Foram encontradas 910 questões.
Disciplina: Agronomia (Engenharia Agronômica)
Banca: CESPE / CEBRASPE
Orgão: SGA-AC
O sucesso de todo empreendimento hortícola depende, em grande parte, da produção de mudas vigorosas, sadias e uniformes. Acerca da propagação direta ou indireta de hortaliças com uso de mudas de alta qualidade, julgue os itens subseqüentes.
A propagação de batata é feita mediante o plantio dos tubérculos diretamente no sulco de plantio, de forma manual ou mecanizada, devendo-se irrigar por aspersão logo após o plantio e utilizar tubérculos sem brotos para evitar o ferimento das brotações e a conseqüente ocorrência de patógenos.
Provas
Disciplina: Agronomia (Engenharia Agronômica)
Banca: CESPE / CEBRASPE
Orgão: SGA-AC
O sucesso de todo empreendimento hortícola depende, em grande parte, da produção de mudas vigorosas, sadias e uniformes. Acerca da propagação direta ou indireta de hortaliças com uso de mudas de alta qualidade, julgue os itens subseqüentes.
O substrato comercial preparado de forma artificial com o uso de vermiculita mais casca de vegetais necessita ser adubado quimicamente pelo viveirista, na produção de mudas de espécies olerícolas, utilizando nitrogênio, fósforo, potássio e micronutrientes, para garantir a produção de mudas de boa qualidade fisiológica.
Provas
Disciplina: Agronomia (Engenharia Agronômica)
Banca: CESPE / CEBRASPE
Orgão: SGA-AC
O sucesso de todo empreendimento hortícola depende, em grande parte, da produção de mudas vigorosas, sadias e uniformes. Acerca da propagação direta ou indireta de hortaliças com uso de mudas de alta qualidade, julgue os itens subseqüentes.
A mistura de matéria orgânica curtida de origem animal produzida pela própria fazenda com o substrato artificial e comercial tem resultado na produção de mudas de hortaliças de alta qualidade fisiológica e com menor custo financeiro.
Provas
Disciplina: Agronomia (Engenharia Agronômica)
Banca: CESPE / CEBRASPE
Orgão: SGA-AC
O sucesso de todo empreendimento hortícola depende, em grande parte, da produção de mudas vigorosas, sadias e uniformes. Acerca da propagação direta ou indireta de hortaliças com uso de mudas de alta qualidade, julgue os itens subseqüentes.
Na propagação da ervilha e do feijão-de-vagem, os agricultores fazem a semeadura direta no campo, utilizando covas no caso de plantio manual, ou sulcos no caso de plantio mecanizado com plantadeiras apropriadas.
Provas
Disciplina: Agronomia (Engenharia Agronômica)
Banca: CESPE / CEBRASPE
Orgão: SGA-AC
O sucesso de todo empreendimento hortícola depende, em grande parte, da produção de mudas vigorosas, sadias e uniformes. Acerca da propagação direta ou indireta de hortaliças com uso de mudas de alta qualidade, julgue os itens subseqüentes.
A propagação correta de cebola e de alho requer a produção de mudas em canteiros, com espaçamentos mais adensados e posterior transplante das mudas para o campo, com aproximadamente 3 a 4 pares de folhas, e com o cuidado de irrigar as mudas para facilitar o arranquio.
Provas
Disciplina: Agronomia (Engenharia Agronômica)
Banca: CESPE / CEBRASPE
Orgão: SGA-AC
O sucesso de todo empreendimento hortícola depende, em grande parte, da produção de mudas vigorosas, sadias e uniformes. Acerca da propagação direta ou indireta de hortaliças com uso de mudas de alta qualidade, julgue os itens subseqüentes.
Na produção de mudas de alface e cenoura, os produtores que utilizam áreas mais extensas têm utilizado bandejas de poliestireno, enquanto os produtores que cultivam áreas menores têm utilizado sementeiras na forma de canteiros.
Provas
Disciplina: Agronomia (Engenharia Agronômica)
Banca: CESPE / CEBRASPE
Orgão: SGA-AC
O sucesso de todo empreendimento hortícola depende, em grande parte, da produção de mudas vigorosas, sadias e uniformes. Acerca da propagação direta ou indireta de hortaliças com uso de mudas de alta qualidade, julgue os itens subseqüentes.
Na produção de mudas de tomate, os agricultores têm preferido o uso de bandejas de poliestireno e substrato artificial à base de vermiculita mais casca de Pinus ou casca de coco, apesar de o custo financeiro ser mais elevado do que o sistema tradicional de produção de mudas em sementeira.
Provas
Disciplina: Agronomia (Engenharia Agronômica)
Banca: CESPE / CEBRASPE
Orgão: SGA-AC
O sucesso de todo empreendimento hortícola depende, em grande parte, da produção de mudas vigorosas, sadias e uniformes. Acerca da propagação direta ou indireta de hortaliças com uso de mudas de alta qualidade, julgue os itens subseqüentes.
A produção de mudas de hortaliças em bandejas de poliestireno apresenta inúmeras vantagens em relação à produção de mudas em sementeiras, entre as quais está a possibilidade de se efetuar o transplante das mudas de forma mecanizada e com maior praticidade.
Provas
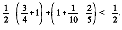
Julgue os itens seguintes, relacionados a expressões algébricas.

Provas
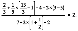
Julgue os itens seguintes, relacionados a expressões algébricas.

Provas
Caderno Container