Foram encontradas 1.359 questões.
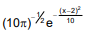
Seja y = x1 + x2, onde x1 e x2 são variáveis aleatórias
gaussianas e estatisticamente independentes, cujos parâmetros (média (μx) e desvio padrão (σx)) são, respectivamente, (μx1 = 1 , σx1 = 1) e (μx2 = 1 , σx2 = 2).
A função densidade de probabilidade de y, fy (Y), é dada pela expressão
A função densidade de probabilidade de y, fy (Y), é dada pela expressão
Provas
Questão presente nas seguintes provas
Um grande grupo de amigos resolveu fazer um sorteio
tipo “Mega-Sena” da importância arrecadada entre eles.
Para isso, cada participante do sorteio preencherá seu
nome numa cartela contendo os números inteiros de
1 até 16 e marcará seis desses números. Após a entrega
das cartelas preenchidas, inicia-se a cerimônia de sorteio.
Para isso, dispõe-se de uma urna contendo 16 esferas
idênticas, numeradas de 1 até 16. Serão retiradas aleatoriamente, de forma sequencial, quatro dessas esferas,
que representam os números sorteados.
Nessas condições, qual deverá ser a probabilidade de um dos participantes acertar os quatro números sorteados?
Nessas condições, qual deverá ser a probabilidade de um dos participantes acertar os quatro números sorteados?
Provas
Questão presente nas seguintes provas
Um empréstimo no valor de R$ 200 mil foi realizado em
janeiro de 2023, a uma taxa de juro de 10% ao ano, no
regime de juros compostos. O plano de pagamentos da
dívida, apresentado na Tabela a seguir, é composto por
3 parcelas, a serem pagas, respectivamente, após exatos
1, 2 e 3 anos a partir da data do empréstimo.

Para liquidar a dívida, a quantia, em milhares de reais, que mais se aproxima do valor da terceira parcela, é igual a

Para liquidar a dívida, a quantia, em milhares de reais, que mais se aproxima do valor da terceira parcela, é igual a
Provas
Questão presente nas seguintes provas
Um levantamento realizado pela direção da empresa W
Transportes mostrou que o ciclo de vida médio dos clientes corporativos de serviços de transportes é de 6 anos.
Se o objetivo da direção é que o valor da relação comercial de cada cliente corporativo seja, no mínimo, de R$ 300.000,00, qual deve ser o montante mínimo de negócios mensais de cada cliente da empresa?
Se o objetivo da direção é que o valor da relação comercial de cada cliente corporativo seja, no mínimo, de R$ 300.000,00, qual deve ser o montante mínimo de negócios mensais de cada cliente da empresa?
Provas
Questão presente nas seguintes provas
Uma empresa distribui, em média, 500 ventiladores por dia,
com um desvio padrão de 100 unidades. O fornecedor entrega, em média, 500 ventiladores a cada 10 dias, com um
desvio padrão de 2 dias. Essa empresa quer ter produtos
em estoque para manter um nível de serviço de 95%.
A empresa usa, como fórmula do estoque de segurança,
a seguinte equação:
SS = z x (μD x σL)2 + (μL x σD)2
Onde:
• SS é o estoque de segurança;
• z é o fator de segurança, que depende do nível de serviço desejado;
• μD é a demanda média diária;
• σD é o desvio padrão da demanda diária;
• μL é o tempo médio de entrega; e
• σL é o desvio padrão do tempo de entrega.
O valor de z, para um nível de confiança de 95%, é dado pela distribuição normal e é igual a z = 1,65.
Nesse cenário, quantos ventiladores deverão ser mantidos no estoque de segurança?
SS = z x (μD x σL)2 + (μL x σD)2
Onde:
• SS é o estoque de segurança;
• z é o fator de segurança, que depende do nível de serviço desejado;
• μD é a demanda média diária;
• σD é o desvio padrão da demanda diária;
• μL é o tempo médio de entrega; e
• σL é o desvio padrão do tempo de entrega.
O valor de z, para um nível de confiança de 95%, é dado pela distribuição normal e é igual a z = 1,65.
Nesse cenário, quantos ventiladores deverão ser mantidos no estoque de segurança?
Provas
Questão presente nas seguintes provas
Considere x e y duas grandezas que se relacionam por meio
de uma função, expressa pela lei y = f(x) = ax2
+ bx + c, com
x variando continuamente no intervalo [0;100]. Sabe-se
que a, b e c são parâmetros que dependem das condições de mercado. Considere que f(0) = 200 e f(45) = 605,
sendo esse último o valor máximo atingido pela variável y
no intervalo dado.
Nessas condições, o valor da variável y, quando x vale 85, é igual a
Nessas condições, o valor da variável y, quando x vale 85, é igual a
Provas
Questão presente nas seguintes provas
Uma empresa precisa distribuir 5 contratos diferentes, denominados C1, C2, C3, C4 e C5, entre 4 prestadores de
serviços (A, B, C e D), de modo que todos os 5 contratos
sejam distribuídos, e que não haja prestador sem, pelo
menos, um contrato.
O número de possibilidades de distribuição dos 5 contratos pelos 4 prestadores, nessas condições, é igual a
O número de possibilidades de distribuição dos 5 contratos pelos 4 prestadores, nessas condições, é igual a
Provas
Questão presente nas seguintes provas
Uma empresa tem 5 navios petroleiros do tipo Panamax,
com capacidade de carregamento na faixa de 65 mil a
80 mil TPB. Será preciso programar 8 viagens usando
essa frota, de modo que cada petroleiro participe de, pelo
menos, uma viagem. Considere que todos os 5 petroleiros
estejam aptos a fazer qualquer uma das 8 viagens, cujas
rotas são exatamente iguais (mesma origem e mesmo
destino).
O número total de possibilidades de se distribuirem essas 8 viagens entre os 5 petroleiros, nas condições apresentadas, é igual a
O número total de possibilidades de se distribuirem essas 8 viagens entre os 5 petroleiros, nas condições apresentadas, é igual a
Provas
Questão presente nas seguintes provas
A receita bruta de uma empresa apresentou uma taxa de
crescimento anual constante, no período de 2020 a 2022,
conforme mostrado na Tabela a seguir.

Suponha que essa taxa de crescimento anual se mantenha constante nos próximos anos, e que a meta da empresa seja atingir uma receita bruta acumulada, a partir de 2020 (soma das receitas dos anos a partir de 2020, inclusive), de cinco bilhões de reais, em algum ano entre 2020 e 2040.
Dentre as alternativas, o primeiro ano, a partir do qual a meta será atingida, nas condições apresentadas, será
Dado: log 21 = 1,322; log 12 = 1,079

Suponha que essa taxa de crescimento anual se mantenha constante nos próximos anos, e que a meta da empresa seja atingir uma receita bruta acumulada, a partir de 2020 (soma das receitas dos anos a partir de 2020, inclusive), de cinco bilhões de reais, em algum ano entre 2020 e 2040.
Dentre as alternativas, o primeiro ano, a partir do qual a meta será atingida, nas condições apresentadas, será
Dado: log 21 = 1,322; log 12 = 1,079
Provas
Questão presente nas seguintes provas
Considerando que A seja um subconjunto do conjunto dos
números reais, analise a seguinte afirmação:
“Para qualquer x ∈ A , tem-se que 1 ≤ x < 5 ”.
Essa afirmação será FALSA se, e somente se,
“Para qualquer x ∈ A , tem-se que 1 ≤ x < 5 ”.
Essa afirmação será FALSA se, e somente se,
Provas
Questão presente nas seguintes provas
Cadernos
Caderno Container