Magna Concursos

Foram encontradas 1.234 questões.

887442 Ano: 2004
Disciplina: TI - Gestão e Governança de TI
Banca: CESPE / CEBRASPE
Orgão: STJ
Provas:

Em função de os sistemas de informação serem utilizados praticamente em todos os processos sociais e econômicos, seu planejamento é uma atividade cada vez mais importante. Acerca do planejamento de sistemas de informação e da necessidade de integração dos elementos empregados nessa atividade, julgue os itens subseqüentes.

O planejamento tecnológico, em especial no que se refere aos sistemas de informação, constitui uma das atividades mais importantes para a criação, sustentação e maximização da vantagem competitiva.

 

Provas

Questão presente nas seguintes provas
887441 Ano: 2004
Disciplina: TI - Gestão e Governança de TI
Banca: CESPE / CEBRASPE
Orgão: STJ
Provas:

Em função de os sistemas de informação serem utilizados praticamente em todos os processos sociais e econômicos, seu planejamento é uma atividade cada vez mais importante. Acerca do planejamento de sistemas de informação e da necessidade de integração dos elementos empregados nessa atividade, julgue os itens subseqüentes.

Aponta-se a ainda existente desestruturação ou baixa estruturação das demandas informacionais estratégicas como um fator que impede a informática de oferecer soluções que correspondam às necessidades de grande parte dos executivos.

 

Provas

Questão presente nas seguintes provas
887440 Ano: 2004
Disciplina: Informática
Banca: CESPE / CEBRASPE
Orgão: STJ
Provas:

Sistemas de detecção de intrusão (IDS) são ferramentas que auxiliam a administração da segurança de um ambiente por meio de verificações em informações providas da rede, dos sistemas ou dos aplicativos. Com relação aos sistemas de detecção de intrusão, julgue os itens seguintes.

Para otimizar as saídas geradas por sondas de detecção de intrusão, é comum o uso de técnicas de correlação de alertas. O emprego adequado de tais mecanismos pode reduzir consideravelmente a quantidade de informações que deve ser avaliada por seres humanos, principalmente devido à redução da quantidade global de falsos positivos. Entretanto, a correlação de alertas não permite a detecção de ataques que não tenham sido detectados isoladamente por uma sonda, não sendo, portanto, uma técnica útil na eliminação ou na redução de falsos negativos.

 

Provas

Questão presente nas seguintes provas
887439 Ano: 2004
Disciplina: Informática
Banca: CESPE / CEBRASPE
Orgão: STJ
Provas:

Sistemas de detecção de intrusão (IDS) são ferramentas que auxiliam a administração da segurança de um ambiente por meio de verificações em informações providas da rede, dos sistemas ou dos aplicativos. Com relação aos sistemas de detecção de intrusão, julgue os itens seguintes.

Sistemas de detecção de intrusão com base em assinatura de ataques normalmente apresentam alta taxa de falsos negativos. Entretanto, esses sistemas não geram falsos positivos.

 

Provas

Questão presente nas seguintes provas
887438 Ano: 2004
Disciplina: Informática
Banca: CESPE / CEBRASPE
Orgão: STJ
Provas:

Sistemas de detecção de intrusão (IDS) são ferramentas que auxiliam a administração da segurança de um ambiente por meio de verificações em informações providas da rede, dos sistemas ou dos aplicativos. Com relação aos sistemas de detecção de intrusão, julgue os itens seguintes.

Um problema corrente em sistemas de detecção de intrusão é a existência de falsos positivos, ou seja, a geração de alertas associados a eventos normais que não constituem ataques ou tentativas de ataques.

 

Provas

Questão presente nas seguintes provas
887437 Ano: 2004
Disciplina: TI - Segurança da Informação
Banca: CESPE / CEBRASPE
Orgão: STJ
Provas:

Sistemas de detecção de intrusão (IDS) são ferramentas que auxiliam a administração da segurança de um ambiente por meio de verificações em informações providas da rede, dos sistemas ou dos aplicativos. Com relação aos sistemas de detecção de intrusão, julgue os itens seguintes.

Sistemas de detecção de intrusão que operam com base exclusiva em um conjunto de assinaturas de ataques apresentam como grande limitação a incapacidade de detectar ataques que não sejam previamente conhecidos.

 

Provas

Questão presente nas seguintes provas
887436 Ano: 2004
Disciplina: TI - Redes de Computadores
Banca: CESPE / CEBRASPE
Orgão: STJ
Provas:

Em relação a características de firewalls, julgue os itens a seguir.

Firewalls do tipo brigdes trabalham na camada de enlace. Sua detecção é muito difícil porque funcionam de forma transparente para os usuários fim-a-fim.

 

Provas

Questão presente nas seguintes provas
887435 Ano: 2004
Disciplina: TI - Redes de Computadores
Banca: CESPE / CEBRASPE
Orgão: STJ
Provas:

Em relação a características de firewalls, julgue os itens a seguir.

Um firewall StateFull permite o controle de uma conexão TCP/IP por meio de estado interno, de forma que os pacotes não são tratados independentemente, mas sim em um contexto de uma conexão.

 

Provas

Questão presente nas seguintes provas
887434 Ano: 2004
Disciplina: TI - Segurança da Informação
Banca: CESPE / CEBRASPE
Orgão: STJ
Provas:

Acerca de criptografia, uma das técnicas fundamentais para a segurança da informação, de protocolos criptográficos e de sistemas de criptografia e aplicações, julgue os itens subseqüentes.

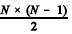
Um dos fatores que complicam o emprego de sistemas de criptografia simétricos com chave privada única é a necessidade de distribuir e armazenar enunciado 887434-1 chaves, caso haja um canal criptográfico próprio para cada par de usuários em um conjunto de N usuários.

 

Provas

Questão presente nas seguintes provas
887433 Ano: 2004
Disciplina: TI - Segurança da Informação
Banca: CESPE / CEBRASPE
Orgão: STJ
Provas:

Acerca de criptografia, uma das técnicas fundamentais para a segurança da informação, de protocolos criptográficos e de sistemas de criptografia e aplicações, julgue os itens subseqüentes.

Um protocolo de assinatura digital deve apresentar como propriedades básicas a impossibilidade de fabricação de assinaturas por terceiros e a garantia da autenticidade de determinada assinatura. Além disso, deve garantir que uma transação com assinatura digital seja inalterável e não possa ser reutilizada em outra ocasião.

 

Provas

Questão presente nas seguintes provas