Foram encontradas 525 questões.
Provas
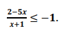
O professor Paulo colocou na lousa, como tarefa da aula, a seguinte inequação:
E quem a resolvesse corretamente ganharia um ponto na média. O aluno que ganhou este ponto entregou como solução desta inequação:
Provas
No diagrama entre os conjuntos A e B, a área preenchida do conjunto B representa a operação:

Provas
Provas
O gráfico abaixo representa a função do primeiro grau ƒ(x) = αx + b , com α ≠ 0 e {α, b} ⊂ ℝ. A distância do ponto P até a origem (0,0) é igual a:

Provas
A figura, a seguir, representa a planificação de um tetraedro regular.
Se todas as arestas deste tetraedro possuem a mesma medida, podemos afirmar que o volume é de:
Provas
Na figura abaixo, O quadrilátero ABCD é um
retângulo de base 12 cm e altura 8 cm. Os
pontos P e Q dividem o lado CD em três partes
iguais, ou seja ![]()

A razão entre a área do triângulo AQP com a área do triângulo APD é igual a:
Provas
Provas
Provas
Provas
Caderno Container