Magna Concursos

Foram encontradas 1.077 questões.

828181 Ano: 2012
Disciplina: Matemática Financeira
Banca: FCC
Orgão: TRT-6
Para comprar um carro, Maria realiza uma pesquisa em 3 Instituições Financeiras e obtém as seguintes propostas de financiamento:

Instituição A: Entrada de R$ 7.900,00 + 1 prestação de R$ 8.240,00 para 30 dias após a entrada.

Instituição B: Entrada de R$ 7.800,00 + 1 prestação de R$ 8.487,20 para 60 dias após a entrada.

Instituição C: Entrada de R$ 7.652,80 + 2 prestações de R$ 4.243,60 para 30 e 60 dias após a entrada.

Sabendo que a taxa de juros compostos é de 3% ao mês, a proposta de financiamento
 

Provas

Questão presente nas seguintes provas
828180 Ano: 2012
Disciplina: Matemática Financeira
Banca: FCC
Orgão: TRT-6
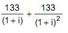
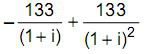
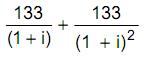
Um empréstimo de R$ 100,00 é feito para ser pago em duas parcelas mensais e consecutivas de R$ 133,00 cada uma. Supondo taxa de juros compostos e sendo i a taxa de juros mensal acordada, a expressão que representa a maneira correta para se obter i é dada por:

 

Provas

Questão presente nas seguintes provas
828179 Ano: 2012
Disciplina: Matemática Financeira
Banca: FCC
Orgão: TRT-6
Não tendo recursos para saldar um empréstimo de R$ 110.000,00 (na data do vencimento), determinada empresa fez um acordo com a instituição financeira para pagá-lo 90 dias após o vencimento. Sabendo que a taxa de juros compostos cobrada pelo banco foi de 5% ao mês, o valor pago pela empresa foi, em reais,
 

Provas

Questão presente nas seguintes provas
828178 Ano: 2012
Disciplina: Matemática Financeira
Banca: FCC
Orgão: TRT-6
Seja i a taxa de juros tal que 0 < i < 100%, em que i representa a taxa ao mês. Seja n o prazo. Considere enunciado 828178-1 como o conjunto dos números naturais.

É correto afirmar que

 

Provas

Questão presente nas seguintes provas
828177 Ano: 2012
Disciplina: Matemática Financeira
Banca: FCC
Orgão: TRT-6
Uma empresa está avaliando a compra de uma nova máquina por R$ 320.000,00 à vista. Estima-se que a vida útil da máquina seja de 3 anos, que o valor residual de revenda no final do terceiro ano seja de R$ 50.578,00 e que os fluxos líquidos de caixa gerados por esta máquina ao final de cada ano sejam de R$ 99.000,00, R$ 150.040,00 e R$ 99.825,00, respectivamente. Sabendo que a taxa mínima de atratividade é de 10% a.a., a compra da nova máquina
 

Provas

Questão presente nas seguintes provas
828176 Ano: 2012
Disciplina: Matemática Financeira
Banca: FCC
Orgão: TRT-6
Uma empresa comercial descontou uma duplicata no valor de R$ 20.000,00, que vencia em 45 dias. A taxa de desconto simples cobrada pela instituição financeira foi de 24% a.a., "por fora". A instituição cobrou adicionalmente tarifa bancária, na data de liberação dos recursos, de 1,5% do valor nominal. Com base nessas informações, o valor descontado, segundo a convenção do ano comercial, foi, em reais,
 

Provas

Questão presente nas seguintes provas
828175 Ano: 2012
Disciplina: Matemática Financeira
Banca: FCC
Orgão: TRT-6
Um eletrodoméstico está sendo vendido nas seguintes condições:

- Preço à vista = R$ 2.580,00;

- Condições a prazo = entrada de R$ 680,00 e R$ 1.995,00 em 60 dias.

A taxa de juros simples mensal cobrada na venda a prazo é
 

Provas

Questão presente nas seguintes provas
828174 Ano: 2012
Disciplina: Matemática Financeira
Banca: FCC
Orgão: TRT-6
Um empréstimo foi obtido com taxas de juros simples de 18% a.a., para pagamento em 12 prestações mensais, consecutivas, vencendo a primeira 30 dias após a obtenção do empréstimo. Sabendo-se que foi adotado, neste caso, o sistema de amortização constante (SAC) e que o valor principal do empréstimo era R$ 120.000,00, o valor da 8a parcela foi
 

Provas

Questão presente nas seguintes provas
829251 Ano: 2012
Disciplina: Segurança e Saúde no Trabalho (SST)
Banca: FCC
Orgão: TRT-6
Sobre o Programa de Controle Médico de Saúde Ocupacional - PCMSO, é correto afirmar:
Questão Anulada

Provas

Questão presente nas seguintes provas
829211 Ano: 2012
Disciplina: TI - Banco de Dados
Banca: FCC
Orgão: TRT-6
Provas:
Predicados são elementos da linguagem SQL que especificam condições que podem ser avaliadas como "True", "False" ou "Null", no que é conhecido como lógica trivalente. Na lógica trivalente usada pela linguagem SQL tem-se
Questão Anulada

Provas

Questão presente nas seguintes provas