Magna Concursos

Foram encontradas 40 questões.

3811951 Ano: 2024
Disciplina: Matemática
Banca: FUNDATEC
Orgão: UERGS
Provas:

Na figura abaixo, tem-se que as retas AD, BE e CF são retas paralelas:

Enunciado 4605696-1

Considerando que AB e BC medem, respectivamente, 12 cm e 16 cm, qual é, em cm, a medida do segmento EF?

 

Provas

Questão presente nas seguintes provas
3811950 Ano: 2024
Disciplina: Raciocínio Lógico
Banca: FUNDATEC
Orgão: UERGS
Provas:
Assinale a alternativa que indica corretamente a negação da proposição “Se eu caminho, então fico cansado”
 

Provas

Questão presente nas seguintes provas
3811949 Ano: 2024
Disciplina: Matemática
Banca: FUNDATEC
Orgão: UERGS
Provas:
Dado que f(x) = x3 – 3x2 + 2x – 8 é uma função real, qual é a imagem de x = 1?
 

Provas

Questão presente nas seguintes provas
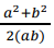
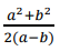
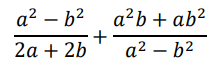
3811948 Ano: 2024
Disciplina: Matemática
Banca: FUNDATEC
Orgão: UERGS
Provas:

Assinale a alternativa que apresenta a expressão equivalente a:

Enunciado 4605693-1

 

Provas

Questão presente nas seguintes provas
3811947 Ano: 2024
Disciplina: Matemática
Banca: FUNDATEC
Orgão: UERGS
Provas:

A figura abaixo ilustra um triângulo de vértices A, B e C:

Enunciado 4605692-1

Considerando que os lados AB e AC medem, respectivamente, 6 cm e 7 cm, e que o ângulo  mede 45º, qual é, em cm2, a área do triângulo? Considere √2 = 1,4

 

Provas

Questão presente nas seguintes provas
3811946 Ano: 2024
Disciplina: Atualidades e Conhecimentos Gerais
Banca: FUNDATEC
Orgão: UERGS
Provas:

Analise a seguinte manchete, publicada no site gov.br:

Enunciado 4605691-1

O G20, também conhecido como Grupo dos Vinte, nasceu após uma sequência de crises econômicas que assolaram o mundo na década de 1990. No ano de 1999, foi criado um fórum multilateral entre países industrializados e emergentes, composto na época por ministros de finanças e presidentes de bancos centrais, que inicialmente tinha como foco debater questões econômicas e financeiras mundiais. Nesse contexto, em relação ao G20, analise as assertivas abaixo e assinale V, se verdadeiras, ou F, se falsas.

( ) São alguns dos países que integram o grupo: África do Sul, Alemanha, Argentina, Austrália, Brasil, Canadá, Estados Unidos, França, Índia, Itália, Japão, Reino Unido e Rússia.

( ) Tem como um de seus objetivos debater temas para o fortalecimento da economia internacional e desenvolvimento socioeconômico global.

( ) Desempenha um papel importante na definição e no reforço da arquitetura e da governança mundiais em todas as grandes questões econômicas internacionais.

( ) Conta com presidências rotativas anuais.

A ordem correta de preenchimento dos parênteses, de cima para baixo, é:

 

Provas

Questão presente nas seguintes provas
3811945 Ano: 2024
Disciplina: Atualidades e Conhecimentos Gerais
Banca: FUNDATEC
Orgão: UERGS
Provas:
O Nobel da Paz de 2023 foi concedido à Narges Mohammadi, ativista que defende direitos das mulheres e que atua no combate da pena de morte em seu país. Ela era uma das principais cotadas para receber o prêmio devido ao seu posicionamento contra a opressão do governo, especialmente através da figura da “polícia da moralidade”, responsável por fiscalizar as restrições impostas a mulheres no país. Ao longo de sua trajetória, já foi detida treze vezes e sentenciada a um total de 31 anos de prisão e 154 chicotadas. Qual é a nacionalidade de Narges Mohammadi?
 

Provas

Questão presente nas seguintes provas
3811944 Ano: 2024
Disciplina: Atualidades e Conhecimentos Gerais
Banca: FUNDATEC
Orgão: UERGS
Provas:
O Google, por meio do Doodle – alterações temporárias que a empresa faz em seu logotipo como forma de comemorar datas –, homenageou, em 11 de julho, o físico brasileiro que faria 100 anos na referida data, como demonstra a figura abaixo: 
Enunciado 4605689-1
Curitibano, apontado como o brasileiro que chegou mais perto de ganhar um Nobel de Física, com 23 anos, ele descobriu o Meson Pí ou Pion, estrutura que explica a estabilidade da matéria, que é tudo que nos rodeia, tem peso e ocupa espaço. A sua importância para a Ciência no Brasil foi tão significativa que o atual sistema de currículos virtual criado e mantido pelo CNPq, que integra as bases de dados curriculares, grupos de pesquisa e instituições em um único sistema de informações, das áreas de Ciência e Tecnologia, possui o seu nome. Diante do exposto, qual é o nome desse físico?
 

Provas

Questão presente nas seguintes provas
3811943 Ano: 2024
Disciplina: Sociologia
Banca: FUNDATEC
Orgão: UERGS
Provas:

Leia a seguinte manchete, publicada em 04/07/2024 no site da CNN Brasil:

Enunciado 4605688-1

Nesse contexto, analise as assertivas abaixo, assinalando V, se verdadeiras, ou F, se falsas.

( ) Considera-se intimidação sistemática todo ato de violência física ou psicológica, intencional e repetitivo que ocorre sem motivação evidente, praticado por indivíduo ou grupo, contra uma ou mais pessoas, com o objetivo de intimidá-la ou agredi-la, causando dor e angústia à vítima, em uma relação de desequilíbrio de poder entre as partes envolvidas.

( ) A prática de bullying e cyberbullying não são consideradas crimes, por isso não estão previstas no Código Penal.

( ) O bullying entre mulheres é chamado de wollying, que decorre da união de duas palavras: woman (mulher em inglês) e bullying.

A ordem correta de preenchimento dos parênteses, de cima para baixo, é:

 

Provas

Questão presente nas seguintes provas
3811942 Ano: 2024
Disciplina: Direito Administrativo
Banca: FUNDATEC
Orgão: UERGS
Provas:
Segundo notícia divulgada em 15/05/2024 no site G1, “O governo do Rio Grande do Sul diminuiu o número de municípios em estado de calamidade pública de 397 para 46 devido às enchentes que atingem as cidades gaúchas desde abril. O estado ainda registra 320 cidades em situação de emergência. A reclassificação foi publicada no Diário Oficial”. Nesse contexto, analise a sentença abaixo:
Estado de calamidade pública trata-se de situação anormal, provocada por desastres, causando danos e prejuízos que impliquem o comprometimento substancial da capacidade de resposta do Poder Público do ente atingido (1ª parte). Situação de emergência é quando há uma situação anormal, provocada por desastres, causando danos e prejuízos que impliquem o comprometimento parcial da capacidade de resposta do Poder Público do ente atingido (2ª parte). A decretação da situação de emergência ou de estado de calamidade pública deve ser feita com o único objetivo de recorrer aos cofres do Estado ou da União para solicitar recursos financeiros (3ª parte).
Quais partes estão corretas?
 

Provas

Questão presente nas seguintes provas