Foram encontradas 526 questões.
Texto 7A3-I
O coeficiente de correlação linear de Pearson entre duas variáveis aleatórias discretas X e Y definidas sobre um mesmo espaço amostral é dado por

Uma forma de avaliar a precisão do modelo consiste em
comparar o estimador não viesado da variância residual, obtido das
diferenças entre os valores observados e os previstos pelo modelo,
com o estimador não viesado da variância dos valores observados, ![]()
A tabela a seguir apresenta as penas de reclusão (P), em anos, cominadas a um grupo de dez réus, e suas respectivas rendas familiares mensais per capitas (R), em número de salários mínimos, em que a última coluna foi obtida usando a reta ajustada pelo método dos mínimos quadrados.

Provas
Texto 7A3-I
O coeficiente de correlação linear de Pearson entre duas variáveis aleatórias discretas X e Y definidas sobre um mesmo espaço amostral é dado por

Uma forma de avaliar a precisão do modelo consiste em
comparar o estimador não viesado da variância residual, obtido das
diferenças entre os valores observados e os previstos pelo modelo,
com o estimador não viesado da variância dos valores observados, ![]()
A tabela a seguir apresenta as penas de reclusão (P), em anos, cominadas a um grupo de dez réus, e suas respectivas rendas familiares mensais per capitas (R), em número de salários mínimos, em que a última coluna foi obtida usando a reta ajustada pelo método dos mínimos quadrados.

Provas
Texto 7A3-I
O coeficiente de correlação linear de Pearson entre duas variáveis aleatórias discretas X e Y definidas sobre um mesmo espaço amostral é dado por

Uma forma de avaliar a precisão do modelo consiste em
comparar o estimador não viesado da variância residual, obtido das
diferenças entre os valores observados e os previstos pelo modelo,
com o estimador não viesado da variância dos valores observados, ![]()
A tabela a seguir apresenta as penas de reclusão (P), em anos, cominadas a um grupo de dez réus, e suas respectivas rendas familiares mensais per capitas (R), em número de salários mínimos, em que a última coluna foi obtida usando a reta ajustada pelo método dos mínimos quadrados.

Provas
Para determinado experimento, uma equipe de pesquisadores gerou 20 amostras de tamanho n = 25 de uma distribuição normal, com média µ = 5 e desvio padrão σ = 3. Para cada amostra, foi montado um intervalo de confiança com coeficiente de 0,95 (ou 95%). Com base nessas informações, julgue os itens que se seguem.
I Os intervalos de confiança terão a forma βi ± 1,176, em que βi é a média da amostra i.
II Para todos os intervalos de confiança, βi
+
µ
βi
-
,
sendo
a margem de erro do estimador.
III Se o tamanho da amostra fosse maior, mantendo-se fixos os
valores do desvio padrão e do nível de confiança, haveria uma
redução da margem de erro
.
Assinale a opção correta.
Provas
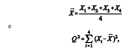
Uma amostra aleatória simples {X1, X2, X3, X4} de tamanho 4 é retirada de uma distribuição normal com média μ e variância σ2 . A respeito das estatísticas

assinale a opção correta.
Provas
Se Ω representar um espaço amostral de determinado experimento aleatório, A ⊂ Ω e B ⊂Ω forem dois eventos com P(A) = 0,4 e P(B) = 0,8 e se \(\overline{A}\) e \(\overline{B}\) forem, respectivamente, os eventos complementares de A e B, então
Provas
- Estatística InferencialFunções Densidade de Probabilidade
- Estatística InferencialVariáveis AleatóriasVariável Aleatória Contínua
- Probabilidades
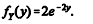
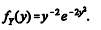
A função de densidade de probabilidade de uma variável aleatória contínua X é expressa por:

Se
então a função de densidade da variável Y para y
0 é
expressa por
Provas
- Fundamentos
- Distribuições de Probabilidade
- Estatística InferencialVariáveis AleatóriasVariável Aleatória Contínua
- Probabilidades
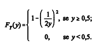
O tempo de duração de processos judiciais (em anos) que tramitam em certo tribunal é representado por uma variável aleatória contínua Y cuja função de distribuição acumulada é expressa por:

A partir dessa situação hipotética, assinale a opção correta.
Provas
- Fundamentos
- Distribuições de ProbabilidadeDistribuições ContínuasNormal
- Distribuições de ProbabilidadeDistribuições ContínuasStudent
Se X e Y são variáveis aleatórias normais independentes, tais que
X ~ N(0,1) e Y ~ N(0,1), a razão
segue uma distribuição
Provas

Considerando que o desenho esquemático (boxplot) antecedente se refere a uma variável quantitativa X, assinale a opção correta
Provas
Caderno Container