Foram encontradas 195 questões.
Em uma fábrica, dois operários levam 10 dias para montar 4
peças no total, trabalhando separadamente. A mesma fábrica deve
montar 60 peças semelhantes a essas, utilizando simultaneamente
quatro operários tão eficientes quanto os mencionados anteriormente.
Esse novo trabalho será realizado em:
Provas
Questão presente nas seguintes provas
Uma pessoa arremessa três moedas, cada uma delas com
igual probabilidade de mostrar as faces “cara” ou “coroa”. A probabilidade
de que as três moedas exibam a face “cara” corresponde a:
Provas
Questão presente nas seguintes provas
O conjunto abaixo mostra os primeiros termos de uma progressão geométrica, que possui infinitos termos:
{2; 1; 1/2; 1/4; 1/8; 1/16; 1/32; 1/64; ...}
A soma de todos os termos dessa PG equivale a:
Provas
Questão presente nas seguintes provas
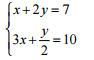
Observe o sistema de equações abaixo:

O produto entre x e y vale:
Provas
Questão presente nas seguintes provas
Observe o terreno triangular mostrado a seguir, visto em planta:

A distância x indicada na fi gura equivale a:
Provas
Questão presente nas seguintes provas
BRASIL NÃO TEM UMA “NOVA CLASSE MÉDIA”, DIZEM ESPECIALISTAS
EM LIVRO, CIENTISTAS SOCIAIS QUESTIONAM PAPEL DO ESTADO
AO AUMENTAR PODER AQUISITIVO DA PARCELA MAIS POBRE DA
POPULAÇÃO SEM PROJETO POLÍTICO
A emancipação de uma parcela da população e o consequente
aumento de seu poder aquisitivo soam como boas notícias para o
Brasil, historicamente marcado por um abismo social e a sistemática
desigualdade na distribuição de renda. No entanto, alguns estudiosos
veem o processo como atropelado e transformador apenas em parte.
A criação da chamada “nova classe média” é contestada por
cientistas sociais no livro A ‘nova classe média’ no Brasil como
conceito e projeto político. A obra, que reúne artigos de especialistas
como Cândido Grzybowski, diretor do Instituto Brasileiro de
Análises Sociais e Econômicas (Ibase), e Marcio Pochmann, da
Unicamp, questiona se o Estado brasileiro é, de fato, um agente
transformador ou se acaba eximindo-se de responsabilidades
fundamentais como gestor e garantidor de direitos sociais e civis.
Para Dawid Bartelt, diretor da Fundação Heinrich Böll e organizador
do livro, fornecer maior poder de compra para as classes
pobres não deve ser um fi m em si mesmo. É preciso haver um
projeto mais amplo. “Precisamos de um plano, não apenas no
consumo. Esse conceito de “nova classe média” nos leva para
um caminho errado. Quando o Estado diz: ‘Vai, classe média,
pague uma escola particular e um plano de saúde para seu fi lho’
acaba se eximindo das obrigações de garantir direitos previstos
na Constituição”, observa sobre pilares como educação e saúde.
Segundo o livro, apesar de a queda da desigualdade ter contribuído
para as pessoas saírem de uma condição de pobreza absoluta,
definir a classe média apenas pelo critério de renda é errôneo.
Faltaria a essa parcela da população emancipada capital social e
cultural, alerta Jessé Souza, professor de sociologia da Universidade
Federal de Juiz de Fora (UFJF) e diretor do Centro de Estudos
Sobre Desigualdade (Cepedes), que assina um dos artigos no livro.
“A ‘verdadeira’ classe média é constituída pelo acesso privilegiado
a um recurso de extrema importância: o capital cultural. É apenas a
classe média ‘verdadeira’ que pode ‘comprar’ o tempo livre de estudo
de seus fi lhos e assim reproduzir seus privilégios de classe. É esse
fundamento social ‘invisível’ que explica não só a renda diferencial,
mas também o reconhecimento social atrelado a isso”, explica.
A chamada “nova classe média” - faixa da população brasileira
com renda mensal familiar entre 1.315 reais e 5.672 reais -, no
entanto, tem uma vida completamente diferente da explicitada por
Souza. Vive um cotidiano marcado pela ausência dos “privilégios
de nascimento” que caracterizam as classes médias e altas, pelo
extraordinário esforço pessoal, pela dupla jornada de trabalho e pela
“super exploração da mão de obra”. “É a classe mais explorada, que
mais trabalha e menos garantias tem. Nas profissões autônomas,
inclusive, chegam a ser inundados pela ideologia de que são livres
e empresários de si mesmos”, observa Souza.
Outro ponto de crítica do livro se dá em relação às condições
de vida da maioria dos cidadãos que compõe a chamada nova
classe média. Segundo as pesquisadoras da Universidade Federal
Fluminense Celia Lessa Kerstenetzky e Christiane Uchôa, os
domicílios localizados no intervalo de renda relativo à nova classe
média correspondem a 31,5 milhões, no quais vivem 38 milhões
de crianças e jovens. Destes, 75% possuem apenas um banheiro,
enquanto 390 mil não dispõem de nenhum.
Vale lembrar ainda, alerta Bartelt, que a maioria gasta de duas a três
horas por dia no trajeto entre casa e trabalho, possui pouca qualificação
e continua trabalhando na economia informal. “Qual o projeto político do
governo? Vamos só comprar mais ou pensar em questões essenciais
como a formação dessas pessoas?”, questiona. “Se queremos que a
criação de uma nova classe média seja sustentável, teremos de entrar
na questão profissional. Sem uma educação de qualidade, essa classe
não conseguirá sustentar essa ascensão social. Em um momento de
crise, os primeiros a perder o emprego serão esses trabalhadores pouco
qualificados. E isso, sim, seria um risco de retrocesso.”
Marsílea Gombata
(http://www.cartacapital.com.br)
Provas
Questão presente nas seguintes provas
BRASIL NÃO TEM UMA “NOVA CLASSE MÉDIA”, DIZEM ESPECIALISTAS
EM LIVRO, CIENTISTAS SOCIAIS QUESTIONAM PAPEL DO ESTADO
AO AUMENTAR PODER AQUISITIVO DA PARCELA MAIS POBRE DA
POPULAÇÃO SEM PROJETO POLÍTICO
A emancipação de uma parcela da população e o consequente
aumento de seu poder aquisitivo soam como boas notícias para o
Brasil, historicamente marcado por um abismo social e a sistemática
desigualdade na distribuição de renda. No entanto, alguns estudiosos
veem o processo como atropelado e transformador apenas em parte.
A criação da chamada “nova classe média” é contestada por
cientistas sociais no livro A ‘nova classe média’ no Brasil como
conceito e projeto político. A obra, que reúne artigos de especialistas
como Cândido Grzybowski, diretor do Instituto Brasileiro de
Análises Sociais e Econômicas (Ibase), e Marcio Pochmann, da
Unicamp, questiona se o Estado brasileiro é, de fato, um agente
transformador ou se acaba eximindo-se de responsabilidades
fundamentais como gestor e garantidor de direitos sociais e civis.
Para Dawid Bartelt, diretor da Fundação Heinrich Böll e organizador
do livro, fornecer maior poder de compra para as classes
pobres não deve ser um fi m em si mesmo. É preciso haver um
projeto mais amplo. “Precisamos de um plano, não apenas no
consumo. Esse conceito de “nova classe média” nos leva para
um caminho errado. Quando o Estado diz: ‘Vai, classe média,
pague uma escola particular e um plano de saúde para seu fi lho’
acaba se eximindo das obrigações de garantir direitos previstos
na Constituição”, observa sobre pilares como educação e saúde.
Segundo o livro, apesar de a queda da desigualdade ter contribuído
para as pessoas saírem de uma condição de pobreza absoluta,
definir a classe média apenas pelo critério de renda é errôneo.
Faltaria a essa parcela da população emancipada capital social e
cultural, alerta Jessé Souza, professor de sociologia da Universidade
Federal de Juiz de Fora (UFJF) e diretor do Centro de Estudos
Sobre Desigualdade (Cepedes), que assina um dos artigos no livro.
“A ‘verdadeira’ classe média é constituída pelo acesso privilegiado
a um recurso de extrema importância: o capital cultural. É apenas a
classe média ‘verdadeira’ que pode ‘comprar’ o tempo livre de estudo
de seus fi lhos e assim reproduzir seus privilégios de classe. É esse
fundamento social ‘invisível’ que explica não só a renda diferencial,
mas também o reconhecimento social atrelado a isso”, explica.
A chamada “nova classe média” - faixa da população brasileira
com renda mensal familiar entre 1.315 reais e 5.672 reais -, no
entanto, tem uma vida completamente diferente da explicitada por
Souza. Vive um cotidiano marcado pela ausência dos “privilégios
de nascimento” que caracterizam as classes médias e altas, pelo
extraordinário esforço pessoal, pela dupla jornada de trabalho e pela
“super exploração da mão de obra”. “É a classe mais explorada, que
mais trabalha e menos garantias tem. Nas profissões autônomas,
inclusive, chegam a ser inundados pela ideologia de que são livres
e empresários de si mesmos”, observa Souza.
Outro ponto de crítica do livro se dá em relação às condições
de vida da maioria dos cidadãos que compõe a chamada nova
classe média. Segundo as pesquisadoras da Universidade Federal
Fluminense Celia Lessa Kerstenetzky e Christiane Uchôa, os
domicílios localizados no intervalo de renda relativo à nova classe
média correspondem a 31,5 milhões, no quais vivem 38 milhões
de crianças e jovens. Destes, 75% possuem apenas um banheiro,
enquanto 390 mil não dispõem de nenhum.
Vale lembrar ainda, alerta Bartelt, que a maioria gasta de duas a três
horas por dia no trajeto entre casa e trabalho, possui pouca qualificação
e continua trabalhando na economia informal. “Qual o projeto político do
governo? Vamos só comprar mais ou pensar em questões essenciais
como a formação dessas pessoas?”, questiona. “Se queremos que a
criação de uma nova classe média seja sustentável, teremos de entrar
na questão profissional. Sem uma educação de qualidade, essa classe
não conseguirá sustentar essa ascensão social. Em um momento de
crise, os primeiros a perder o emprego serão esses trabalhadores pouco
qualificados. E isso, sim, seria um risco de retrocesso.”
Marsílea Gombata
(http://www.cartacapital.com.br)
Provas
Questão presente nas seguintes provas
BRASIL NÃO TEM UMA “NOVA CLASSE MÉDIA”, DIZEM ESPECIALISTAS
EM LIVRO, CIENTISTAS SOCIAIS QUESTIONAM PAPEL DO ESTADO
AO AUMENTAR PODER AQUISITIVO DA PARCELA MAIS POBRE DA
POPULAÇÃO SEM PROJETO POLÍTICO
A emancipação de uma parcela da população e o consequente
aumento de seu poder aquisitivo soam como boas notícias para o
Brasil, historicamente marcado por um abismo social e a sistemática
desigualdade na distribuição de renda. No entanto, alguns estudiosos
veem o processo como atropelado e transformador apenas em parte.
A criação da chamada “nova classe média” é contestada por
cientistas sociais no livro A ‘nova classe média’ no Brasil como
conceito e projeto político. A obra, que reúne artigos de especialistas
como Cândido Grzybowski, diretor do Instituto Brasileiro de
Análises Sociais e Econômicas (Ibase), e Marcio Pochmann, da
Unicamp, questiona se o Estado brasileiro é, de fato, um agente
transformador ou se acaba eximindo-se de responsabilidades
fundamentais como gestor e garantidor de direitos sociais e civis.
Para Dawid Bartelt, diretor da Fundação Heinrich Böll e organizador
do livro, fornecer maior poder de compra para as classes
pobres não deve ser um fi m em si mesmo. É preciso haver um
projeto mais amplo. “Precisamos de um plano, não apenas no
consumo. Esse conceito de “nova classe média” nos leva para
um caminho errado. Quando o Estado diz: ‘Vai, classe média,
pague uma escola particular e um plano de saúde para seu fi lho’
acaba se eximindo das obrigações de garantir direitos previstos
na Constituição”, observa sobre pilares como educação e saúde.
Segundo o livro, apesar de a queda da desigualdade ter contribuído
para as pessoas saírem de uma condição de pobreza absoluta,
definir a classe média apenas pelo critério de renda é errôneo.
Faltaria a essa parcela da população emancipada capital social e
cultural, alerta Jessé Souza, professor de sociologia da Universidade
Federal de Juiz de Fora (UFJF) e diretor do Centro de Estudos
Sobre Desigualdade (Cepedes), que assina um dos artigos no livro.
“A ‘verdadeira’ classe média é constituída pelo acesso privilegiado
a um recurso de extrema importância: o capital cultural. É apenas a
classe média ‘verdadeira’ que pode ‘comprar’ o tempo livre de estudo
de seus fi lhos e assim reproduzir seus privilégios de classe. É esse
fundamento social ‘invisível’ que explica não só a renda diferencial,
mas também o reconhecimento social atrelado a isso”, explica.
A chamada “nova classe média” - faixa da população brasileira
com renda mensal familiar entre 1.315 reais e 5.672 reais -, no
entanto, tem uma vida completamente diferente da explicitada por
Souza. Vive um cotidiano marcado pela ausência dos “privilégios
de nascimento” que caracterizam as classes médias e altas, pelo
extraordinário esforço pessoal, pela dupla jornada de trabalho e pela
“super exploração da mão de obra”. “É a classe mais explorada, que
mais trabalha e menos garantias tem. Nas profissões autônomas,
inclusive, chegam a ser inundados pela ideologia de que são livres
e empresários de si mesmos”, observa Souza.
Outro ponto de crítica do livro se dá em relação às condições
de vida da maioria dos cidadãos que compõe a chamada nova
classe média. Segundo as pesquisadoras da Universidade Federal
Fluminense Celia Lessa Kerstenetzky e Christiane Uchôa, os
domicílios localizados no intervalo de renda relativo à nova classe
média correspondem a 31,5 milhões, no quais vivem 38 milhões
de crianças e jovens. Destes, 75% possuem apenas um banheiro,
enquanto 390 mil não dispõem de nenhum.
Vale lembrar ainda, alerta Bartelt, que a maioria gasta de duas a três
horas por dia no trajeto entre casa e trabalho, possui pouca qualificação
e continua trabalhando na economia informal. “Qual o projeto político do
governo? Vamos só comprar mais ou pensar em questões essenciais
como a formação dessas pessoas?”, questiona. “Se queremos que a
criação de uma nova classe média seja sustentável, teremos de entrar
na questão profissional. Sem uma educação de qualidade, essa classe
não conseguirá sustentar essa ascensão social. Em um momento de
crise, os primeiros a perder o emprego serão esses trabalhadores pouco
qualificados. E isso, sim, seria um risco de retrocesso.”
Marsílea Gombata
(http://www.cartacapital.com.br)
Provas
Questão presente nas seguintes provas
BRASIL NÃO TEM UMA “NOVA CLASSE MÉDIA”, DIZEM ESPECIALISTAS
EM LIVRO, CIENTISTAS SOCIAIS QUESTIONAM PAPEL DO ESTADO
AO AUMENTAR PODER AQUISITIVO DA PARCELA MAIS POBRE DA
POPULAÇÃO SEM PROJETO POLÍTICO
A emancipação de uma parcela da população e o consequente
aumento de seu poder aquisitivo soam como boas notícias para o
Brasil, historicamente marcado por um abismo social e a sistemática
desigualdade na distribuição de renda. No entanto, alguns estudiosos
veem o processo como atropelado e transformador apenas em parte.
A criação da chamada “nova classe média” é contestada por
cientistas sociais no livro A ‘nova classe média’ no Brasil como
conceito e projeto político. A obra, que reúne artigos de especialistas
como Cândido Grzybowski, diretor do Instituto Brasileiro de
Análises Sociais e Econômicas (Ibase), e Marcio Pochmann, da
Unicamp, questiona se o Estado brasileiro é, de fato, um agente
transformador ou se acaba eximindo-se de responsabilidades
fundamentais como gestor e garantidor de direitos sociais e civis.
Para Dawid Bartelt, diretor da Fundação Heinrich Böll e organizador
do livro, fornecer maior poder de compra para as classes
pobres não deve ser um fi m em si mesmo. É preciso haver um
projeto mais amplo. “Precisamos de um plano, não apenas no
consumo. Esse conceito de “nova classe média” nos leva para
um caminho errado. Quando o Estado diz: ‘Vai, classe média,
pague uma escola particular e um plano de saúde para seu fi lho’
acaba se eximindo das obrigações de garantir direitos previstos
na Constituição”, observa sobre pilares como educação e saúde.
Segundo o livro, apesar de a queda da desigualdade ter contribuído
para as pessoas saírem de uma condição de pobreza absoluta,
definir a classe média apenas pelo critério de renda é errôneo.
Faltaria a essa parcela da população emancipada capital social e
cultural, alerta Jessé Souza, professor de sociologia da Universidade
Federal de Juiz de Fora (UFJF) e diretor do Centro de Estudos
Sobre Desigualdade (Cepedes), que assina um dos artigos no livro.
“A ‘verdadeira’ classe média é constituída pelo acesso privilegiado
a um recurso de extrema importância: o capital cultural. É apenas a
classe média ‘verdadeira’ que pode ‘comprar’ o tempo livre de estudo
de seus fi lhos e assim reproduzir seus privilégios de classe. É esse
fundamento social ‘invisível’ que explica não só a renda diferencial,
mas também o reconhecimento social atrelado a isso”, explica.
A chamada “nova classe média” - faixa da população brasileira
com renda mensal familiar entre 1.315 reais e 5.672 reais -, no
entanto, tem uma vida completamente diferente da explicitada por
Souza. Vive um cotidiano marcado pela ausência dos “privilégios
de nascimento” que caracterizam as classes médias e altas, pelo
extraordinário esforço pessoal, pela dupla jornada de trabalho e pela
“super exploração da mão de obra”. “É a classe mais explorada, que
mais trabalha e menos garantias tem. Nas profissões autônomas,
inclusive, chegam a ser inundados pela ideologia de que são livres
e empresários de si mesmos”, observa Souza.
Outro ponto de crítica do livro se dá em relação às condições
de vida da maioria dos cidadãos que compõe a chamada nova
classe média. Segundo as pesquisadoras da Universidade Federal
Fluminense Celia Lessa Kerstenetzky e Christiane Uchôa, os
domicílios localizados no intervalo de renda relativo à nova classe
média correspondem a 31,5 milhões, no quais vivem 38 milhões
de crianças e jovens. Destes, 75% possuem apenas um banheiro,
enquanto 390 mil não dispõem de nenhum.
Vale lembrar ainda, alerta Bartelt, que a maioria gasta de duas a três
horas por dia no trajeto entre casa e trabalho, possui pouca qualificação
e continua trabalhando na economia informal. “Qual o projeto político do
governo? Vamos só comprar mais ou pensar em questões essenciais
como a formação dessas pessoas?”, questiona. “Se queremos que a
criação de uma nova classe média seja sustentável, teremos de entrar
na questão profissional. Sem uma educação de qualidade, essa classe
não conseguirá sustentar essa ascensão social. Em um momento de
crise, os primeiros a perder o emprego serão esses trabalhadores pouco
qualificados. E isso, sim, seria um risco de retrocesso.”
Marsílea Gombata
(http://www.cartacapital.com.br)
Provas
Questão presente nas seguintes provas
BRASIL NÃO TEM UMA “NOVA CLASSE MÉDIA”, DIZEM ESPECIALISTAS
EM LIVRO, CIENTISTAS SOCIAIS QUESTIONAM PAPEL DO ESTADO
AO AUMENTAR PODER AQUISITIVO DA PARCELA MAIS POBRE DA
POPULAÇÃO SEM PROJETO POLÍTICO
A emancipação de uma parcela da população e o consequente
aumento de seu poder aquisitivo soam como boas notícias para o
Brasil, historicamente marcado por um abismo social e a sistemática
desigualdade na distribuição de renda. No entanto, alguns estudiosos
veem o processo como atropelado e transformador apenas em parte.
A criação da chamada “nova classe média” é contestada por
cientistas sociais no livro A ‘nova classe média’ no Brasil como
conceito e projeto político. A obra, que reúne artigos de especialistas
como Cândido Grzybowski, diretor do Instituto Brasileiro de
Análises Sociais e Econômicas (Ibase), e Marcio Pochmann, da
Unicamp, questiona se o Estado brasileiro é, de fato, um agente
transformador ou se acaba eximindo-se de responsabilidades
fundamentais como gestor e garantidor de direitos sociais e civis.
Para Dawid Bartelt, diretor da Fundação Heinrich Böll e organizador
do livro, fornecer maior poder de compra para as classes
pobres não deve ser um fi m em si mesmo. É preciso haver um
projeto mais amplo. “Precisamos de um plano, não apenas no
consumo. Esse conceito de “nova classe média” nos leva para
um caminho errado. Quando o Estado diz: ‘Vai, classe média,
pague uma escola particular e um plano de saúde para seu fi lho’
acaba se eximindo das obrigações de garantir direitos previstos
na Constituição”, observa sobre pilares como educação e saúde.
Segundo o livro, apesar de a queda da desigualdade ter contribuído
para as pessoas saírem de uma condição de pobreza absoluta,
definir a classe média apenas pelo critério de renda é errôneo.
Faltaria a essa parcela da população emancipada capital social e
cultural, alerta Jessé Souza, professor de sociologia da Universidade
Federal de Juiz de Fora (UFJF) e diretor do Centro de Estudos
Sobre Desigualdade (Cepedes), que assina um dos artigos no livro.
“A ‘verdadeira’ classe média é constituída pelo acesso privilegiado
a um recurso de extrema importância: o capital cultural. É apenas a
classe média ‘verdadeira’ que pode ‘comprar’ o tempo livre de estudo
de seus fi lhos e assim reproduzir seus privilégios de classe. É esse
fundamento social ‘invisível’ que explica não só a renda diferencial,
mas também o reconhecimento social atrelado a isso”, explica.
A chamada “nova classe média” - faixa da população brasileira
com renda mensal familiar entre 1.315 reais e 5.672 reais -, no
entanto, tem uma vida completamente diferente da explicitada por
Souza. Vive um cotidiano marcado pela ausência dos “privilégios
de nascimento” que caracterizam as classes médias e altas, pelo
extraordinário esforço pessoal, pela dupla jornada de trabalho e pela
“super exploração da mão de obra”. “É a classe mais explorada, que
mais trabalha e menos garantias tem. Nas profissões autônomas,
inclusive, chegam a ser inundados pela ideologia de que são livres
e empresários de si mesmos”, observa Souza.
Outro ponto de crítica do livro se dá em relação às condições
de vida da maioria dos cidadãos que compõe a chamada nova
classe média. Segundo as pesquisadoras da Universidade Federal
Fluminense Celia Lessa Kerstenetzky e Christiane Uchôa, os
domicílios localizados no intervalo de renda relativo à nova classe
média correspondem a 31,5 milhões, no quais vivem 38 milhões
de crianças e jovens. Destes, 75% possuem apenas um banheiro,
enquanto 390 mil não dispõem de nenhum.
Vale lembrar ainda, alerta Bartelt, que a maioria gasta de duas a três
horas por dia no trajeto entre casa e trabalho, possui pouca qualificação
e continua trabalhando na economia informal. “Qual o projeto político do
governo? Vamos só comprar mais ou pensar em questões essenciais
como a formação dessas pessoas?”, questiona. “Se queremos que a
criação de uma nova classe média seja sustentável, teremos de entrar
na questão profissional. Sem uma educação de qualidade, essa classe
não conseguirá sustentar essa ascensão social. Em um momento de
crise, os primeiros a perder o emprego serão esses trabalhadores pouco
qualificados. E isso, sim, seria um risco de retrocesso.”
Marsílea Gombata
(http://www.cartacapital.com.br)
Provas
Questão presente nas seguintes provas
Cadernos
Caderno Container