Foram encontradas 50 questões.
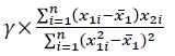
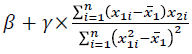
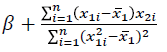
Suponha que um pesquisador postule um modelo do tipo Yi = !$ \alpha !$ + !$ \beta !$!$ x !$i + !$ \epsilon !$i = 1, 2, …, n quando, na verdade, uma variável adicional X2 também contribui linearmente para a resposta. O modelo real é dado por Yi = !$ \alpha !$ + !$ \beta !$!$ x !$1i + !$ \gamma !$!$ x !$2i + !$ \epsilon !$i, i = 1, 2, …, n.
O valor esperado do estimador a seguir é

Provas
Para estudar o que ganham os membros de certas áreas de uma faculdade com palestras, artigos e consultoria, um pesquisador entrevista seis grupos de membros de faculdades:
1. Quatro professores assistentes de matemática, do sexo masculino;
2. Quatro professores auxiliares de matemática, do sexo masculino;
3. Quatro professores auxiliares de estatística, do sexo feminino;
4. Quatro professores adjuntos de matemática, do sexo masculino;
5. Quatro professores assistentes de estatística, do sexo feminino;
6. Quatro professores adjuntos de estatística, do sexo feminino.
Combinando-se os grupos 1 e 5, grupos 2 e 3 e grupos 4 e 6, e fazendo-se uma análise de variância com = 3 grupos e = 8 repetições, obtém-se um valor significativo de . A que fontes de variação pode ser atribuído este resultado?
Provas
Para um determinado conjunto de pares de observações ( i, i) , = 1, 2,…,10, foi ajustado um modelo de regressão linear simples e a tabela ANOVA parcial é apresentada a seguir:

Neste caso, a estimativa da variância do erro 2 e o coeficiente de determinação 2 são, respectivamente:
Provas
Considere as seguintes afirmativas:
I. Se há uma chance de 5 para 3 de que o evento não ocorra, uma chance de 2 para 1 de que o evento ocorra e, uma chance de 4 para 1 de ambos não ocorram, então e são independentes.
II. Se ( ) = 0,8; ( ) = 0,95 e ( ∩ ) = 0,76 então os eventos e são independentes.
III. Se ( ) = 0 e ( ) > 0, então é independente de no sentido de que ( ∩ ) = ( ).
Assinale a alternativa correta:
Provas
Um dado equilibrado é lançado 36 vezes. Seja o número de vezes que ocorre face 1 ou 6. Então a ( 2) é:
Provas
Suponha que os conjuntos
= {3, 5, 6, 8, 9, 10, 10, 10, 11, 12, 17};
= {4, 5, 7, 10, 11, 13, 15} e
= {2, 3, 4, 5, 5, 5, 5, 6, 7, 8, 8, 8, 8, 9, 10, 11},
são amostras de uma mesma população. Considere as afirmações a seguir e responda.
I. é unimodal e a moda é 10.
II. é unimodal e a moda é 10.
III. é bimodal e a moda é 8.
Assinale a alternativa correta:
Provas
Nos dias de hoje, a poluição dos rios é um grande problema ambiental. Considere os seguintes eventos:
= { é í },
= { á çã }
= { é }.
Sabendo que ( ) = 0,3; ( !$ \mid !$ ) = 0,75; ( !$ \mid !$ c) = 0,2; ( !$ \mid !$ ∨ ) = 0,2; ( !$ \mid !$ c ∩ ) = 0,15; ( !$ \mid !$ ∩ c) = 0,8 e ( !$ \mid !$ c ∩ c) = 0,9.
Relacione as colunas a seguir:
1 – ( ∩ ∩ ) I – 0,1064
2 – ( c ∩ ) II – 0,63
3 – ( ) III – 0,564
4 – ( | ∩ ) IV – 0,045
A sequência que relaciona corretamente a coluna da direita com a coluna da esquerda é:
Provas
Seja !$ X !$ uma variável aleatório tal que a sua fgm é dada por !$ M !$x(!$ t !$) = (1 − 2!$ t !$)-!$ \theta !$/2. Então a variância de !$ X !$ é
Provas
Na comparação de 4 tratamentos com mesma variância, quais das combinações lineares a seguir são contrastes ortogonais:

Provas
A distribuição conjunta das variáveis aleatórias independentes e é parcialmente dada a seguir. A esperança e a variância de 2 − são, respectivamente.

Provas
Caderno Container