Magna Concursos

Foram encontradas 60 questões.

2008787 Ano: 2020
Disciplina: Direito Sanitário
Banca: VUNESP
Orgão: SEMAE Rio Preto
Provas:
Assinale a alternativa correta e nos termos da Lei Federal n° 11.445/07 (Diretrizes Nacionais para o Saneamento Básico).
 

Provas

Questão presente nas seguintes provas
2008786 Ano: 2020
Disciplina: Direito Penal
Banca: VUNESP
Orgão: SEMAE Rio Preto
Provas:
Nos termos do Código Penal, é correto afirmar que a conduta de “exigir, para si ou para outrem, direta ou indiretamente, ainda que fora da função ou antes de assumi-la, mas em razão dela, vantagem indevida”, tipifica o seguinte crime:
 

Provas

Questão presente nas seguintes provas
2008785 Ano: 2020
Disciplina: Engenharia Civil
Banca: VUNESP
Orgão: SEMAE Rio Preto
Provas:
Muitos levantamentos cadastrais de imóveis rurais e urbanos georreferenciados utilizam o sistema de projeção cartográfica UTM, que divide a Terra em X fusos, que se estendem por Y graus de longitude cada. Os valores de X e Y são, correta e respectivamente,
 

Provas

Questão presente nas seguintes provas
2008784 Ano: 2020
Disciplina: Engenharia Civil
Banca: VUNESP
Orgão: SEMAE Rio Preto
Provas:
Um pilar de madeira com comprimento de 2,0 m está submetido apenas à compressão simples. Para que seja dispensada a consideração de eventuais efeitos de flexão, o raio de giração mínimo de sua seção transversal a ser adotado é
 

Provas

Questão presente nas seguintes provas
2008783 Ano: 2020
Disciplina: Engenharia Civil
Banca: VUNESP
Orgão: SEMAE Rio Preto
Provas:
O dimensionamento no estado-limite último da seção transversal de uma viga de concreto armado, caracterizado pelo domínio 3, corresponde à
 

Provas

Questão presente nas seguintes provas
2008782 Ano: 2020
Disciplina: Engenharia Civil
Banca: VUNESP
Orgão: SEMAE Rio Preto
Provas:
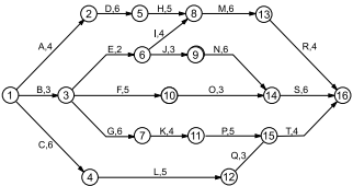
A reforma de uma residência foi planejada conforme o cronograma PERT-CPM da figura, no qual as atividades são representadas por letras, seguidas de seu tempo de execução em dias.

enunciado 350230-1

O tempo, em dias, previsto para a conclusão da reforma é
 

Provas

Questão presente nas seguintes provas
2008781 Ano: 2020
Disciplina: Engenharia Civil
Banca: VUNESP
Orgão: SEMAE Rio Preto
Provas:
Na gestão do sistema de manutenção de edificações, a manutenção preventiva é caracterizada por
 

Provas

Questão presente nas seguintes provas
2008780 Ano: 2020
Disciplina: Engenharia Civil
Banca: VUNESP
Orgão: SEMAE Rio Preto
Provas:
No que se refere ao aço, material que é utilizado em estruturas metálicas, ductilidade é a
 

Provas

Questão presente nas seguintes provas
2008779 Ano: 2020
Disciplina: Engenharia Civil
Banca: VUNESP
Orgão: SEMAE Rio Preto
Provas:
Quando, no projeto de fundações para pequenas construções, for especificada broca perfurada com trado manual preenchida com concreto, o seu comprimento mínimo e sua carga máxima deverão ser, correta e respectivamente,
 

Provas

Questão presente nas seguintes provas
2008778 Ano: 2020
Disciplina: Engenharia Civil
Banca: VUNESP
Orgão: SEMAE Rio Preto
Provas:
Na operação de estações de tratamento de esgoto sanitário, a relação entre a massa de sólidos em suspensão no afluente, introduzida em uma unidade de tratamento, e a área sobre a qual é aplicada, por unidade de tempo, é denominada taxa de
 

Provas

Questão presente nas seguintes provas