Foram encontradas 621 questões.
Segundo Dempsey (2010), a arte conceitual foi
um movimento artístico internacional sugido no final
da década de 1960 e início da década de 1970 com
expoentes como Joseph Kosuth, Sol Lewit, e Joseph
Beuys, entre outros. No Brasil, é referência o trabalho
crítico de Cildo Meireles. As ideias da arte conceitual
continuam a fazer parte da arte contemporânea atual.
Atualmente, artistas cujas obras não podem ser facilmente encaixadas em categorias são chamados de
artistas conceituais.
Identifique abaixo as afirmativas verdadeiras ( V ) e as falsas ( F ) em relação ao assunto.
( ) Arte conceitual, também designada como arte da ideia ou arte da informação, é a arte em que ideias ou conceitos substituem a verdadeira obra. A arte conceitual questiona a obra de arte, incluindo o corpo e o intelecto do espectador na criação e recepção da arte.
( ) Os formatos de apresentação da arte conceitual são documentos, propostas escritas, filmes, vídeos, performances, fotografias, instalações, mapas ou fórmulas matemáticas, ou seja, formatos que sejam visualmente desinteressantes para enfatizar a ideia que eles transmitem.
( ) No plano do conteúdo da arte conceitual, há uma pluralidade de discursos, desde preocupações com a linguagem e a criação de narrativas, à politização dos discursos das vidas e instituições, assim como críticas às estruturas de poder da arte e condições sociais, econômicas e políticas no mundo.
( ) A arte conceitual efetuou a redescoberta da pintura no mercado de arte, cuja inevitável assimilação se tornou veículo primordial para sua popularização na sociedade contemporânea. Sua influência sobre o design gráfico da década de 1980 foi notória, sobretudo durante o período pós-moderno.
Assinale a alternativa que indica a sequência correta, de cima para baixo.
Identifique abaixo as afirmativas verdadeiras ( V ) e as falsas ( F ) em relação ao assunto.
( ) Arte conceitual, também designada como arte da ideia ou arte da informação, é a arte em que ideias ou conceitos substituem a verdadeira obra. A arte conceitual questiona a obra de arte, incluindo o corpo e o intelecto do espectador na criação e recepção da arte.
( ) Os formatos de apresentação da arte conceitual são documentos, propostas escritas, filmes, vídeos, performances, fotografias, instalações, mapas ou fórmulas matemáticas, ou seja, formatos que sejam visualmente desinteressantes para enfatizar a ideia que eles transmitem.
( ) No plano do conteúdo da arte conceitual, há uma pluralidade de discursos, desde preocupações com a linguagem e a criação de narrativas, à politização dos discursos das vidas e instituições, assim como críticas às estruturas de poder da arte e condições sociais, econômicas e políticas no mundo.
( ) A arte conceitual efetuou a redescoberta da pintura no mercado de arte, cuja inevitável assimilação se tornou veículo primordial para sua popularização na sociedade contemporânea. Sua influência sobre o design gráfico da década de 1980 foi notória, sobretudo durante o período pós-moderno.
Assinale a alternativa que indica a sequência correta, de cima para baixo.
Provas
Questão presente nas seguintes provas
Em 1965, as primeiras imagens geradas por computador são expostas em Nova York e Stuttgart, na
Alemanha. A primeira exposição de arte computadorizada tem lugar em Paris em 1971. Apesar da simplicidade, as imagens exibidas dão início a uma nova
categoria da arte contemporânea que não cessa de
incorporar cada vez mais possibilidades: a arte digital.
Assinale a alternativa que define corretamente arte digital.
Assinale a alternativa que define corretamente arte digital.
Provas
Questão presente nas seguintes provas
A Op art adota ilusões de óptica com a finalidade
de provocar uma confusão dos processos normais de
percepção do espectador da obra de arte, de acordo
com Dempsey (2010).
Assinale a alternativa que apresenta apenas as características da op art:
Assinale a alternativa que apresenta apenas as características da op art:
Provas
Questão presente nas seguintes provas
A imagem ao lado mostra
um cartaz de autoria do designer Milton Glaser, cuja influência do movimento pop arte é
citada pela historiadora da arte
Amy Dempsey (2010). Nesse
sentido, Dempsey aponta duas
tendências na difusão da pop
art , sobretudo na Europa e nos
Estados Unidos na década de
1960 em diante: 1. A arte pop
circunscrita ao domínio das
artes visuais; 2. Pop como uma definição cultural mais
ampla: música pop, ficção pop, cultura pop, etc.

Analise as afirmativas abaixo com relação às características da pop art presentes no cartaz de Glaser.
1. Faz uso de imagens de celebridades da época em colagens, serigrafias ou outras técnicas.
2. Usa readymades, objetos deslocados de seu contexto familiar que são reposicionados em novo contexto como obra de arte.
3. Faz uma afirmação política radical e utópica, buscando resgatar a arte da exploração comercial, numa postura anticonsumista.
4. Inspira-se no design comercial e na cultura popular. No caso do cartaz, o uso de cores intensas e de formas sinuosas demonstram as tendências psicodélicas populares da época.
Assinale a alternativa que indica todas as afirmativas corretas.

Analise as afirmativas abaixo com relação às características da pop art presentes no cartaz de Glaser.
1. Faz uso de imagens de celebridades da época em colagens, serigrafias ou outras técnicas.
2. Usa readymades, objetos deslocados de seu contexto familiar que são reposicionados em novo contexto como obra de arte.
3. Faz uma afirmação política radical e utópica, buscando resgatar a arte da exploração comercial, numa postura anticonsumista.
4. Inspira-se no design comercial e na cultura popular. No caso do cartaz, o uso de cores intensas e de formas sinuosas demonstram as tendências psicodélicas populares da época.
Assinale a alternativa que indica todas as afirmativas corretas.
Provas
Questão presente nas seguintes provas
Até a década de 1920, a arte brasileira exibida
nos circuitos oficiais se restringia à arte acadêmica. A
Semana de Arte de 1922, realizada no Teatro Municipal em São Paulo, é considerada por alguns críticos de
arte como o marco divisor da arte no Brasil por apresentar novas tendências à produção artística nacional.
Identifique abaixo as afirmativas verdadeiras ( V ) e as falsas ( F ) com relação à Semana de Arte de 1922.
( ) Visava traçar um perfil mais livre, com a quebra de cânones que impediam a renovação da criatividade artística: renovar o estagnado ambiente artístico e cultural de São Paulo e do país, dominado pelas reproduções de obras acadêmicas impressionistas.
( ) Necessidade de “descobrir” ou “redescobrir” o Brasil, repensando-o de modo a desvinculá-lo, esteticamente, das amarras que ainda o prendiam à Europa.
( ) As obras mostradas no saguão do Teatro Municipal suscitaram reações divididas, inclusive a indignação dos visitantes.
( ) Foi uma semana que possibilitou a divulgação de diversos meios artísticos como música, arquitetura, pintura, escultura e design de produtos inspirados no neoconcretismo.
Assinale a alternativa que indica a sequência correta, de cima para baixo.
Identifique abaixo as afirmativas verdadeiras ( V ) e as falsas ( F ) com relação à Semana de Arte de 1922.
( ) Visava traçar um perfil mais livre, com a quebra de cânones que impediam a renovação da criatividade artística: renovar o estagnado ambiente artístico e cultural de São Paulo e do país, dominado pelas reproduções de obras acadêmicas impressionistas.
( ) Necessidade de “descobrir” ou “redescobrir” o Brasil, repensando-o de modo a desvinculá-lo, esteticamente, das amarras que ainda o prendiam à Europa.
( ) As obras mostradas no saguão do Teatro Municipal suscitaram reações divididas, inclusive a indignação dos visitantes.
( ) Foi uma semana que possibilitou a divulgação de diversos meios artísticos como música, arquitetura, pintura, escultura e design de produtos inspirados no neoconcretismo.
Assinale a alternativa que indica a sequência correta, de cima para baixo.
Provas
Questão presente nas seguintes provas
2872601
Ano: 2022
Disciplina: Modelagem de Processos de Negócio (BPM)
Banca: FEPESE
Orgão: UDESC
Disciplina: Modelagem de Processos de Negócio (BPM)
Banca: FEPESE
Orgão: UDESC
Provas:
Analise as afirmativas abaixo com relação ao
assunto BPM.
1. Gerenciamento de Processos de Negócio (BPM – Business Process Management) é uma disciplina gerencial que integra estratégias e objetivos de uma organização com expectativas e necessidades de clientes, por meio do foco em processos ponta a ponta. 2. A tecnologia desempenha papel essencial e de liderança na implementação de BPM. 3. BPM envolve definição deliberada, colaborativa e suportada por tecnologia, melhoria, inovação e gerenciamento de processos de negócio ponta a ponta para criar valor e habilitar a organização a alcançar seus objetivos com maior agilidade.
Assinale a alternativa que indica todas as afirmativas corretas.
1. Gerenciamento de Processos de Negócio (BPM – Business Process Management) é uma disciplina gerencial que integra estratégias e objetivos de uma organização com expectativas e necessidades de clientes, por meio do foco em processos ponta a ponta. 2. A tecnologia desempenha papel essencial e de liderança na implementação de BPM. 3. BPM envolve definição deliberada, colaborativa e suportada por tecnologia, melhoria, inovação e gerenciamento de processos de negócio ponta a ponta para criar valor e habilitar a organização a alcançar seus objetivos com maior agilidade.
Assinale a alternativa que indica todas as afirmativas corretas.
Provas
Questão presente nas seguintes provas
- Sistemas de ArquivosJournaling
- Sistemas de ArquivosTipos de Sistemas de ArquivosEXT4
- Sistemas de ArquivosTipos de Sistemas de ArquivosNTFS
Um sistema de arquivo do tipo “journaling” é um
sistema de arquivo que mantém informações sobre as
mudanças ainda não realizadas no sistema de arquivos. Estas intenções de mudança são armazenadas
em uma estrutura de dados denominada “journal”. No
caso de alguma falha no sistema, esses sistemas de
arquivos podem ser recuperados mais rapidamente.
Assinale a alternativa que apresenta corretamente exemplos desse tipo de sistema de arquivos.
Assinale a alternativa que apresenta corretamente exemplos desse tipo de sistema de arquivos.
Provas
Questão presente nas seguintes provas
Quais são os elementos do núcleo do framework
de gestão de segurança NIST?
Provas
Questão presente nas seguintes provas
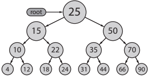
Observe a figura abaixo que apresenta uma árvore.

Assinale a alternativa que apresenta sequência decorrente do percurso pré-ordem (pre-order) dessa árvore binária.
Provas
Questão presente nas seguintes provas
Observe o fragmento de código na linguagem Visual Basic apresentado abaixo:
Dim dtmSample As Date = “#23/8/2019#”
Dim strResult As String = dtmSample.
ToString(“D”)
TextBox1.Text = strResult
Assinale a alternativa que apresenta o valor de strResult que seria mostrado no controle Text na linguagem Visual Basic.
Provas
Questão presente nas seguintes provas
Cadernos
Caderno Container