Foram encontradas 1.104 questões.
Em determinado município, há, cadastrados, 58.528 eleitores, dos
quais 29.221 declararam ser do sexo feminino e 93 não informaram
o sexo. Nessa situação, julgue os próximos itens.
Se, entre os eleitores que não informaram o sexo, o número de eleitores do sexo masculino for o dobro do número de eleitores do sexo feminino, então, nesse município, os eleitores do sexo masculino são maioria.quais 29.221 declararam ser do sexo feminino e 93 não informaram
o sexo. Nessa situação, julgue os próximos itens.
Provas
Questão presente nas seguintes provas

Suponha que, na última eleição, em determinada zona eleitoral,
estavam inscritos 200 eleitores. Dos eleitores que não votaram,
10 não tinham a obrigação de votar e, para outros 10, o voto era
facultativo. Entre os eleitores que votaram, para 70 deles o voto era
facultativo, 40 eram analfabetos, 25 eram maiores de dezesseis e
menores de dezoito anos de idade e 20 tinham mais de setenta anos
de idade.
A partir das informações acima apresentadas, julgue os itens
subsequentes.
Provas
Questão presente nas seguintes provas
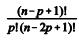
De acordo com o primeiro lema de Kaplansky, a
quantidade de subconjuntos de {1, 2, 3,..., n} com p elementos,
em que não há números consecutivos, é dada pela fórmula abaixo.

Uma das aplicações desse lema é a contagem do número de
maneiras de se sentar 4 meninas e 6 meninos em uma fila de 10
cadeiras, de modo que 2 meninas não fiquem em posições
adjacentes. A estratégia para se realizar essa contagem compreende
quatro passos. Em primeiro lugar, deve-se contar o número de
maneiras de se escolher 4 cadeiras sem que haja cadeiras
consecutivas; esse procedimento deve ser feito utilizando-se o lema
de Kaplansky. Em seguida, deve-se contar o número de maneiras de
organizar as meninas nessas cadeiras. O próximo passo consiste em
contar o número de maneiras de se distribuir os meninos nas
cadeiras restantes. Por fim, deve-se usar o princípio multiplicativo.
Com base nessas informações, julgue os itens subsecutivos.
Diante dos dados acima, é correto afirmar que o número de maneiras de se sentar 4 meninas e 6 meninos em uma fila de 10 cadeiras, de modo que não fiquem 2 meninas em posições adjacentes, é superior a 600.000.quantidade de subconjuntos de {1, 2, 3,..., n} com p elementos,
em que não há números consecutivos, é dada pela fórmula abaixo.

Uma das aplicações desse lema é a contagem do número de
maneiras de se sentar 4 meninas e 6 meninos em uma fila de 10
cadeiras, de modo que 2 meninas não fiquem em posições
adjacentes. A estratégia para se realizar essa contagem compreende
quatro passos. Em primeiro lugar, deve-se contar o número de
maneiras de se escolher 4 cadeiras sem que haja cadeiras
consecutivas; esse procedimento deve ser feito utilizando-se o lema
de Kaplansky. Em seguida, deve-se contar o número de maneiras de
organizar as meninas nessas cadeiras. O próximo passo consiste em
contar o número de maneiras de se distribuir os meninos nas
cadeiras restantes. Por fim, deve-se usar o princípio multiplicativo.
Com base nessas informações, julgue os itens subsecutivos.
Provas
Questão presente nas seguintes provas

Suponha que, na última eleição, em determinada zona eleitoral,
estavam inscritos 200 eleitores. Dos eleitores que não votaram,
10 não tinham a obrigação de votar e, para outros 10, o voto era
facultativo. Entre os eleitores que votaram, para 70 deles o voto era
facultativo, 40 eram analfabetos, 25 eram maiores de dezesseis e
menores de dezoito anos de idade e 20 tinham mais de setenta anos
de idade.
A partir das informações acima apresentadas, julgue os itens
subsequentes.
Provas
Questão presente nas seguintes provas

possuem tabelas-verdade distintas.Provas
Questão presente nas seguintes provas

representa a afirmação “Se eu estudar bastante, então serei aprovado”.Provas
Questão presente nas seguintes provas


Provas
Questão presente nas seguintes provas

será verdadeira.Provas
Questão presente nas seguintes provas
De acordo com o primeiro lema de Kaplansky, a
quantidade de subconjuntos de {1, 2, 3,..., n} com p elementos,
em que não há números consecutivos, é dada pela fórmula abaixo.

Uma das aplicações desse lema é a contagem do número de
maneiras de se sentar 4 meninas e 6 meninos em uma fila de 10
cadeiras, de modo que 2 meninas não fiquem em posições
adjacentes. A estratégia para se realizar essa contagem compreende
quatro passos. Em primeiro lugar, deve-se contar o número de
maneiras de se escolher 4 cadeiras sem que haja cadeiras
consecutivas; esse procedimento deve ser feito utilizando-se o lema
de Kaplansky. Em seguida, deve-se contar o número de maneiras de
organizar as meninas nessas cadeiras. O próximo passo consiste em
contar o número de maneiras de se distribuir os meninos nas
cadeiras restantes. Por fim, deve-se usar o princípio multiplicativo.
Com base nessas informações, julgue os itens subsecutivos.
A partir dos dados acima, é correto concluir que o número de maneiras de se organizar as 4 meninas nas 4 cadeiras escolhidas é igual a 16.quantidade de subconjuntos de {1, 2, 3,..., n} com p elementos,
em que não há números consecutivos, é dada pela fórmula abaixo.

Uma das aplicações desse lema é a contagem do número de
maneiras de se sentar 4 meninas e 6 meninos em uma fila de 10
cadeiras, de modo que 2 meninas não fiquem em posições
adjacentes. A estratégia para se realizar essa contagem compreende
quatro passos. Em primeiro lugar, deve-se contar o número de
maneiras de se escolher 4 cadeiras sem que haja cadeiras
consecutivas; esse procedimento deve ser feito utilizando-se o lema
de Kaplansky. Em seguida, deve-se contar o número de maneiras de
organizar as meninas nessas cadeiras. O próximo passo consiste em
contar o número de maneiras de se distribuir os meninos nas
cadeiras restantes. Por fim, deve-se usar o princípio multiplicativo.
Com base nessas informações, julgue os itens subsecutivos.
Provas
Questão presente nas seguintes provas
1273340
Ano: 2011
Disciplina: Administração Financeira e Orçamentária
Banca: CESPE / CEBRASPE
Orgão: TRE-ES
Disciplina: Administração Financeira e Orçamentária
Banca: CESPE / CEBRASPE
Orgão: TRE-ES
Com relação a conceitos e normas da administração orçamentária
e financeira, julgue os próximos itens.
As receitas correntes e de capital têm em comum o efeito positivo sobre o patrimônio líquido e se diferenciam em razão do efeito financeiro que provocam no patrimônio.e financeira, julgue os próximos itens.
Provas
Questão presente nas seguintes provas
Cadernos
Caderno Container