Foram encontradas 910 questões.
julgue os itens que se seguem.y > x.
Provas
Uma lata de açaí custa R$ 3,00, se for de boa qualidade, e R$ 1,80, se for de qualidade inferior. Um agricultor colheu uma quantidade de latas do açaí de boa qualidade que excede em 15 latas à de qualidade inferior. Vendida essa colheita, o agricultor recebeu R$ 165,00. Com base nessas informações, julgue os itens subseqüentes.
A venda do açaí de boa qualidade rendeu ao agricultor menos de R$ 130,00.
Provas
Uma lata de açaí custa R$ 3,00, se for de boa qualidade, e R$ 1,80, se for de qualidade inferior. Um agricultor colheu uma quantidade de latas do açaí de boa qualidade que excede em 15 latas à de qualidade inferior. Vendida essa colheita, o agricultor recebeu R$ 165,00. Com base nessas informações, julgue os itens subseqüentes.
O agricultor colheu menos de 20 latas do açaí de qualidade inferior.
Provas
Julgue os itens seguintes, acerca do sistema legal de medidas.
De um terreno que tem 80 m 2 de área retiraram-se as ervas daninhas de uma área igual a 3.500 dm 2 . Então a área do terreno de que ainda não foram retiradas as ervas daninhas é inferior a 20 m 2 .
Provas
Julgue os itens seguintes, acerca do sistema legal de medidas.
Se um motorista percorrer 150.000 m em um dia e 25.000.000 cm no dia seguinte, então, nos dois dias, a distância percorrida será superior a 500 km.
Provas
Julgue os itens seguintes, acerca do sistema legal de medidas.
É correto afirmar que 4 dm 3 e mais 500 cm3 de água correspondem a 4,5 L.
Provas
Julgue os itens seguintes, acerca do sistema legal de medidas.
Se a exibição de um filme dura 8.130 s, então é correto afirmar que o tempo correspondente a essa exibição é inferior a 2 h 15 m 20 s.
Provas
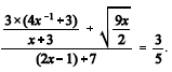
Julgue os itens seguintes, relacionados a operações com números reais.
Se x = 2, então
Provas
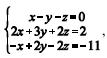
Julgue os itens seguintes, relacionados a operações com números reais.
![]()
Provas
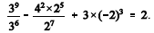
Julgue os itens seguintes, relacionados a operações com números reais.
É correto afirmar que
.
Provas
Caderno Container