Foram encontradas 319 questões.
O fator de potência de um circuito de corrente alternada é definido pela relação entre a potência real e a potência aparente. Em uma instalação com uma potência fixa, operando com um fator de potência de 0,5, o indicador de corrente mostra uma corrente de 50 A. Se essa instalação estivesse operando com fator de potência 1, a leitura no indicador seria igual a
Provas
Ao escolher materiais para uma dada aplicação, deve-se levar em conta propriedades mecânicas e físicas e também considerar o comportamento do material durante o processamento, o custo, a disponibilidade e outros aspectos. Acerca das aplicações dos principais materiais de engenharia, julgue os itens a seguir.
I Os ferros fundidos brancos são materiais não-dúcteis, muito frágeis, porém resistentes à abrasão e, por isso, recomendados para aplicações como freios de material ferroviário.
II A vulcanização por enxofre das borrachas estabelece ligações cruzadas que restringem os movimentos relativos entre as cadeias poliméricas, variando a elasticidade das mesmas. Quanto maior o grau de vulcanização, mais moles e elásticas as borrachas ficam.
III Os vidros temperados são vidros tratados termicamente de forma a introduzir tensões residuais de compressão nas suas superfícies, tornando-os indicados para aplicações que exijam resistência à tração.
IV Embora não apresente grande resistência à corrosão, o monel, nome dado a uma liga de cobre-níquel, é indicado para aplicações a altas temperaturas em função de suas excelentes propriedades mecânicas nessas condições.
V Os aços inoxidáveis conhecidos como 18-8 (18% Cr — 8% Ni) formam austenita estável à temperatura ambiente, o que lhes proporciona alta dureza e elevada resistência, porém com redução da resistência à corrosão, sendo, por isso, indicados para aplicações a temperaturas elevadas, como peças de fornos e estufas.
Estão certos apenas os itens
Provas
É possível evitar a corrosão ou minimizá-la consideravelmente por meio de métodos de prevenção adequados. Com relação aos métodos de prevenção da corrosão, julgue os itens a seguir.
I Placas de magnésio fixadas à superfície de dutos de aço enterrados é uma forma de proteção galvânica, pois essas placas tornam-se anodos de sacrifício, corroendo-se em lugar do aço.
II Pintar superfícies com tintas orgânicas não é uma forma efetiva de prevenção contra corrosão por camada protetora, pois a tinta não isola o metal do eletrólito corrosivo.
III O aço estanhado só estará protegido da corrosão enquanto a superfície do mesmo estiver completamente coberta. Se a camada de estanho for perfurada, o estanho passará a atuar como anodo, acelerando a corrosão.
IV A galvanização das chapas de aço, operação em que a chapa é recoberta com uma camada de zinco, é um exemplo de proteção contra corrosão pelo método de camada protetora.
V A aplicação de uma tensão elétrica contínua a uma tubulação subterrânea, tornando-a catódica, é um exemplo de prevenção contra corrosão pelo método de proteção galvânica.
Estão certos apenas os itens
Provas
Para haver corrosão galvânica, é necessário que se forme uma célula galvânica, ou seja, um circuito elétrico composto por um eletrólito e dois eletrodos com potenciais diferentes. A respeito do processo de corrosão eletroquímica, assinale a opção incorreta.
Provas
Um ventilador axial possui um rendimento interno
= 0,8, um rendimento mecânico
= 0,9 e uma vazão de 1,6 m3/s de ar atmosférico cuja densidade P é igual a 1,2 kg/m3, e desenvolve um trabalho específico interno Y = 375 J/kg. Nesse caso, a potência necessária para acionar esse ventilador será igual a
Provas

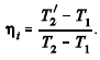
O processo mostrado no diagrama h-s acima ocorre em um turbocompressor axial que comprime ar ideal no qual, para a compressão adiabática reversível,

em que Y e Yi indicam, em cada caso, o trabalho específico interno para máquinas que trabalham com fluidos compressíveis. Nessa situação, o rendimento interno
do turbocompressor será dado por
Provas

A figura acima mostra o esquema de uma instalação de bombeamento com by-pass, solução utilizada em algumas aplicações para variar a vazão, na qual a bomba é acionada por um motor elétrico. Acerca dessa instalação, julgue os itens a seguir.
I A potência elétrica requerida pelo motor dessa instalação será dada por ,
representam os rendimentos do motor elétrico e da bomba, respectivamente. II A bomba opera com vazão Q1, enquanto a instalação solicita uma vazão Q.
III Se a rotação da bomba fosse reduzida de n para n', a bomba funcionaria no ponto F1, reduzindo o consumo de energia elétrica.
IV A instalação mostrada pode ser representada pela equação H = Ho - Hp , em que Hp corresponde às perdas de carga na linha de sucção e recalque.
V Operando no ponto F(Q, H), a bomba consumirá mais energia que a necessária para o funcionamento da instalação.
Estão certos apenas os itens
Provas

A árvore mostrada na figura acima está submetida a uma carga axial P. Assumindo que não há problemas de flambagem nem existem tensões residuais em qualquer ponto do componente, a tensão será igual a P/S, em que S é a área de uma das secções
Provas

Um manômetro de tubo em U fechado, contendo mercúrio (Pr = 13,6), está instalado na parte inferior de uma tubulação de água, conforme mostrado na figura acima. No ponto P1, diretamente acima da tomada de pressão, está montado um outro manômetro de tubo em U invertido, que contém um líquido de densidade relativa Pr = 0,5. Nessa situação, considerando os dados apresentados na figura, a pressão em P2 será igual a
Provas

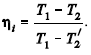
A figura acima mostra a variação de temperatura em dois fluidos ao longo de um trocador de calor simples do tipo tubo-e-carcaça concêntricos. Tfe e Tqe são as temperaturas de entrada dos fluidos frio e quente, respectivamente, e Tfs e Tqs são, analogamente, as temperaturas de saída dos fluidos frio e quente. A situação esquematizada
Provas
Caderno Container