Foram encontradas 300 questões.
Um frasco contendo 30 pastilhas idênticas “pesa” 54 gramas. O mesmo frasco contendo apenas 12 dessas pastilhas “pesa” 32,4 gramas. Nas condições dadas, a razão entre o “peso” de uma pastilha e o do frasco vazio, nessa ordem, é igual a
Provas
Questão presente nas seguintes provas
Um equipamento tem depreciação de 10% a cada ano de uso sobre seu valor no início de um novo ano de uso. Se, após 3 anos completos de uso, tinha o valor de R$ 36.450,00, então, o seu valor quando novo, era, em R$, de
Provas
Questão presente nas seguintes provas
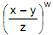
Na expressão
as letras x, y, z e w podem ser substituídas por qualquer número inteiro de -3 a 3, sem que se possa repetir um mesmo número na mesma expressão, e desde que se possa calcular o valor numérico da expressão com as substituições feitas. Sendo M o maior valor numérico possível dessa expressão, e m o menor valor numérico possível, então M - m é igual a
as letras x, y, z e w podem ser substituídas por qualquer número inteiro de -3 a 3, sem que se possa repetir um mesmo número na mesma expressão, e desde que se possa calcular o valor numérico da expressão com as substituições feitas. Sendo M o maior valor numérico possível dessa expressão, e m o menor valor numérico possível, então M - m é igual aProvas
Questão presente nas seguintes provas
Um frasco contendo 30 pastilhas idênticas “pesa” 54 gramas. O mesmo frasco contendo apenas 12 dessas pastilhas “pesa” 32,4 gramas. Nas condições dadas, a razão entre o “peso” de uma pastilha e o do frasco vazio, nessa ordem, é igual a
Provas
Questão presente nas seguintes provas
Pedro e Paulo fazem aniversário no mesmo dia. Hoje a idade de Paulo está para 3 assim como a idade de Pedro está para 7. Sabe-se que hoje a soma das duas idades é 70 anos. Dessa maneira, quando Paulo fez 4 anos, Pedro completou
Provas
Questão presente nas seguintes provas
Três sócios criaram uma empresa. O sócio A participa com 3 cotas; o sócio B participa com 5 cotas e o sócio C participa com 7 cotas. Após um ano de funcionamento, a empresa aceitou um quarto sócio que entrou com a participação de mais 5 cotas. Desta maneira, o sócio A, cuja participação era de X%, passou a ser de Y%. A diferença entre X e Y é, igual a
Provas
Questão presente nas seguintes provas
Noções de Direito Processual Civil
No tocante ao Processo Eletrônico, considere:
I. Para o disposto na Lei de Informatização do Processo Judicial, considera-se transmissão eletrônica qualquer forma de armazenamento ou tráfego de documentos e arquivos digitais.
II. As citações, intimações, notificações e remessas que viabilizem o acesso à íntegra do processo correspondente serão consideradas vista pessoal do interessado para todos os efeitos legais.
III. É obrigatória a formação de autos suplementares de processo eletrônico, para garantia do devido processo legal e do contraditório, na eventualidade de problemas com o sistema de segurança de acesso e armazenamento de dados.
De acordo com a Lei nº 11.419/2006, está correto o que consta APENAS em
No tocante ao Processo Eletrônico, considere:
I. Para o disposto na Lei de Informatização do Processo Judicial, considera-se transmissão eletrônica qualquer forma de armazenamento ou tráfego de documentos e arquivos digitais.
II. As citações, intimações, notificações e remessas que viabilizem o acesso à íntegra do processo correspondente serão consideradas vista pessoal do interessado para todos os efeitos legais.
III. É obrigatória a formação de autos suplementares de processo eletrônico, para garantia do devido processo legal e do contraditório, na eventualidade de problemas com o sistema de segurança de acesso e armazenamento de dados.
De acordo com a Lei nº 11.419/2006, está correto o que consta APENAS em
Provas
Questão presente nas seguintes provas
Atenção: Para responder a questão considere o texto abaixo.
Ler um livro é desinteressar-se a gente deste mundo co-
mum e objetivo para viver noutro mundo. A janela iluminada noi-
te adentro isola o leitor da realidade da rua, que é o sumidouro
da vida subjetiva. Árvores ramalham. De vez em quando pas-
sam passos. Lá no alto estrelas teimosas namoram inutilmente
a janela iluminada. O homem, prisioneiro do círculo claro da
lâmpada, apenas ligado a este mundo pela fatalidade vegetativa
do seu corpo, está suspenso no ponto ideal de uma outra di-
mensão, além do tempo e do espaço. No tapete voador só há
lugar para dois passageiros: Leitor e autor.
O leitor ingênuo é simplesmente ator. Quero dizer que,
num folhetim ou num romance policial, procura o reflexo dos
seus sentimentos imediatos, identificando-se logo com o pro-
tagonista ou herói do romance. Isto, aliás, se dá mais ou menos
com qualquer leitor, diante de qualquer livro; de modo geral, nós
nos lemos através dos livros.
Mas no leitor ingênuo, essa lei dos reflexos toma a forma
de um desinteresse pelo livro como obra de arte. Pouco importa
a impressão literária, o sabor do estilo, a voz do autor. Quer di-
vertir-se, esquecer as pequenas misérias da vida, vivendo ou-
tras vidas desencadeadas pelo bovarismo da leitura. E tem ra-
zão. Há dentro dele uma floração de virtualidades recalcadas
que, não encontrando desimpedido o caminho estreito da ação,
tentam fugir pela estrada larga do sonho.
Assim éramos nós então, por não sabermos ler nas en-
trelinhas. E daquela primeira fase de educação sentimental, que
parecia inevitável como as espinhas, passava quase sempre o
jovem monstro para uma crise de hipercrítica. Devido à neces-
sidade de um restabelecimento de equilíbrio, o excesso engen-
drava o excesso contrário. A pouco e pouco os românticos per-
diam terreno em proveito dos naturalistas. Dava-se uma verda-
deira subversão de valores na escala da sensibilidade e a fanta-
sia comprazia-se em derrubar os antigos ídolos. Formava-se
muitas vezes, coincidindo com manifestações mórbidas que são
do domínio da psicanálise, um pedantismo da clarividência, tão
nocivo como a intemperança imaginosa ou sentimental, e talvez
mais ingênuo, pois refletia um ressentimento de namorado ain-
da ferido nas suas primeiras ilusões.
(Adaptado de: MEYER, Augusto. “Do Leitor”, In: sombra da
estante, Rio de Janeiro, José Olympio, 1947, p. 11-19)
Infere-se, corretamente, que o autor do textoLer um livro é desinteressar-se a gente deste mundo co-
mum e objetivo para viver noutro mundo. A janela iluminada noi-
te adentro isola o leitor da realidade da rua, que é o sumidouro
da vida subjetiva. Árvores ramalham. De vez em quando pas-
sam passos. Lá no alto estrelas teimosas namoram inutilmente
a janela iluminada. O homem, prisioneiro do círculo claro da
lâmpada, apenas ligado a este mundo pela fatalidade vegetativa
do seu corpo, está suspenso no ponto ideal de uma outra di-
mensão, além do tempo e do espaço. No tapete voador só há
lugar para dois passageiros: Leitor e autor.
O leitor ingênuo é simplesmente ator. Quero dizer que,
num folhetim ou num romance policial, procura o reflexo dos
seus sentimentos imediatos, identificando-se logo com o pro-
tagonista ou herói do romance. Isto, aliás, se dá mais ou menos
com qualquer leitor, diante de qualquer livro; de modo geral, nós
nos lemos através dos livros.
Mas no leitor ingênuo, essa lei dos reflexos toma a forma
de um desinteresse pelo livro como obra de arte. Pouco importa
a impressão literária, o sabor do estilo, a voz do autor. Quer di-
vertir-se, esquecer as pequenas misérias da vida, vivendo ou-
tras vidas desencadeadas pelo bovarismo da leitura. E tem ra-
zão. Há dentro dele uma floração de virtualidades recalcadas
que, não encontrando desimpedido o caminho estreito da ação,
tentam fugir pela estrada larga do sonho.
Assim éramos nós então, por não sabermos ler nas en-
trelinhas. E daquela primeira fase de educação sentimental, que
parecia inevitável como as espinhas, passava quase sempre o
jovem monstro para uma crise de hipercrítica. Devido à neces-
sidade de um restabelecimento de equilíbrio, o excesso engen-
drava o excesso contrário. A pouco e pouco os românticos per-
diam terreno em proveito dos naturalistas. Dava-se uma verda-
deira subversão de valores na escala da sensibilidade e a fanta-
sia comprazia-se em derrubar os antigos ídolos. Formava-se
muitas vezes, coincidindo com manifestações mórbidas que são
do domínio da psicanálise, um pedantismo da clarividência, tão
nocivo como a intemperança imaginosa ou sentimental, e talvez
mais ingênuo, pois refletia um ressentimento de namorado ain-
da ferido nas suas primeiras ilusões.
(Adaptado de: MEYER, Augusto. “Do Leitor”, In: sombra da
estante, Rio de Janeiro, José Olympio, 1947, p. 11-19)
Provas
Questão presente nas seguintes provas
Atenção: Para responder à questão, considere o texto abaixo
Um programa a ser adotado
O PET - Programa de Educação pelo Trabalho - está fazendo dez anos, que serão comemorados num evento promovido pelo TRF4, que contará com representantes da Fase - Fundação de Atendimento Socioeducativo do Rio Grande do Sul.
Há dez anos seria difícil imaginar um interno da Fase em cumprimento de medida socioeducativa saindo para trabalhar em um tribunal e, no final do dia, retornar à fundação. Muitos desacreditariam da iniciativa de colocar um adolescente infrator dentro de um gabinete de desembargador ou da Presidência de um tribunal. Outros poderiam discriminar esses jovens e desejá-los longe do ambiente de trabalho.
Todas essas barreiras foram vencidas. Em uma década, o PET do TRF4 se tornou realidade, quebrou preconceitos, mudou a cultura da própria instituição e a vida de 154 adolescentes que já passaram pelo projeto. São atendidos jovens entre 16 e 21 anos, com escolaridade mínima da 4a série do ensino fundamental. O tribunal enfrenta o desafio de criar, desenvolver e, principalmente, manter um programa de reinserção social. Os resultados do trabalho do PET com os menores que cumprem medida socioeducativa na Fase são considerados muito positivos quando se fala de jovens em situação de vulnerabilidade social. Durante esses dez anos, 45% dos participantes foram inseridos no mercado de trabalho e muitos já concluíram o ensino médio; cerca de 70% reorganizaram suas vidas e conseguiram superar a condição de envolvimento em atividades ilícitas.
Na prática, os jovens trabalham durante 4 horas nos gabinetes de desembargadores e nas unidades administrativas do tribunal. Recebem atendimento multidisciplinar, com acompanhamento jurídico, de psicólogos e de assistentes sociais.Por meio de parcerias com entidades, já foram realizados cursosde mecânica, de padaria e de garçom. Destaque a considerar é o projeto “Virando a página": oficinas de leitura e produção textual, coordenadas por servidores do TRF4 e professores e formandos de faculdades de Letras.
(Adaptado de: wttp://www2.trf4.jus.br /trf4/controlador.php? acao= noticia_visualizar&id_noticia=10129)
Atente para as seguintes afirmações: Um programa a ser adotado
O PET - Programa de Educação pelo Trabalho - está fazendo dez anos, que serão comemorados num evento promovido pelo TRF4, que contará com representantes da Fase - Fundação de Atendimento Socioeducativo do Rio Grande do Sul.
Há dez anos seria difícil imaginar um interno da Fase em cumprimento de medida socioeducativa saindo para trabalhar em um tribunal e, no final do dia, retornar à fundação. Muitos desacreditariam da iniciativa de colocar um adolescente infrator dentro de um gabinete de desembargador ou da Presidência de um tribunal. Outros poderiam discriminar esses jovens e desejá-los longe do ambiente de trabalho.
Todas essas barreiras foram vencidas. Em uma década, o PET do TRF4 se tornou realidade, quebrou preconceitos, mudou a cultura da própria instituição e a vida de 154 adolescentes que já passaram pelo projeto. São atendidos jovens entre 16 e 21 anos, com escolaridade mínima da 4a série do ensino fundamental. O tribunal enfrenta o desafio de criar, desenvolver e, principalmente, manter um programa de reinserção social. Os resultados do trabalho do PET com os menores que cumprem medida socioeducativa na Fase são considerados muito positivos quando se fala de jovens em situação de vulnerabilidade social. Durante esses dez anos, 45% dos participantes foram inseridos no mercado de trabalho e muitos já concluíram o ensino médio; cerca de 70% reorganizaram suas vidas e conseguiram superar a condição de envolvimento em atividades ilícitas.
Na prática, os jovens trabalham durante 4 horas nos gabinetes de desembargadores e nas unidades administrativas do tribunal. Recebem atendimento multidisciplinar, com acompanhamento jurídico, de psicólogos e de assistentes sociais.Por meio de parcerias com entidades, já foram realizados cursosde mecânica, de padaria e de garçom. Destaque a considerar é o projeto “Virando a página": oficinas de leitura e produção textual, coordenadas por servidores do TRF4 e professores e formandos de faculdades de Letras.
(Adaptado de: wttp://www2.trf4.jus.br /trf4/controlador.php? acao= noticia_visualizar&id_noticia=10129)
I. O objetivo central do PET é o aproveitamento de menores infratores em funções administrativas, exercidas em vários tribunais, de modo que esses menores reponham com trabalho o que ficaram devendo à sociedade, por conta de atividades ilícitas.
II. A reinserção de jovens infratores no mercado de trabalho é um esforço que enfrenta preconceitos e barreiras sociais, pois há quem não admita a coexistência em um mesmo espaço de trabalho entre autoridades e menores envolvidos em práticas ilícitas.
III. O sucesso do PET não está apenas no espírito afirmativo do programa, mas se reflete nos resultados concretos que apontam, em termos percentuais, uma expressiva inserção de jovens infratores no mercado de trabalho.
Em relação ao texto, está correto o que consta em
Provas
Questão presente nas seguintes provas
Antônio Vieira é, desde o século XVII, um modelo de nosso idioma, a ponto de Fernando Pessoa, na Mensagem, chamá-lo de “Imperador da língua portuguesa”. Em uma de suas principais obras, o Sermão da Sexagésima, ensina como deve ser o estilo de um texto:
“Aprendamos do céu o estilo da disposição, e também o das palavras. Como hão de ser as palavras? Como as estrelas. As estrelas são muito distintas e muito claras. Assim há de ser o estilo da pregação, muito distinto e muito claro. E nem por isso temais que pareça o estilo baixo; as estrelas são muito distintas, e muito claras e altíssimas. O estilo pode ser muito claro e muito alto; tão claro que o entendam os que não sabem, e tão alto que tenham muito que entender nele os que sabem. O rústico acha documentos nas estrelas para sua lavoura, e o mareante para sua navegação, e o matemático para as suas observações e para os seus juízos. De maneira que o rústico e o mareante, que não sabem ler nem escrever, entendem as estrelas, e o matemático que tem lido quantos escreveram não alcança a entender quanto nelas há.”
Vieira mostra com as estrelas o que sejam a distinção e a clareza. Não são discordantes, como muitos de nós pensamos: uma e outra concorrem para o mesmo fim. Nada mais adequado que, ao tratar de tais virtudes do discurso, fizesse uso de comparação. Este procedimento Quintiliano, no século II d.C., já considerava dos mais aptos para conferir clareza, uma vez que estabelece similaridades entre algo já sabido pelo leitor e aquilo que se lhe quer elucidar. Aqui, compara o bom discurso ao céu, que é de todos conhecido.
(Tales Ben Daud, inédito)
Os elementos sublinhados em ... quantos escreveram não alcança a entender quanto nelas há... (2º parágrafo) possuem, respectivamente, a mesma função que os sublinhados em:“Aprendamos do céu o estilo da disposição, e também o das palavras. Como hão de ser as palavras? Como as estrelas. As estrelas são muito distintas e muito claras. Assim há de ser o estilo da pregação, muito distinto e muito claro. E nem por isso temais que pareça o estilo baixo; as estrelas são muito distintas, e muito claras e altíssimas. O estilo pode ser muito claro e muito alto; tão claro que o entendam os que não sabem, e tão alto que tenham muito que entender nele os que sabem. O rústico acha documentos nas estrelas para sua lavoura, e o mareante para sua navegação, e o matemático para as suas observações e para os seus juízos. De maneira que o rústico e o mareante, que não sabem ler nem escrever, entendem as estrelas, e o matemático que tem lido quantos escreveram não alcança a entender quanto nelas há.”
Vieira mostra com as estrelas o que sejam a distinção e a clareza. Não são discordantes, como muitos de nós pensamos: uma e outra concorrem para o mesmo fim. Nada mais adequado que, ao tratar de tais virtudes do discurso, fizesse uso de comparação. Este procedimento Quintiliano, no século II d.C., já considerava dos mais aptos para conferir clareza, uma vez que estabelece similaridades entre algo já sabido pelo leitor e aquilo que se lhe quer elucidar. Aqui, compara o bom discurso ao céu, que é de todos conhecido.
(Tales Ben Daud, inédito)
Provas
Questão presente nas seguintes provas
Cadernos
Caderno Container