Magna Concursos

Foram encontradas 60 questões.

2545918 Ano: 2017
Disciplina: Matemática
Banca: UFJF
Orgão: UFJF
Provas:
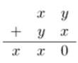
Considere x e y dois algarismos diferentes de zero, que formam números cuja soma está indicada abaixo: Enunciado 3223805-1 Quanto vale o produto de x por ?
 

Provas

Questão presente nas seguintes provas
1421833 Ano: 2017
Disciplina: Português
Banca: UFJF
Orgão: UFJF
Provas:
Texto 1
Desobediência Civil
Aldo Bizzocchi
Deveríamos nos rebelar contra injustiças linguísticas e arbitrariedades gramaticais?Se sim, como diferenciar os desobedientes dos ignorantes?
Nem tudo o que é legal é justo (segundo Gandhi, uma lei injusta é uma forma de violência). O líder indiano foi o maior expoente da desobediência civil, filosofia política formulada pelo americano Henry David Thoreau. A ideia básica dessa filosofia é a de que é justo desobedecer a leis ou a governos injustos.
Mas leis injustas (supondo que haja um critério objetivo de justiça) nem sempre são criadas por razões deliberadas; as mais das vezes, o legislador não se dá conta de todas as implicações de sua lei. Exemplo disso é a legislação tributária brasileira, que faz os pobres pagarem relativamente mais em impostos do que os ricos.
A língua também é governada por leis. A ortografia, por sinal, é objeto de regulamentação federal. Já a gramática, embora não tenha força de lei, é um conjunto de normas que exercem pressão tão coercitiva sobre os falantes, especialmente em situações formais, quanto as de uma legislação. E ortógrafos e gramáticos também erram, portanto também criam leis injustas – se não contra os falantes, pelo menos contra a língua.
É o caso daquela grafia que, embora oficial, não tem fundamento nem etimológico nem fonológico e mais cria dificuldades do que facilita a vida das pessoas. É o caso também da regra sintática obsoleta que ainda é exigida em concursos, e da concordância ou regência que atentam contra a lógica e a natureza da língua, mas são tidas como canônicas pela gramática normativa. O que fazer com elas? A desobediência civil cabe nesses casos?
Imposição
A regulamentação do idioma, embora não tenha efeito jurídico, sobretudo porque não prevê sanções cíveis ou penais a quem a transgride (exceto a reprovação em concursos), acaba sendo mais tirânica que a legislação propriamente dita. Afinal, não é possível enviar ao Congresso um projeto de lei de iniciativa popular para mudar regras de gramática. Logo, discordar dessas regras e, mais, desobedecê-las (ou desobedecer a elas, como exigem os gramáticos) constitui, na prática, um ato de desobediência civil.
Mas será que toda desobediência é justificável? De um lado, podemos ter abusos motivados por razões ideológicas, algo como “Si hay gobierno en esta tierra, yo soy contra” (“Se há governo nessa terra, sou contra”). Afinal, para os radicais, toda lei é uma forma de opressão (alguns, se pudessem, desacatariam até a lei da gravidade!). De outro lado, como distinguir entre desobediência e ignorância? Em tese, qualquer um que não saiba se expressar de acordo com a gramática pode alegar que o faz deliberadamente. Então será que todo desvio é justificável?
Rebeldia tímida
Curiosamente, os atos de desobediência deliberada em relação à língua têm um caráter muito mais conservador do que na política. E afetam mais a ortografia do que a gramática. Toda vez que ocorre uma reforma ortográfica, não são raras as vozes a se levantarem contra ela, em defesa do sistema antigo. Fernando Pessoa, por exemplo, pregava a desobediência civil à reforma de 1911. E, ainda hoje, muitos portugueses resistem ao novo acordo ortográfico.
Já os “progressistas” da língua se limitam a criticar a timidez das reformas, mas não ousam desafiá-las, abolindo por conta própria o h mudo ou coisas do gênero. E olhe que não faltam normas ruins e malfeitas em matéria de ortografia. (...)
Discórdias
E casos como o de “adequa” (ou “adéqua”, ou “adeqúa”?), que não tem uma grafia oficial (o dicionário Houaiss é um caso isolado) porque para os gramáticos essa palavra simplesmente não existe? E o hífen, pomo central da discórdia ortográfica da nossa língua, cujas normas de uso são tão herméticas quanto ilógicas? (Se antes não havia qualquer sentido na grafia “cartão-postal”, agora temos de conviver também com “conta-corrente”).
Com respeito à gramática (ou com desrespeito, se quisermos fazer um trocadilho de mau gosto), pululam os casos de regras incoerentes, que o falante, em sua ingenuidade, acaba “corrigindo”, muitas vezes sem ter consciência de que é um transgressor contumaz. BIZZOCCHI, Aldo. Desobediência Civil. Revista Língua Portuguesa.
Editora Segmento. Ano 8, n.º 85, novembro de 2012. (adaptado)
Releia o trecho: “Nem tudo o que é legal é justo (segundo Gandhi, uma lei injusta é uma forma de violência). O líder indiano foi o maior expoente da desobediência civil, filosofia política formulada pelo americano Henry David Thoreau.” A frase apresentada entre parênteses, no trecho acima, tem a função de:
 

Provas

Questão presente nas seguintes provas
1419719 Ano: 2017
Disciplina: Português
Banca: UFJF
Orgão: UFJF
Provas:
Texto 1
Desobediência Civil
Aldo Bizzocchi
Deveríamos nos rebelar contra injustiças linguísticas e arbitrariedades gramaticais?Se sim, como diferenciar os desobedientes dos ignorantes?
Nem tudo o que é legal é justo (segundo Gandhi, uma lei injusta é uma forma de violência). O líder indiano foi o maior expoente da desobediência civil, filosofia política formulada pelo americano Henry David Thoreau. A ideia básica dessa filosofia é a de que é justo desobedecer a leis ou a governos injustos.
Mas leis injustas (supondo que haja um critério objetivo de justiça) nem sempre são criadas por razões deliberadas; as mais das vezes, o legislador não se dá conta de todas as implicações de sua lei. Exemplo disso é a legislação tributária brasileira, que faz os pobres pagarem relativamente mais em impostos do que os ricos.
A língua também é governada por leis. A ortografia, por sinal, é objeto de regulamentação federal. Já a gramática, embora não tenha força de lei, é um conjunto de normas que exercem pressão tão coercitiva sobre os falantes, especialmente em situações formais, quanto as de uma legislação. E ortógrafos e gramáticos também erram, portanto também criam leis injustas – se não contra os falantes, pelo menos contra a língua.
É o caso daquela grafia que, embora oficial, não tem fundamento nem etimológico nem fonológico e mais cria dificuldades do que facilita a vida das pessoas. É o caso também da regra sintática obsoleta que ainda é exigida em concursos, e da concordância ou regência que atentam contra a lógica e a natureza da língua, mas são tidas como canônicas pela gramática normativa. O que fazer com elas? A desobediência civil cabe nesses casos?
Imposição
A regulamentação do idioma, embora não tenha efeito jurídico, sobretudo porque não prevê sanções cíveis ou penais a quem a transgride (exceto a reprovação em concursos), acaba sendo mais tirânica que a legislação propriamente dita. Afinal, não é possível enviar ao Congresso um projeto de lei de iniciativa popular para mudar regras de gramática. Logo, discordar dessas regras e, mais, desobedecê-las (ou desobedecer a elas, como exigem os gramáticos) constitui, na prática, um ato de desobediência civil.
Mas será que toda desobediência é justificável? De um lado, podemos ter abusos motivados por razões ideológicas, algo como “Si hay gobierno en esta tierra, yo soy contra” (“Se há governo nessa terra, sou contra”). Afinal, para os radicais, toda lei é uma forma de opressão (alguns, se pudessem, desacatariam até a lei da gravidade!). De outro lado, como distinguir entre desobediência e ignorância? Em tese, qualquer um que não saiba se expressar de acordo com a gramática pode alegar que o faz deliberadamente. Então será que todo desvio é justificável?
Rebeldia tímida
Curiosamente, os atos de desobediência deliberada em relação à língua têm um caráter muito mais conservador do que na política. E afetam mais a ortografia do que a gramática. Toda vez que ocorre uma reforma ortográfica, não são raras as vozes a se levantarem contra ela, em defesa do sistema antigo. Fernando Pessoa, por exemplo, pregava a desobediência civil à reforma de 1911. E, ainda hoje, muitos portugueses resistem ao novo acordo ortográfico.
Já os “progressistas” da língua se limitam a criticar a timidez das reformas, mas não ousam desafiá-las, abolindo por conta própria o h mudo ou coisas do gênero. E olhe que não faltam normas ruins e malfeitas em matéria de ortografia. (...)
Discórdias
E casos como o de “adequa” (ou “adéqua”, ou “adeqúa”?), que não tem uma grafia oficial (o dicionário Houaiss é um caso isolado) porque para os gramáticos essa palavra simplesmente não existe? E o hífen, pomo central da discórdia ortográfica da nossa língua, cujas normas de uso são tão herméticas quanto ilógicas? (Se antes não havia qualquer sentido na grafia “cartão-postal”, agora temos de conviver também com “conta-corrente”).
Com respeito à gramática (ou com desrespeito, se quisermos fazer um trocadilho de mau gosto), pululam os casos de regras incoerentes, que o falante, em sua ingenuidade, acaba “corrigindo”, muitas vezes sem ter consciência de que é um transgressor contumaz. BIZZOCCHI, Aldo. Desobediência Civil. Revista Língua Portuguesa.
Editora Segmento. Ano 8, n.º 85, novembro de 2012. (adaptado)
Leia as afirmações a seguir, referentes ao texto “Desobediência Civil”, e assinale a alternativa INCORRETA:
 

Provas

Questão presente nas seguintes provas
1415825 Ano: 2017
Disciplina: Português
Banca: UFJF
Orgão: UFJF
Provas:
Texto 2
Política e Politicalha
Rui Barbosa
A política afina o espírito humano, educa os povos no conhecimento de si mesmos, desenvolve nos indivíduos a atividade, a coragem, a nobreza, a previsão, a energia; cria, apura, eleva o merecimento.
Não é esse jogo da intriga, da inveja e da incapacidade, a que entre nós se deu a alcunha de politicagem. Esta palavra não traduz ainda todo o desprezo do objeto significado. Não há dúvida que rima bem com criadagem e parolagem, afilhadagem e ladroagem. Mas não tem o mesmo vigor de expressão que os seus consoantes. Quem lhe dará o batismo adequado? Politiquice? Politiquismo? Politicaria? Politicalha? Neste último, sim, o sufixo pejorativo queima como um ferrete, e desperta ao ouvido uma consonância elucidativa.
Política e politicalha não se confundem, não se parecem, não se relacionam uma com a outra. Antes se negam, se excluem, se repulsam mutuamente.
A política é a arte de gerir o Estado, segundo princípios definidos, regras morais, leis escritas, ou tradições respeitáveis. A politicalha é a indústria de explorar o benefício de interesses pessoais. Constitui a política uma função, ou o conjunto das funções do organismo nacional: é o exercício normal das forças de uma nação consciente e senhora de si mesma. A politicalha, pelo contrário, é o envenenamento crônico dos povos negligentes e viciosos pela contaminação de parasitas inexoráveis. A política é a higiene dos países moralmente sadios. A politicalha, a malária dos povos de moralidade estragada.
In: ROSSIGNOLI, Walter. Português: teoria e prática. São Paulo, Ed. Ática. 2004. p.19.
O texto de Rui Barbosa foi construído sob o recurso retórico da comparação entre conceitos que, no universo considerado, se opõem. As sequências a seguir atestam essa observação, EXCETO:
 

Provas

Questão presente nas seguintes provas
450508 Ano: 2017
Disciplina: Serviço Social
Banca: UFJF
Orgão: UFJF
Provas:
De acordo com Iamamoto (2007), o triunfo dos mercados é inconcebível sem a ativa intervenção das instâncias políticas dos Estados Nacionais, no lastro dos tratados internacionais como, EXCETO:
 

Provas

Questão presente nas seguintes provas
450507 Ano: 2017
Disciplina: Serviço Social
Banca: UFJF
Orgão: UFJF
Provas:
Marque a alternativa CORRETA. Segundo Freire (2003), a globalização do capital não prescinde do trabalho, mantendo-se a centralidade das relações sociais de produção para o entendimento da vida social, em escala ampliada e diversificada, visível na seguinte expressão do modo capitalista globalizado de produção:
 

Provas

Questão presente nas seguintes provas
450506 Ano: 2017
Disciplina: Serviço Social
Banca: UFJF
Orgão: UFJF
Provas:
Maranhão (2008), no artigo “Capital e superpopulação relativa: em busca das raízes contemporâneas do desemprego e do pauperismo”, afirma que: “A inserção subalterna de países periféricos, como o Brasil, na economia mundializada e financeirizada abre espaço para uma _________________________, ambiente propício para a ampliação sem precedentes da força de trabalho excedente que compõe a ________________________”. Marque a alternativa que completa corretamente as lacunas.
 

Provas

Questão presente nas seguintes provas
450505 Ano: 2017
Disciplina: Serviço Social
Banca: UFJF
Orgão: UFJF
Provas:
Marque a alternativa CORRETA. Iamamoto (2008), no artigo “Estado, classes trabalhadoras e política social no Brasil”, aponta dois elementos novos do atual contexto de liberalização e desregulamentação do capital. São eles:
 

Provas

Questão presente nas seguintes provas
450504 Ano: 2017
Disciplina: Serviço Social
Banca: UFJF
Orgão: UFJF
Provas:
Marque a alternativa CORRETA. Simionatto (2010) afirma que, ao lado do discurso participacionista, disseminado pelo Banco Mundial no final dos anos 1990, ganham ênfase na atualidade dois novos enfoques na agenda das agências internacionais para a América Latina e o Caribe. São eles:
 

Provas

Questão presente nas seguintes provas
450503 Ano: 2017
Disciplina: Serviço Social
Banca: UFJF
Orgão: UFJF
Provas:
Marque a alternativa CORRETA. Para Netto (1991), nas condições da idade do monopólio, o caráter público do enfrentamento das refrações da “questão social” incorpora:
 

Provas

Questão presente nas seguintes provas