Foram encontradas 397 questões.
A viga da figura a seguir está submetida a uma carga uniformemente distribui da de 12 kN/m em todo o seu vão de 6 m.

O valor em módulo do momento fletor máximo que traciona das fibras superiores da viga é
Provas
Segundo a Lei 12.305/2010 - Política Nacional de Resíduos Sólidos, na gestão e gerenciamento de resíduos sólidos. entre a não geração até a disposição final ambientalmente adequada dos rejeitos, deve ser observada a seguinte ordem de prioridade:
Provas
No projeto de redes coletoras de esgoto sanitário urbano funcionando em ámina livre, o recobrimento mínimo exigido para o coletor assentado no leito da via de tráfego é
Provas
Em uma edificação cuja área de contribuição da cobertura é 240 m2, pretende-se instalar um sistema de aproveitamento de águas pluviais. Considerando que, na região onde foi construída a edificação, o índice pluviométrico médio é 110 mm/h. a vazão de água que fluirá para o sistema de aproveitamento de água da chuva é
Provas
Considere a planta de um terreno rural cujas coordenadas A, B, C, D, E estão apresentadas em metros.

Para desenhar a linha CD no programa AutOCAD com o comando LINE em coordenadas polares relativas, estando o cursor posicionado no vértice C. após a instrução TO POINT. deve-se digitar:
Provas
Considere a viga simplesmente apoiada com vão de 6 m da figura a seguir, submetida a uma carga trapezoidal.

O esforço cortante máximo que ocorre na viga é
Provas
Para a execução de um muro de arrimo estão previstos os seguintes desembolsos: RS 30.000,00 de custos diretos, R$ 1.200,00 de custos indiretos e o recolhimento de 8% de impostos. Considerando que o lucro praticado pela construtora é de 12% sobre o faturamento, o preço dessa obra, que será repassado ao cliente, é
Provas
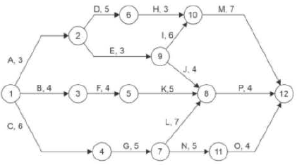
O planejamento da construção de uma edificação comercial seguiu a rede PERT-CPM a seguir, em que as atividades estão representadas por letras, seguidas de suas durações em semanas.

Da análise dessa rede PERT -CPM concluí-se que o tempo para execução dessa obra é
Provas
Nas Instalações elétricas prediais de baixa tensão, quando for necessário limitar os riscos de Incêndio suscitados pela circulação de correntes de falta, uma das soluções é proteger o circuito correspondente por um dispositivo DR, com corrente diferencial- residual nominal de atuação de, no máximo.
Provas
Considere o triângulo de potências de instalação elétrica de baixa tensão de uma edificação.

O fator de potência dessa instalação é
Provas
Caderno Container