Foram encontradas 120 questões.

Com base nas informações acima, julgue os itens a seguir
A proposição A
B é equivalente à proposição ¬B
¬A.
Provas
- Lógica ProposicionalContingência, Contradição e TautologiaTautologia
- Lógica ProposicionalTabelas-verdade

Com base nas informações acima, julgue os itens a seguir
Em relação às proposições A:
e B: 9 é par, a proposição composta A
B é uma contradição.
Provas

Com base nas informações acima, julgue os itens a seguir.
Nas condições apresentadas, não é possível produzir mais que três unidades diárias do produto P1.
Provas

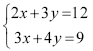
Com base nas informações acima, julgue os itens a seguir.
A solução do sistema de equações lineares
fornece, de fato, uma possível quantidade a ser produzida de P1 e P2.
Provas

A partir do texto acima, julgue os itens que se seguem.
O emprego da primeira pessoa do plural em "Vamos ter" (l.14) indica que tanto o autor quanto o leitor do texto não estão incluídos entre o conjunto de pessoas com "pressa em determinar as conseqüências futuras das atividades simultâneas" (l.12-13).
Provas

A partir do texto acima, julgue os itens que se seguem.
A organização dos argumentos mostra que o conectivo "e" em "e encaram" (l.9) tem o valor de mas e por essa conjunção poderia ser substituído, sem prejuízo da coerência ou da correção do texto.
Provas

A partir do texto acima, julgue os itens que se seguem.
O desenvolvimento das idéias do texto permite inferir que a expressão "ritmo seqüencial" (l.4-5) é usada para caracterizar o procedimento de não misturar as atividades.
Provas

A partir do texto acima, julgue os itens que se seguem.
Na linha 3, o sinal de dois-pontos depois de "coisas" tem a função de introduzir uma explicação, ou justificativa, para a idéia expressa nas orações anteriores. Essa função deixaria de ser marcada pela pontuação caso esse sinal fosse substituído pelo ponto — com o correspondente ajuste na letra inicial de "brincar" —, mas a coerência e a correção gramatical do texto seriam preservadas.
Provas

A partir do texto acima, julgue os itens que se seguem.
Preservam-se a coerência da argumentação e o atendimento às regras gramaticais ao se retirar a preposição "em" do termo "em que" (l.1).
Provas

Julgue os seguintes itens, a respeito das estruturas lingüísticas do texto acima.
A argumentação do texto mostra que a expressão "o mesmo princípio" (l.8) refere-se ao princípio científico de funcionamento do cronômetro marítimo.
Provas
Caderno Container