Foram encontradas 1.784 questões.
A diferença principal entre amostragem estratificada e amostragem por conglomerados é que, no caso da estratificada, a população é dividida artificialmente em estratos, e, no caso da amostragem por conglomerados, a população já é naturalmente dividida em subpopulações.
Provas
Acerca da teoria de probabilidades, julgue os itens subsecutivos.
A distribuição uniforme contínua em [0, 1] é um caso degenerado da distribuição beta.
Provas
Acerca da teoria de probabilidades, julgue os itens subsecutivos.
Se X = I(A) é uma função indicadora da ocorrência do evento A, então E(X) = P(A), em que E(X) é o valor esperado de X e P(A), a probabilidade de ocorrência do evento A.
Provas
Acerca da teoria de probabilidades, julgue os itens subsecutivos.
Se 80% de uma população pertence ao grupo A e 60%, ao grupo B, e sabendo que a interseção entre os grupos A e B não é vazia, então a probabilidade da interseção de A e B é maior ou igual a 0,4.
Provas
Acerca da teoria de probabilidades, julgue os itens subsecutivos.
O número de possíveis retiradas de bolas de uma urna, sem reposição, é menor quando a ordem importa.
Provas
Acerca da teoria de probabilidades, julgue os itens subsecutivos.

Provas
A respeito das medidas de assimetria e curtose, julgue os próximos itens.
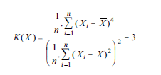
A curtose de uma distribuição correspondente a um conjunto de dados X com n elementos e média aritmetica
pode ser , corretamente calculada a partir da expressão abaixo. No caso em que X tem distribuição normal, a curtose é zero.

Provas
A respeito das medidas de assimetria e curtose, julgue os próximos itens.
Entre as distribuições A e B a seguir, aquela que melhor representa uma distribuição com assimetria negativa e curtose positiva é a distribuição A.

Provas
– 5 – Com relação às medidas de dispersão, considerando que
representa a média aritmética de um conjunto de dados {X1, X2, ..., Xn}, julgue os itens que se seguem.
A expressão abaixo é uma medida correta de dispersão, para qualquer valor de k > 0.
![]()
Provas
– 5 – Com relação às medidas de dispersão, considerando que
representa a média aritmética de um conjunto de dados {X1, X2, ..., Xn}, julgue os itens que se seguem.
Se Ri é o posto do valor Xi, i = 1, 2, ..., n, então a variância de Ri é uma medida de dispersão para X.
Provas
Caderno Container