Magna Concursos

Foram encontradas 60 questões.

1706833 Ano: 2001
Disciplina: Matemática
Banca: FGV
Orgão: SPTrans
Provas:

A solução do sistema Enunciado 1706833-1 é um par ordenado (x, y), tal que x – y vale

 

Provas

Questão presente nas seguintes provas
1706832 Ano: 2001
Disciplina: Matemática
Banca: FGV
Orgão: SPTrans
Provas:

O domínio da função real de variável real, definida por Enunciado 1706832-1 é

 

Provas

Questão presente nas seguintes provas
1706831 Ano: 2001
Disciplina: Matemática
Banca: FGV
Orgão: SPTrans
Provas:

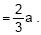
Num retângulo ABCD, onde AD = BC = a e AB = CD = b, toma-se o ponto E, sobre o lado BC, tal que BEEnunciado 1706831-1 Considerando as áreas dos triângulos ABE, CDE e AED, pode-se afirmar que

 

Provas

Questão presente nas seguintes provas
1706830 Ano: 2001
Disciplina: Matemática
Banca: FGV
Orgão: SPTrans
Provas:

Para que a circunferência x2+y2+5x+4y+a=0 determine, no eixo Ox, uma corda de comprimento 3, o valor de "a" deverá ser

 

Provas

Questão presente nas seguintes provas
1706829 Ano: 2001
Disciplina: Matemática
Banca: FGV
Orgão: SPTrans
Provas:

A equação x3 -4x2 -4x-16-0 tem raízes a, b e c, tais que a = b + c. O valor de Enunciado 1706829-1 é

 

Provas

Questão presente nas seguintes provas
1706828 Ano: 2001
Disciplina: Matemática
Banca: FGV
Orgão: SPTrans
Provas:

O sistema linear enunciado 1706828-1 é indeterminado para

 

Provas

Questão presente nas seguintes provas
1706827 Ano: 2001
Disciplina: Matemática
Banca: FGV
Orgão: SPTrans
Provas:

Existem N maneiras distintas de marcar 6 quadrados na figura ao lado, marcando exatamente 2 em cada coluna e 1 em cada linha. O valor de N é

 

Provas

Questão presente nas seguintes provas
1706826 Ano: 2001
Disciplina: Matemática
Banca: FGV
Orgão: SPTrans
Provas:

Duas urnas A e B são colocadas lado a lado. Cada uma dessas urnas contém 10 bolas iguais, indistinguíveis ao tato e numeradas de 0 a 9. Retira-se uma bola de A e depois uma bola de B e forma-se o número cujo algarismo das dezenas é o número tirado de A e o algarismo das unidades, o número tirado de B. A probabilidade de que o número assim obtido seja divisível por 3 é

 

Provas

Questão presente nas seguintes provas
1706825 Ano: 2001
Disciplina: Matemática
Banca: FGV
Orgão: SPTrans
Provas:

Se Enunciado 1706825-1 , então

 

Provas

Questão presente nas seguintes provas
1706824 Ano: 2001
Disciplina: Matemática
Banca: FGV
Orgão: SPTrans
Provas:

O polinômio P(x)=9x3 -36x2 +29x -6 é divisível por x- 3. O conjunto solução da equação P(x) = 0 é :

 

Provas

Questão presente nas seguintes provas