão seguinte.
| !$ \theta !$ | !$ \mathsf{sen\theta} !$ | !$ \mathsf{cos\theta} !$ |
| !$ 0^\circ !$ | !$ 0 !$ | !$ 1 !$ |
| !$ 30^\circ !$ | !$ 1/2 !$ | !$ \sqrt{3}/2 !$ |
| !$ 45^\circ !$ | !$ \sqrt{2}/2 !$ | !$ \sqrt{2}/2 !$ |
| !$ 60^\circ !$ | !$ \sqrt{3}/2 !$ | !$ 1/2 !$ |
| !$ 90^\circ !$ | !$ 1 !$ | !$ 0 !$ |
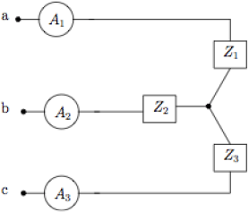
Determine a leitura do amperímetro A1 para o circuito mostrado a seguir.
O circuito é alimentado por uma fonte trifásica de 240 V, 60 Hz. Com Z1 = 3 ∠ 0ºΩ, Z2 = 3 ∠ 90ºΩ e Z3 = 3 ∠ –90ºΩ.

Provas
Questão presente nas seguintes provas
O parâmetro que define os sinais não manuais é:
Provas
Questão presente nas seguintes provas
Sobre a anafilaxia, assinale a alternativa correta.
Provas
Questão presente nas seguintes provas
Um paciente chegou à emergência com queixas de desconforto retroesternal há duas horas, seguido por sensação de lipotimia e sudorese. À admissão, estava pálido, com pulsos finos, PA 80 x 40 mmHg e FC 40 bpm. ECG revelou supradesnivelamento de ST em D II, D III e a VF.
Qual a primeira medida a ser empregada neste caso?
Provas
Questão presente nas seguintes provas
Um paciente que apresentou sangramento digestivo realizou endoscopia digestiva que encontrou úlcera na grande curvatura de antro, sem sangramento ativo, mas com vaso visível no fundo da úlcera. Qual é a classificação deste caso com relação ao risco de ressangramento?
Provas
Questão presente nas seguintes provas
São causas de dor torácica de origem esofágica, EXCETO:
Provas
Questão presente nas seguintes provas
Avalie as seguintes afirmações a respeito das propriedades do mouse, disponíveis a partir do painel de controle do sistema operacional Microsoft Windows 7.
1) Na aba Roda, é possível configurar a rolagem vertical, tanto em número de linhas de cada vez como em número de telas de cada vez.
2) Para inverter as funções dos botões esquerdo e direito, basta marcar a opção ‘Alternar entre os botões primário e secundário’ na aba Botões.
3) Na aba Opções do Ponteiro, é possível ativar a configuração para mostrar o local do ponteiro quando a tecla SHIFT for pressionada.
Está(ão) correta(s):
Provas
Questão presente nas seguintes provas
Cadernos
Caderno Container