Foram encontradas 350 questões.
Considerando o que dispõe a Lei n.º 5.194/1966, que regula o exercício das profissões de engenheiro, arquiteto e engenheiro-agrônomo, assinale a opção correta.
Provas
A anotação de responsabilidade técnica (ART) é o instrumento que define, para os efeitos legais, os responsáveis técnicos pela execução de obras ou pela prestação de serviços relativos às profissões abrangidas pelo sistema CONFEA/CREA. Acerca desse tema, assinale a opção correta.
Provas
Assinale a opção em que é apresentado o comando do AutoCAD 2024 que controla a precisão e os formatos de exibição de coordenadas, distâncias e ângulos do desenho.
Provas
Na avaliação econômica de projetos, o indicador que, quando igualado ao custo de oportunidade em investir em determinado projeto, zera o valor presente líquido (VPL) do projeto é
Provas
Acerca de perícias de engenharia na construção civil, julgue os itens a seguir, conforme a ABNT NBR 13752.
I Os vícios são anomalias em edificações, resultantes especificamente do mau uso ou da falta de manutenção das instalações por parte dos usuários.
II A manifestação consiste em um laudo introdutório por ser a primeira etapa do processo de elaboração de uma perícia técnica.
III As perícias de engenharia na construção civil devem ser acompanhadas da anotação de responsabilidade técnica (ART).
IV O perito pode apresentar trabalho sumário ao invés de um laudo pericial para casos especiais, quando o objetivo da perícia for dar uma informação preliminar, sem maiores detalhamentos, e em que haja a necessidade de procedimento rápido.
Assinale a opção correta.
Provas
Texto 4A01-II
O DER/PR está elaborando edital para a contratação de empresa de engenharia, pelo regime de contratação integrada, cujo objeto é a duplicação de 50 km de uma rodovia estadual. A responsabilidade pelo licenciamento ambiental para a obra será do DER/PR. No edital, haverá previsão de índice de reajustamento de preço, e o prazo de vigência do contrato será de dois anos.
Em relação à situação hipotética apresentada no texto 4A01-II, assinale a opção correta, a respeito das regras para o reajustamento de contratos públicos.
Provas
Texto 4A01-II
O DER/PR está elaborando edital para a contratação de empresa de engenharia, pelo regime de contratação integrada, cujo objeto é a duplicação de 50 km de uma rodovia estadual. A responsabilidade pelo licenciamento ambiental para a obra será do DER/PR. No edital, haverá previsão de índice de reajustamento de preço, e o prazo de vigência do contrato será de dois anos.
Com base na situação hipotética apresentada no texto 4A01-II e considerando a Lei n.º 14.133/2021, assinale a opção correta.
Provas
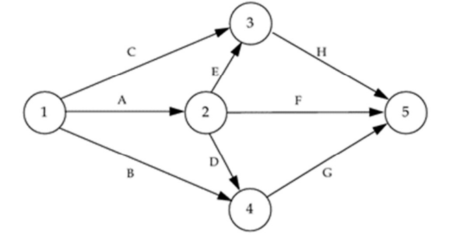
Texto 4A01-I
Para planejar a execução da obra do estacionamento de um órgão público, foram listadas oito atividades, cujos tempos de duração, em semanas, constam na tabela seguinte. A partir da ordem dessas atividades, desenhou-se a rede PERT/CPM, que está representada na figura.
atividade | duração | atividades precedentes |
A | 3 | - |
B | 6 | - |
C | 2 | - |
D | 4 | A |
E | 2 | A |
F | 8 | A |
G | 4 | B, C |
H | 3 | C, E |

Na situação apresentada no texto 4A01-I, para que todas as atividades sejam concluídas, serão necessárias
Provas
Texto 4A01-I
Para planejar a execução da obra do estacionamento de um órgão público, foram listadas oito atividades, cujos tempos de duração, em semanas, constam na tabela seguinte. A partir da ordem dessas atividades, desenhou-se a rede PERT/CPM, que está representada na figura.
atividade | duração | atividades precedentes |
A | 3 | - |
B | 6 | - |
C | 2 | - |
D | 4 | A |
E | 2 | A |
F | 8 | A |
G | 4 | B, C |
H | 3 | C, E |

Com base nas informações apresentadas no texto 4A01-I, assinale a opção que corresponde à sequência de atividades críticas (caminho crítico) para a execução da referida obra.
Provas
Na primeira etapa do planejamento da contratação de uma obra pública, deve ser elaborado um documento que caracteriza o interesse público envolvido, evidencia o problema a ser resolvido e apresenta a melhor solução para o caso. Esse documento é denominado
Provas
Caderno Container