Foram encontradas 84 questões.
Em uma excursão para a praia, ao parar em um restaurante da estrada, metade do número das pessoas almoçou. O custo do almoço foi R$ 30,00 a menos que o custo da passagem por pessoa. Se o total gasto em passagem por todos os integrantes da excursão foi de R$ 800,00 e o total gasto no restaurante foi de R$ 160,00, o número de pessoas nessa excursão foi de
Provas
Questão presente nas seguintes provas
Um mesmo produto no supermercado I estava mais caro R$ 40,00 que no supermercado II. Os dois supermercados entraram em promoção e, no supermercado I, o desconto para esse produto foi de 30% e, no supermercado II, de 10%. Dessa forma, o produto passou a ter o mesmo preço em ambos os supermercados. Se duas pessoas compraram esse produto, uma no supermercado I e outra no supermercado II, antes da promoção, as duas juntas gastaram um total de
Provas
Questão presente nas seguintes provas
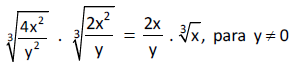
Assinale a alternativa INCORRETA.
Provas
Questão presente nas seguintes provas
Assinale a alternativa INCORRETA.
Provas
Questão presente nas seguintes provas
A tabela abaixo, adaptada de uma revista de divulgação científica, representa a porcentagem da população brasileira relativa a três faixas etárias nos anos de 1970, 1995 e 2000, e apresenta uma projeção para essas porcentagens para o ano de 2050. Baseado nessa tabela, assinale a alternativa INCORRETA.

Provas
Questão presente nas seguintes provas
Se f (x) = ax +1 , g (x) = ax + 3 e f (2) = g (2) =2 o valor da área do triângulo riscado é


Provas
Questão presente nas seguintes provas
A expressão da área do quadrado riscado é


Provas
Questão presente nas seguintes provas
Se f (x) = ax+1 , g (x) = -ax+3 e f (2) = g (2) = 2 o valor da área do triângulo riscado é


Provas
Questão presente nas seguintes provas
A expressão da área do quadrado riscado é




Provas
Questão presente nas seguintes provas
Um grupo de estudantes quer desenhar uma bandeira para representar sua turma. O desenho escolhido foi uma bandeira com quatro faixas que deveriam ser pintadas utilizando até quatro das cores azul, amarelo, verde e vermelho; as faixas vizinhas, evidentemente, não podem ter a mesma cor. O número de maneiras que essa bandeira poderá ser colorida é de


Provas
Questão presente nas seguintes provas
Cadernos
Caderno Container