Foram encontradas 1.072 questões.
Provas
Uma papelaria fez uma pesquisa de mercado entre 500 de seus clientes. Nessa pesquisa encontrou os seguintes resultados:
• 160 clientes compraram materiais para seus filhos que cursam o Ensino Médio;
• 180 clientes compraram materiais para seus filhos que cursam o Ensino Fundamental II;
• 190 clientes compraram materiais para seus filhos que cursam o Ensino Fundamental I;
• 20 clientes compraram materiais para seus filhos que cursam o Ensino Médio e Fundamental I;
• 40 clientes compraram materiais para seus filhos que cursam o Ensino Médio e Fundamental II;
• 30 clientes compraram materiais para seus filhos que cursam o Ensino Fundamental I e II; e,
• 10 clientes compraram materiais para seus filhos que cursam o Ensino Médio, Fundamental I e II.
Quantos clientes da papelaria compraram materiais, mas os filhos NÃO cursam nem o Ensino Médio e nem o Ensino Fundamental I e II?
Provas
• o troco de Pablo mais o de Pedro somados e divididos por 4 dá o troco de Paulo; • o troco de Paulo mais o troco de Pedro dá R$ 30,00;e, • o troco de Pablo menos o troco de Paulo dá R$ 10,00.
O troco recebido por Pablo foi de:
Provas
Simeão, Estevão e Alan possuem cães das raças: labrador, beagle e buldogue; sendo suas cores: preto, branco e cinza, não necessariamente nessa ordem. Sabe-se que:
• o cão de Estevão é cinza;
• Simeão ou tem um labrador ou tem um beagle;
• o labrador não é branco; e,
• o buldogue é preto.
Baseado nas informações anteriores, o dono do beagle, do cão preto, do cão branco, do labrador e do buldogue são, respectivamente:
Provas
Uma das funções de Matheus na empresa de logística que trabalha é criar o código de identificação de arquivos. Esses códigos são mudados mensalmente. Matheus não informou os padrões utilizados para criar esses códigos. Analise os códigos a serem utilizados nos meses de janeiro, fevereiro, março e abril abaixo.
JAN006DG3472
FEV013EH1736
MAR027FI0868
ABR048GJ0434
Sabe-se que as senhas seguem sempre o mesmo padrão sequencial e os números dos códigos são sempre inteiros. Sendo assim, o código correspondente ao mês de setembro será:
Provas
Beatriz, Camila e Denise dividem o mesmo apartamento com dois animais de estimação, o gato Guga e a cadelinha Cacau. Elas estão pensando em mudar a senha do Wi-Fi de seu apartamento. Para isso tiveram a ideia de uma senha que possua sete letras, sendo três consoantes e quatro vogais e que tenha significado. Para isso pensaram:
• a primeira letra será uma vogal comum ao nome das três amigas;
• a segunda letra será a consoante da sílaba central de um dos nomes das amigas que possui um vogal dobrada;
• a terceira letra será uma vogal comum a dois nomes das amigas e repetida em um deles;
• a quarta letra será a primeira consoante do nome de um de seus animais de estimação. E essa consoante não pertence a nenhum dos nomes das amigas;
• a quinta e a sexta letra serão as letras da sílaba central, não na mesma ordem, do nome de uma das amigas que repete uma vogal; e,
• a sétima letra será uma vogal presente no nome de duas das amigas e da cadelinha.
A senha será a palavra:
Provas
Três amigos compraram lapiseiras em uma papelaria da seguinte forma:
• Marcos comprou duas lapiseiras de 0,7 mm e uma de 0,9 mm e pagou R$ 20,00;
• Marcelo comprou duas lapiseiras de 0,5 mm e uma de 0,7 mm e pagou R$ 19,00; e,
• Maurício comprou uma lapiseira de 0,5 mm, uma de 0,7 mm e uma de 0,9 mm e pagou R$ 22,00.
Nessa papelaria a lapiseira mais cara e a mais barata são, respectivamente, aquelas cujas espessuras dos grafites são iguais a:
Provas
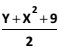
Observe as figuras a seguir que representam uma pequena equação.

De acordo com os valores de X e Y na equação, o valor de
é:
Provas
Provas
Provas
Caderno Container