Foram encontradas 125 questões.
José tem 1.100 folhetos para distribuir. Sabendo que ele distribui 330 folhetos a cada 30 dias, podemos afirmar que em 1 dia ele distribui:
Provas
Questão presente nas seguintes provas
Encontre o valor de a para que o sistema linear

Não tenha solução:

Não tenha solução:
Provas
Questão presente nas seguintes provas
Em uma reunião de condomínio com 15 pessoas, pretende-se escolher a diretoria do condomínio, que consiste em um síndico, um subsindíco e um tesoureiro.
Presumindo que todas as 15 pessoas são aptas a exercer as funções acima, e nenhuma pode exercer mais do que uma função simultaneamente, de quantas maneiras diferentes é possível formar a diretoria do condomínio?
Presumindo que todas as 15 pessoas são aptas a exercer as funções acima, e nenhuma pode exercer mais do que uma função simultaneamente, de quantas maneiras diferentes é possível formar a diretoria do condomínio?
Provas
Questão presente nas seguintes provas
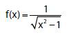
Considere a função
, definida por

Assinale a alternativa que indica corretamente o domínio dessa função.
, definida por
Assinale a alternativa que indica corretamente o domínio dessa função.
Provas
Questão presente nas seguintes provas
Um recenseador tem que entrevistar 540 pessoas.
Sabendo que a cada 7 dias ele entrevista 63 pessoas, assinale a alternativa que indica a porcentagem de pessoas entrevistadas após 30 dias.
Sabendo que a cada 7 dias ele entrevista 63 pessoas, assinale a alternativa que indica a porcentagem de pessoas entrevistadas após 30 dias.
Provas
Questão presente nas seguintes provas
A soma dos possíveis valores de x para que (x² – 2, x, –1) forme uma progressão aritmética é:
Provas
Questão presente nas seguintes provas
Analise o gráfico abaixo:

Note que o gráfico intercepta o eixo dos x nos pontos –2 e 1. Portanto, dentre as alternativas abaixo, o desenho acima somente pode representar o gráfico da função:

Note que o gráfico intercepta o eixo dos x nos pontos –2 e 1. Portanto, dentre as alternativas abaixo, o desenho acima somente pode representar o gráfico da função:
Provas
Questão presente nas seguintes provas
Seja ABCD o paralelogramo abaixo, e seja E um ponto no segmento
conforme descrito na figura abaixo:

Sabendo que
a área do paralelogramo ABCD é:
conforme descrito na figura abaixo:
Sabendo que
a área do paralelogramo ABCD é:Provas
Questão presente nas seguintes provas
O determinante da matriz

é igual a:

é igual a:
Provas
Questão presente nas seguintes provas

Coluna 1
1. Eça de Queirós
2. Castro Alves
3. Olavo Bilac
4. Joaquim Manuel de Macedo
5. José de Alencar
6. Luís de Camões
Coluna 2
( ) O Guarani
( ) Os Lusíadas
( ) Os Maias
( ) O Navio Negreiro
( ) A Moreninha
( ) Ouvir Estrelas
Assinale a alternativa que indica a sequência correta, de cima para baixo.
Provas
Questão presente nas seguintes provas
Cadernos
Caderno Container